小样本学习下的Transformer:基于谱聚类层和标签代理学习

2022 年 6 月 6 日 PaperWeekly


©作者 | 知乎用户Alicia

研究方向 | 小样本学习



论文标题:

Attribute Surrogates Learning and Spectral Tokens Pooling in Transformers for few-shot learning

论文链接:

https://arxiv.org/pdf/2203.09064.pdf

代码链接:

https://github.com/StomachCold/HCTransformers




Abstract & Conclusion


1.1 Abstract


目的:通过提高数据的有效性来解决 Transformer “数据饥渴”的问题,从而能够使用 Transformer 解决小样本问题。


创新点(如何提高数据的有效性):主要有两个工作,一个是提出了 token 谱聚类层,作用是获取并利用图像内部结构来降低目标前景区域和背景噪声区域分界的模糊性(也就是让目标和噪声的边界更清晰);第二个则是提出了一个标签代理学习方案,作用是充分利用图像-标签对的视觉信息而不是单一的标签视觉概念。


模型:HCTransformer,基于自监督学习框架 DINO,使用三组 Transformer 进行串联,两个 transformer 之间有一个 token 下采样层,同时采取标签代理学习方案来优化学习参数。


结果:在 4 个小样本的基准数据集上做了测试,在 5-way 1-shot 和 5-way 5-shot 上都以明显的优势超过了 DINO 基准模型,同时也超过了目前的 SOTA 模型。


1.2 conclusion


HCTransformer 旨在提高数据的有效性来解决小样本图像分类问题。尽管视觉 transformer 具有数据饥渴的特性,但我们在小样本学习问题上使用 transformer 取得了很好的结果。本文方法引入了一种隐性监督传播技术,通过可学习的标签代理隐性监督参数学习。我们提出了一个集成 patch token 的方案,它可以与 [cls] token 互补。此外,使用 token 谱聚类嵌入 transformer 的 token 之间的对象/场景布局和语义关系。HCTransfomer 不仅比 DINO 基准模型表现更好,而且在四个流行的基准数据集上以明显的优势胜过目前的 SOTA 模型。



Introduction & Related work


2.1 Introduction


ViT 在 CV 的很多任务上都表现很好,然而一些文献指出当训练数据不足时 ViT 模型性能就变得很低。本文研究了这样一个问题:当有标签的训练数据非常有限的情况下,使用 ViT 到底行得通吗?

既然有标注的图片有限,那么如何充分挖掘图像隐藏的信息,对其中的视觉概念有一个完整的描述就变得很重要。

本文希望提高数据的有效性以便在小样本图像分类上使用 ViT 模型。具体来说就是使用三组串联的 ViT 作为元特征提取器,每一组 ViT 在不同语义层面上对图像各区域的依赖性进行建模。每两个 ViT 之间有一个 token 谱聚类层进行下采样,将图像分割的语义信息传递给下一个 ViT。此外引入一个潜在的属性代理学习方案来学习视觉信息的稳定表征。

2.2 Related work


关于 tokens pooling:论文作者认为 ViT 模型关注的是整张图像的全局信息而忽略了局部区域的依赖关系,这才导致了 ViT “数据饥渴”的性质。后续有很多工作在解决这个问题。有一些方法通过将一个窗口内的 token 直接进行合并来减少 token 的数量,而 HCT 则允许 token 根据空间布局和语义相似性与相邻的 token 自适应合并。

关于监督 token:ViT 加入了一个 [cls] token 全局性地汇总所有 patch 的整体信息,只有这个 token 直接接收视觉信息。但是其他的 token 仍然拥有表达特殊模式的能力并可能协助最终的预测。一些文献提出移除 [cls] token,通过平均池化操作整合所有 token 的信息从而建立一个全局的 token。

LVViT 同时使用 [cls] token 和其他 token 的可能性,它利用 token 标记问题来重新定义分类任务。So-ViT 将二节协方差池化应用在视觉 token 上并与 [cls] 结合起来进行最终分类。本文方法与这两种方法直觉上相似,但是有着明显的区别。我们利用注意力机制挑选并最大限度地利用重要的 token。此外,我们假设融合的 token 与 [cls] token 并不共享特征空间,而是分别在各自的特征空间中对它们进行监督。



Model & Method


▲ figure 1. model architecture


3.1 preliminary


由于 HCT 是基于 DINO 架构的,所以首先来看看 DINO 的架构以及其中的 Multi- crop 策略。图 2 是自监督学习框架 DINO 的简单表示。 是输入图像的不同视图。teacher 网络和 student 网络架构相同但是参数不同。其中 student 网络的参数通过反向传播进行更新,而 teacher 网络的参数并不通过反向传播更新,(sg 表示 stop gradient,截断梯度的传播了)而是由 student 网络的参数通过指数移动平均得到。


▲ figure 2. illustrate DINO in the case of one single pair of views for simplicity

multi- crop:对于输入的每一张图片,通过增强和裁剪获取两个 global views 和 m 个 local views,将这些 views 的集合记作 V。注意,这里的 teacher 网络只接收 global views,而 student 网络接收 local views 以及 teacher 网络没有接收的 global views。则 DINO 的目标函数为:



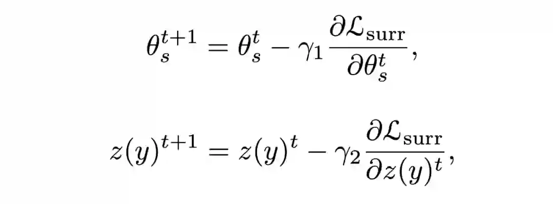
3.2 Attribute Surrogates Learning


假设共有 C 个类,对于每一类标签 y,学习一个语义标签代理 ,标签代理描述子 。(这里就是说我把标签变成一个可学习的向量即标签代理)训练过程中通过代理来监督 student 网络的参数学习,同时代理的参数也需要更新。假设 student 网络的的目标函数为 ,其参数 以及关联的标签代理的更新公式为:



为了充分利用 transformer 的优势,我们对于 patch token 和 class token 都要学习与一标签代理。

3.3 Supervise the Class Token


本文使用代理损失来监督每个类的概率分布,类 y 的代理描述子 ,使用 softmax 函数获得 的分布。(这里论文就是直接说 要取一个很大的数,他们将其设为 8192,没有具体说为什么设这个数)。



这里的损失函数只考虑 global views 而不考虑 local views,作者说 local views 在更新类中心时由于有图像信息的丢失可能会产生负面影响。

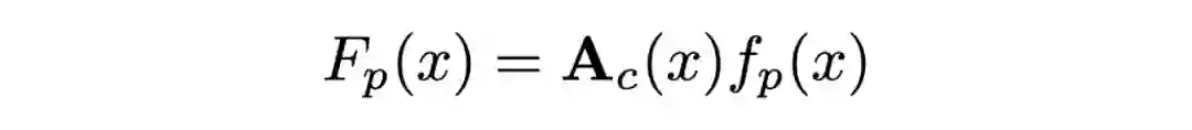
3.4 Supervise Patch Tokens


Problem:patch token 没有标注所以难以监督。

本文做法:整合 patch tokens 的特征 作为图像的全局描述子,公式为



其中 表示 [cls] token 和 patch tokens 的相似性矩阵,其中每一个元素就是 [cls] token 和每一个 patch token 的相似性。 表示 patch token 的特征。

patch token的损失函数如下,其中



3.5 Spectral Tokens Pooling


本文提出一个基于谱聚类的 token 池化方法。对于 ViT 中的 N 个 patch,检索这 N 个 patch 的注意力矩阵 ,再计算一个 token 的临界矩阵 来反映邻接关系。每个中心 token 周围有 8 个邻接的 token。利用以下公式计算得到一个对称矩阵 S:



对对称矩阵 S 的每一行做 Softmax 操作,得到最终的邻接权重矩阵 ,作为 token 谱聚类算法的输入。Token 谱聚类对 patch token 进行下采样,得到新的 patch token。


▲ figure 3. visualized tokens pooling results




Experiments


4.1 Training Strategy of HCTransformers


每个 transformer 输出的 token 数量分别为 784,392,196。

没有采用端到端的训练,而是将训练分成两个阶段。

第1阶段:按照 DINO 的设置训练训练第一组 transformer,目标函数是: 

第2阶段:冻结第一阶段两个 transformer 的参数,训练后两组 transformer,目标函数是:

实验结果这里就不多说了,总之就是效果很好,超过 SOTA。最后论文还给出了特征的可视化,但是论文正文似乎没有提及,就是放了个图。写完才发现好像上传不了图片,可对着论文正文看。

▲ figure 4. visualized features on train sets and val sets on mini ImageNet



更多阅读




#投 稿 通 道#

 让你的文字被更多人看到 



如何才能让更多的优质内容以更短路径到达读者群体,缩短读者寻找优质内容的成本呢?答案就是:你不认识的人。


总有一些你不认识的人,知道你想知道的东西。PaperWeekly 或许可以成为一座桥梁,促使不同背景、不同方向的学者和学术灵感相互碰撞,迸发出更多的可能性。 


PaperWeekly 鼓励高校实验室或个人,在我们的平台上分享各类优质内容,可以是最新论文解读,也可以是学术热点剖析科研心得竞赛经验讲解等。我们的目的只有一个,让知识真正流动起来。


📝 稿件基本要求:

• 文章确系个人原创作品,未曾在公开渠道发表,如为其他平台已发表或待发表的文章,请明确标注 

• 稿件建议以 markdown 格式撰写,文中配图以附件形式发送,要求图片清晰,无版权问题

• PaperWeekly 尊重原作者署名权,并将为每篇被采纳的原创首发稿件,提供业内具有竞争力稿酬,具体依据文章阅读量和文章质量阶梯制结算


📬 投稿通道:

• 投稿邮箱:[email protected] 

• 来稿请备注即时联系方式(微信),以便我们在稿件选用的第一时间联系作者

• 您也可以直接添加小编微信(pwbot02)快速投稿,备注:姓名-投稿


△长按添加PaperWeekly小编




🔍


现在,在「知乎」也能找到我们了

进入知乎首页搜索「PaperWeekly」

点击「关注」订阅我们的专栏吧



·

登录查看更多
5

相关内容

【NeurIPS2021】由相似性迁移的弱样本细粒度分类
专知会员服务
21+阅读 · 2021年11月11日
专知会员服务
26+阅读 · 2021年5月23日
【AAAI2021】小样本学习多标签意图检测
专知会员服务
56+阅读 · 2020年12月8日
一文带你浏览Graph Transformers
图与推荐
2+阅读 · 2022年7月14日
ACL 2022 | 分解的元学习小样本命名实体识别
PaperWeekly
1+阅读 · 2022年6月30日
SimVLM:弱监督简单视觉语言模型预训练
TensorFlow
0+阅读 · 2021年12月9日
别用Attention了,用GNN来解释NLP模型吧
图与推荐
1+阅读 · 2021年3月10日
论文浅尝 | 用图网络做小样本学习
开放知识图谱
66+阅读 · 2018年6月30日
国家自然科学基金
0+阅读 · 2014年12月31日
国家自然科学基金
1+阅读 · 2013年12月31日
国家自然科学基金
1+阅读 · 2013年12月31日
国家自然科学基金
0+阅读 · 2013年12月31日
国家自然科学基金
7+阅读 · 2012年12月31日
国家自然科学基金
0+阅读 · 2012年12月31日
国家自然科学基金
3+阅读 · 2012年12月31日
国家自然科学基金
0+阅读 · 2012年12月31日
国家自然科学基金
0+阅读 · 2009年12月31日
Arxiv
0+阅读 · 2022年7月27日
Arxiv
0+阅读 · 2022年7月26日
Arxiv
0+阅读 · 2022年7月26日
Arxiv
0+阅读 · 2022年7月25日
Arxiv
20+阅读 · 2021年9月21日
Arxiv
14+阅读 · 2021年7月20日
Arxiv
19+阅读 · 2021年4月8日
Arxiv
136+阅读 · 2018年10月8日
VIP会员
最新内容
KDD 2026 | MixRAGRec:面向LLM推荐的混合专家KG-RAG框架
BES:让语言模型通过双向进化搜索自我改进
专知会员服务
3+阅读 · 5月30日
以色列-美国-伊朗战争中的无人机:关键要点
专知会员服务
4+阅读 · 5月30日
《Palantir任务保障性软件安全标准(MA-S2)》
专知会员服务
14+阅读 · 5月30日
基于声学的无人机检测技术综述
专知会员服务
8+阅读 · 5月30日
《当代混合战争分析框架:俄乌战争经验教训》
战略前沿人工智能的再思考(中文)
专知会员服务
8+阅读 · 5月29日
《量化地基防空系统间接效应的博弈论方法》
专知会员服务
6+阅读 · 5月29日
相关资讯
一文带你浏览Graph Transformers
图与推荐
2+阅读 · 2022年7月14日
ACL 2022 | 分解的元学习小样本命名实体识别
PaperWeekly
1+阅读 · 2022年6月30日
SimVLM:弱监督简单视觉语言模型预训练
TensorFlow
0+阅读 · 2021年12月9日
别用Attention了,用GNN来解释NLP模型吧
图与推荐
1+阅读 · 2021年3月10日
论文浅尝 | 用图网络做小样本学习
开放知识图谱
66+阅读 · 2018年6月30日
相关基金
国家自然科学基金
0+阅读 · 2014年12月31日
国家自然科学基金
1+阅读 · 2013年12月31日
国家自然科学基金
1+阅读 · 2013年12月31日
国家自然科学基金
0+阅读 · 2013年12月31日
国家自然科学基金
7+阅读 · 2012年12月31日
国家自然科学基金
0+阅读 · 2012年12月31日
国家自然科学基金
3+阅读 · 2012年12月31日
国家自然科学基金
0+阅读 · 2012年12月31日
国家自然科学基金
0+阅读 · 2009年12月31日
相关论文
Arxiv
0+阅读 · 2022年7月27日
Arxiv
0+阅读 · 2022年7月26日
Arxiv
0+阅读 · 2022年7月26日
Arxiv
0+阅读 · 2022年7月25日
Arxiv
20+阅读 · 2021年9月21日
Arxiv
14+阅读 · 2021年7月20日
Arxiv
19+阅读 · 2021年4月8日
Arxiv
136+阅读 · 2018年10月8日
Top
微信扫码咨询专知VIP会员