GraphSAGE+FM+Transformer强强联手:评微信的GraphTR模型

2020 年 12 月 3 日 AINLP

今天点评微信团队发表的CIKM '20的最新论文《Graph Neural Network for Tag Ranking in Tag-enhanced Video Recommendation》。推荐这篇论文的原因有二:

  1. 微信团队实际上面临的是一个“ 迁移学习+多任务”的场景。但是,微信团队的解决方案并不是传统常见的 multi-task learning、soft/hard parameter  sharing那一套。而是通过将不同领域的节点、关系都建模在一幅图中,通过图卷积,完成知识从数据丰富的领域向数据稀疏领域的迁移,并兼顾两个领域的指标。所以, 本文展现了GNN在迁移学习、多任务学习方面的强大能力,为我们解决类似问题提供了全新的思路。
  2. 如上所述,微信团队需要在包含多 域信息的异构图上完成图卷积,每个节点要聚合来自多个领域的异构消息。之前传统的聚合方式,如mean/max pooling,矩阵相乘,可能带来异构消息相互抵销而引入信息损失。为此微信团队采用了GraphSAGE+FM+Transformer多种手段, 从不同粒度来交叉、聚合消息,极大提升了模型的表示能力,这种新的消息聚合方式值得借鉴。

接下来,我们先看一下文章所描绘的场景和难点,"设身处地"想一下:如果让你解决这一问题,你会采取什么样的方案?然后再对照文章中所提供的方案,才能体会出作者的"匠心独具",才能真正有所收获,而不是被动填鸭式地等作者把方案扔到你脸上。

场景与难点

微信团队面临的场景是:

  • 每个视频都打有若干tag(人工标注或由内容理解算法打上的)
  • 用户观看视频时,需要有算法从这个视频自带的tag中挑选出与当前用户最相关的若干个tag,展示在视频的下方。
  • 用户点击某个tag,会进入一个沉浸式频道,其中展现的全部是与该tag相关的视频

这个场景对于算法的要求

  1. 推荐出来的tag必须是个性化的。比如对于“小美女的东京美食攻略”这样的视频,对于吃货用户,应该把“美食”排在第一位;对于旅游达人,应该把“日本”排在第一位;对于宅男,则应该把“美女”排在第一位。唯有如此,才能吸引用户进入相应的频道,观看更多同类型的视频。
  2. 推荐的结果,既要吸引用户点击tag,但是最终目标是为了提升用户的观看时长

而这个问题的难点在于:用户点击视频的行为比较丰富,但是用户点击tag的行为比较稀疏,训练数据不足。

第一个方案:只考虑tag-video的相关性

描述完场景,请你"设身处地"地想一下,如果是你领受到了这个任务,你该如何去做?

如果是我,第一个进入我脑海中的方案,就是训练一个模型,输入视频的多模态信息(标题、封面图、关键帧),输出是与这个视频最match的tag。训练时,拿人工打标的结果作为label。线上serving时,将预测出来的top-K个标签,展示在视频的下方。

这个方案可行,但是其只利用了视频的静态属性,没有用户的信息,所以推荐出来的tag只有与视频在语义上的相关性,完全没有针对当前用户的个性化,不满足业务需求。

第二个方案:引入用户行为

为了克服第一个方案没有使用用户行为的缺陷,我想出第二个方案

  1. 假设我们已经有了tag embedding
  2. 用户的embedding是其过去有过"正交互"的tag embedding的pooling
    • 所谓“正交互”,可以是用户过去一段时间内点击过的tag
    • 但是考虑到user-tag的交互太稀疏,因此可以选用户过去点击过视频所携带的tag
    • pooling时,也可以考虑进播放完成度、时间衰减等因素,进行加权平均。
  3. 线上serving时,拿user embedding在当前视频所携带的tag embedding中寻找Top-K近邻,展示在视频下方。

但是还遗留一个问题,就是第1步中怎么才能得到tag embedding? 我能想到的第一个方案就是用tag的word embedding。

怎么评价这一方案:

  1. 这个方案,考虑了用户的历史,应该比第一个只考虑tag-video相关性的方案,有更强的个性化。
  2. 但是拿word embedding做tag embedding,仍然只考虑了tag的语义信息。根据我的经验,也正如文中所说, 用户行为蕴含的信息,要比语义信息,更加重要
  3. 但是,用户与tag的交互行为太少了,很难在“用户点击tag的序列”上套用word2vec来学习到tag embedding

看GraphTR如何得到优质的tag embedding

讲到这里,终于引出微信的GraphTR模型的思路:

  • GraphTR是为了要学习优质tag embedding,为此要注重利用用户的行为信息
  • 但是由于user-tag的行为太稀疏,因此GraphTR需要通过user-video的行为学习到tag embedding

要达成以上目标,也有多种作法。而GraphTR的做法是:

  • 将user, video, tag(还加上video的来源media)都放入一个大的异构图
  • 通过图卷积,学习到video embedding,再建模video与video之间的相关性(比如在同一个session中播放过)
  • 因为video embedding融合了tag embedding,因此在优化目标达成之后, 一个优质的副产品就是得到tag embedding

接下来,让我们看看,GraphTR是如何构建这个异构图的?如何传递、融合图上异构节点的信息?如何定义loss?

GraphTR 第1步 :构建异构图

图上要包括:user, video, tag, media (视频来源)这 4类节点。因为用户数目太多,而每个用户的行为相对稀疏,GraphTR将用户按照gender-age-location分成84000组,用user group替代user,在图中建模。

而图上要包括以下5类边(这一版本暂时不考虑边上的权重):

  1. video-video:同属一个观看session中的两video之间有边
  2. user-video:某视频被某user group一周观看超过3次。
    • 因为user-tag行为稀疏,因此图中没有user-tag的边
  3. video-tag:video和其携带的tag
  4. video-media:video和其来源
  5. tag-tag:两个 tag属于同一个视频

GraphTR 第2步:聚合异构节点

为了完成user, video, tag, media这四类节点的信息融合,GraphTR设计了3层卷积结构,称为Heterogeneous field interaction network (HFIN)

HFIN结构

最底层:Heterogeneous Feature Layer

其作用是由3-hop的邻居,聚合生成2-hop邻居上的信息。将2-hop邻居的embedding分为4个域,user/video/tag/media域的特征,分别由节点类型为user/video/tag/media的3-hop的邻居的embedding相加而成。

3-hop的节点的embedding如何而来? 每种类型的节点定义一个embedding矩阵,3-hop的节点embedding从相应类型的embedding矩阵映射得到。

中间层:Multi-field Interaction Layer

这一层的任务是由2-hop邻居的embedding,聚合生成1-hop邻居的embedding。而HFIN采用了GraphSAGE+FM+Transformer三种方式,粒度上从由粗到细,完成聚合。

GraphSAGE聚合

最传统,也是最粗粒度的一种聚合方式。从Heterogeneous Feature Layer可以看到,每个2-hop邻居的embedding,由 (video)、 (tag)、 (media)、 (user)4个域组成。而GraphSAGE不区分各域,而是将所有域拼接成一个大向量 ,拿 在邻居之间传递、聚合

多域特征拼接

而聚合方式就是标准的GraphSAGE GCN Aggregator。其中 就是destination node自身; 代表destination node的n个邻居之一; 是由GraphSAGE方式聚合得到的1-hop节点embedding。

GraphSAGE聚合公式

FM聚合

上述GraphSAGE聚合,不区别各域,粒度较粗。而FM聚合,区分各域,因此粒度更细一些。

  1. 首先,所有2-hop邻居按域平均,再线性变换至统一的维度。以video域 为例,一共1+n个节点,n个邻居 ,1个节点自身
  1. 然后再拿4个域的平均向量,两两交叉, 让不同域的信息充分融合 代表element-wise product。 得到的代表由FM方式聚合得到的1-hop节点的embedding
FM聚合公式

Transformer聚合

这是最细粒度的聚合方式,也是最复杂的。但是,原文中还将它放在第一个讲,让人摸不着头脑,感觉come from nowhere。其实如果把它放到FM聚合后面,就变得清晰了,可以发现Transformer聚合是FM聚合的升级版本。

GraphTR觉得FM聚合时,各域节点(即各域特征)交叉得还不够

  1. FM聚合,只有在第2步才做域与域之间的交叉
  2. 而在一个域内部,这n+1个特征之间,只有简单pooling,不存在交叉
  3. FM聚合的第1步,每个域average pooling的是,这1+n个节点的原始特征

Transformer聚合,希望增强各域节点(即各域特征)的交叉

  • 第2步,基于FM的域与域之间的两两交叉,还保留
  • Transformer决定在第1步引入交叉。具体方式就是,在一个域的1+n个节点之间进行Transformer变换,重新生成1+n个向量,每个新向量是老向量的加权平均,权重是当前老向量相对于其他老向量的attention score。(一套attention恐怕没有代表性,还引入多头机制)
  • 再拿生成的1+n个新向量,做average pooling
Transformer聚合公式

然后,第2步与FM聚合一样,做不同域之间的两两交叉,最后将“域间交叉结果”与"域内交叉结果"拼接在一起返回 ,作为由Transformer聚合得到的1-hop邻居的embedding。论文的实验结果证明,这个最复杂、最细粒度的聚合,对于模型性能的提升也最大

Transformer聚合公式

最后1-hop邻居节点的embedding

三种聚合方式,从三种不同粒度对于不同类型的邻居节点上的信息进行聚合

  • GraphSAGE聚合,最粗,不区分域
  • FM聚合,细致一些 ,考虑了不同域之间的两两交叉
  • Transformer聚合,最细,不仅考虑了不同域之间的交叉,还考虑了一个域内部多个特征(异构节点)之间的交叉

1-hop邻居的最终embedding,是这三种聚合结果的拼接

1-hop邻居的embedding

最上层:The Second Aggregation Layer

这一层负责由1-hop邻居节点(1个target node自身,m个邻居节点,一共1+m个)的embedding(下边公式中的矩阵H),生成target node上的embedding。聚合方式也是基于Transformer的,

  • 根据1+m个原向量,生成1+m个新向量,每个新向量是所有老向量的加权平均,权重是当前原向量与其他原向量的attention score
  • 再拿这1+m个新向量,取平均,得到target node上的最终向量表示
各类型节点的最终embedding

GraphTR 第3步:建模节点间的相关性

通过以上三层卷积,就能够给图上所有类型的所有节点,都产生一个embedding。接下来的问题就是,如何定义优化目标,使这些节点的embedding得到优化?

这一部分的解决方案比较常规,无非就是建模节点之间的相关性,可以有选择是:

  • 建模user-tag之间的相关性,user与点击过的tag之间的距离要尽可能小。但是user-tag之间交互的数据太少。
  • 建模user-video之间的相关性,user与点击过的视频之间,距离应该较近。但是图上建模的不是单个user而是user group,一个user group包含的用户兴趣太复杂,拿user-goup与video训练,可能噪声比较大。
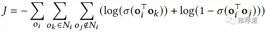
  • 建模video-video之间的相关性, 在同一个session被观看的视频之间,距离要尽可能小。因为video的点击行为比较多,这方面的数据比较丰富,文中采用的是这种方案。

接下来Loss的设计就比较常规了,照搬word2vec,也就是:节点 与其相关节点 的点积大,与随机节点 的点积小。

Pairwise Loss

尽管这个训练目标中的 都是video节点上的embedding,但是由于在生成 的过程中,也聚合了tag的embedding,因此待以上目标优化达成后,得到tag embedding也是最优的

将这些tag emedding代入上文的"第二个方案",即拿用户观看过视频携带的tag的embedding加权平均得到user embedding,再拿这个user embedding在当前视频所携带的tag的embedding中寻找出距离最近的top-k个tag,作为推荐结果显示在视频的下方。因为这些tag embedding蕴含了丰富的user-video行为信息,不仅有助于提升用户对tag的点击率,也有助于提升进入沉浸式tag频道后的观看时长

总结

至此,微信的GraphTR模型就解读完毕,总结一下这个模型的两个亮点:

  • 微信团队面临的是, 数据少的领域如何借力于数据多的领域,同时要兼顾两个领域的优化目标。而他们没有采取传统的“迁移+多目标”的方式,而是通过将不同领域的不同节点、关系建立在一张异构图上, 通过图卷积,使得每个节点的embedding都浓缩了多个领域的知识,达成了“知识迁移+目标兼顾”。GraphTR在微信这种大规模推荐场景下的成功运用,展现了 GNN在迁移学习、多任务学习方面的强大能力,为我们解决类似问题提供了全新的思路。
  • GraphTR采用了GraphSAGE+FM+Transformer多种手段, 粒度上从粗到细,交叉、聚合来自不同领域的异构消息,相比于mean/max pooling、浅层FC等传统聚合方式,极大提升了模型的表达能力,值得借鉴。



由于微信平台算法改版,公号内容将不再以时间排序展示,如果大家想第一时间看到我们的推送,强烈建议星标我们和给我们多点点【在看】。星标具体步骤为:

(1)点击页面最上方"AINLP",进入公众号主页。

(2)点击右上角的小点点,在弹出页面点击“设为星标”,就可以啦。

感谢支持,比心

欢迎加入AINLP技术交流群
进群请添加AINLP小助手微信 AINLPer(id: ainlper),备注NLP技术交流

推荐阅读

这个NLP工具,玩得根本停不下来

征稿启示| 200元稿费+5000DBC(价值20个小时GPU算力)

完结撒花!李宏毅老师深度学习与人类语言处理课程视频及课件(附下载)

从数据到模型,你可能需要1篇详实的pytorch踩坑指南

如何让Bert在finetune小数据集时更“稳”一点

模型压缩实践系列之——bert-of-theseus,一个非常亲民的bert压缩方法

文本自动摘要任务的“不完全”心得总结番外篇——submodular函数优化

Node2Vec 论文+代码笔记

模型压缩实践收尾篇——模型蒸馏以及其他一些技巧实践小结

中文命名实体识别工具(NER)哪家强?

学自然语言处理,其实更应该学好英语

斯坦福大学NLP组Python深度学习自然语言处理工具Stanza试用

关于AINLP

AINLP 是一个有趣有AI的自然语言处理社区,专注于 AI、NLP、机器学习、深度学习、推荐算法等相关技术的分享,主题包括文本摘要、智能问答、聊天机器人、机器翻译、自动生成、知识图谱、预训练模型、推荐系统、计算广告、招聘信息、求职经验分享等,欢迎关注!加技术交流群请添加AINLPer(id:ainlper),备注工作/研究方向+加群目的。


阅读至此了,分享、点赞、在看三选一吧🙏


登录查看更多
0

相关内容

FM 2019是正式方法欧洲(FME)组织的系列国际研讨会中的第23次,该协会是一个独立的协会,旨在促进软件开发正式方法的使用和研究。官网链接:http://formalmethods2019.inesctec.pt/?page_id=565
专知会员服务
36+阅读 · 2021年1月16日
专知会员服务
38+阅读 · 2020年11月24日
【2020新书】预训练Transformer模型的文本排序
专知会员服务
63+阅读 · 2020年10月18日
【KDD2020-UCLA-微软】GPT-GNN:图神经网络的预训练
专知会员服务
63+阅读 · 2020年8月19日
【CVPR2020】时序分组注意力视频超分
专知会员服务
31+阅读 · 2020年7月1日
【清华大学】图随机神经网络,Graph Random Neural Networks
专知会员服务
156+阅读 · 2020年5月26日
“推荐系统”加上“图神经网络”
机器学习与推荐算法
12+阅读 · 2020年3月23日
【干货】电商数据中台如何构建?
AliData
11+阅读 · 2019年4月4日
图卷积神经网络的变种与挑战【附PPT与视频资料】
人工智能前沿讲习班
28+阅读 · 2018年12月28日
清华大学图神经网络综述:模型与应用
机器之心
76+阅读 · 2018年12月26日
CTR预估专栏 | 一文搞懂阿里Deep Interest Network
AI前线
14+阅读 · 2018年7月20日
CTR预估专栏 | 一文搞懂DeepFM的理论与实践
AI前线
13+阅读 · 2018年7月6日
专栏 | 浅析图卷积神经网络
机器之心
28+阅读 · 2018年7月4日
推荐算法:Match与Rank模型的交织配合
从0到1
15+阅读 · 2017年12月18日
Hierarchical Graph Capsule Network
Arxiv
20+阅读 · 2020年12月16日
Pointer Graph Networks
Arxiv
7+阅读 · 2020年6月11日
Arxiv
15+阅读 · 2020年2月5日
Heterogeneous Deep Graph Infomax
Arxiv
12+阅读 · 2019年11月19日
Arxiv
9+阅读 · 2019年11月6日
Sparse Sequence-to-Sequence Models
Arxiv
5+阅读 · 2019年5月14日
VIP会员
最新内容
内省扩散语言模型
专知会员服务
1+阅读 · 今天14:42
国外反无人机系统与技术动态
专知会员服务
2+阅读 · 今天12:48
大规模作战行动中的战术作战评估(研究论文)
专知会员服务
3+阅读 · 今天12:21
未来的海战无人自主系统
专知会员服务
2+阅读 · 今天12:05
美军多域作战现状分析:战略、概念还是幻想?
专知会员服务
4+阅读 · 今天11:52
无人机与反无人机系统(书籍)
专知会员服务
16+阅读 · 今天6:45
美陆军2026条令:安全与机动支援
专知会员服务
6+阅读 · 今天5:49
相关VIP内容
专知会员服务
36+阅读 · 2021年1月16日
专知会员服务
38+阅读 · 2020年11月24日
【2020新书】预训练Transformer模型的文本排序
专知会员服务
63+阅读 · 2020年10月18日
【KDD2020-UCLA-微软】GPT-GNN:图神经网络的预训练
专知会员服务
63+阅读 · 2020年8月19日
【CVPR2020】时序分组注意力视频超分
专知会员服务
31+阅读 · 2020年7月1日
【清华大学】图随机神经网络,Graph Random Neural Networks
专知会员服务
156+阅读 · 2020年5月26日
相关资讯
“推荐系统”加上“图神经网络”
机器学习与推荐算法
12+阅读 · 2020年3月23日
【干货】电商数据中台如何构建?
AliData
11+阅读 · 2019年4月4日
图卷积神经网络的变种与挑战【附PPT与视频资料】
人工智能前沿讲习班
28+阅读 · 2018年12月28日
清华大学图神经网络综述:模型与应用
机器之心
76+阅读 · 2018年12月26日
CTR预估专栏 | 一文搞懂阿里Deep Interest Network
AI前线
14+阅读 · 2018年7月20日
CTR预估专栏 | 一文搞懂DeepFM的理论与实践
AI前线
13+阅读 · 2018年7月6日
专栏 | 浅析图卷积神经网络
机器之心
28+阅读 · 2018年7月4日
推荐算法:Match与Rank模型的交织配合
从0到1
15+阅读 · 2017年12月18日
相关论文
Hierarchical Graph Capsule Network
Arxiv
20+阅读 · 2020年12月16日
Pointer Graph Networks
Arxiv
7+阅读 · 2020年6月11日
Arxiv
15+阅读 · 2020年2月5日
Heterogeneous Deep Graph Infomax
Arxiv
12+阅读 · 2019年11月19日
Arxiv
9+阅读 · 2019年11月6日
Sparse Sequence-to-Sequence Models
Arxiv
5+阅读 · 2019年5月14日
Top
微信扫码咨询专知VIP会员