自适应注意力机制在Image Caption中的应用

2018 年 5 月 10 日 PaperWeekly 蔡文杰




在碎片化阅读充斥眼球的时代,越来越少的人会去关注每篇论文背后的探索和思考。


在这个栏目里,你会快速 get 每篇精选论文的亮点和痛点,时刻紧跟 AI 前沿成果。


点击本文底部的「阅读原文」即刻加入社区,查看更多最新论文推荐。

这是 PaperDaily 的第 71 篇文章


本期推荐的论文笔记来自 PaperWeekly 社区用户 @jamiechoi本文主要讨论自适应的注意力机制在 Image Caption 中的应用。作者提出了带有视觉标记的自适应 Attention 模型,在每一个 time step,由模型决定更依赖于图像还是视觉标记。

关于作者:蔡文杰,华南理工大学硕士生,研究方向为Image Caption。


■ 论文 | Knowing When to Look: Adaptive Attention via A Visual Sentinel for Image Captioning

■ 链接 | www.paperweekly.site/papers/219

■ 源码 | github.com/jiasenlu/AdaptiveAttention


Introduction


目前大多数的基于 Attention 机制的 Image Captioning 模型采用的都是 encoder-decoder 框架。然而在 decode 的时候,decoder 应该对不同的词有不同的 Attention 策略。例如,“the”、“of”等词,或者是跟在cell”后面的phone”等组合词,这类词叫做非视觉词(Non-visual Word),更多依赖的是语义信息而不是视觉信息。而且,在生成 caption 的过程中,非视觉词的梯度会误导或者降低视觉信息的有效性


因此,本文提出了带有视觉标记的自适应 Attention 模型(Adative Attention Model with a Visual Sentinel),在每一个 time step,模型决定更依赖于图像还是 Visual Sentinel。其中,visual sentinel 存放了 decoder 已经知道的信息。 


本文的贡献在于:


  • 提出了带有视觉标记的自适应 Attention 模型 

  • 提出了新的 Spatial Attention 机制 

  • 提出了 LSTM 的扩展,在 hidden state 以外加入了一个额外的 Visual Sentinel Vector


Method


Spatial Attention Model 


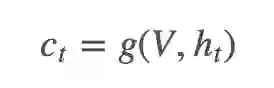
文章介绍了普通的 encoder-decoder 框架,这里不再赘述。但文章定义了 context vector ct,对于没有 attention 机制的模型,ct 就是图像经过 CNN 后提取出的 feature map,是不变的;而对于有 attention 机制的模型,基于 hidden state,decoder 会关注图像的不同区域,c就是该区域经过 CNN 后提取出的 feature map。


文章对 c的定义如下:



其中 g 是 attention function,V=[v1,...,vk] 代表 k 个区域的图像 feature,ht 是 t 时刻 RNN 的 hidden state。 由此可以得到 k 个区域的 attention 分布 αt:



这里把 V 与 ht 相加,而有些论文则使用一个双线性矩阵来连接它们。



其中是所有元素为 1 的向量,目的是让相乘得到 k*k 大小的矩阵。最终本文的 ct 为:



show, attend and tell [1] 使用 ht−1 的做法不同,本文使用的是 ht。结构如下:



作者认为 ct 可以看作 ht 的残差连接,可以在预测下一个词时降低不确定性或者提供情报。(不是应该做一个实验验证使用 ht 和 ht−1 的差别?)并且发现,这种 Spatial Attention 方式比其他模型表现更好。


Adaptive Attention Model 


decoder 存储了长时和短时的视觉和语义信息,而 Visual Sentinel st 作为从里面提取的一个新的元件,用来扩展上述的 Spatial Attention Model,就得到了 Adaptive Attention Model。 


具体的扩展方式就是在原有的 LSTM 基础上加了两个公式:


 


其中 xt 是 LSTM 的输入,mt 是 memory cell(有些论文里用 ct 表示)。 


这里的 gt 叫 sentinel gate,公式形式类似于 LSTM 中的 input gate, forget gate, output gate,决定了模型到底关注图像还是 visual sentinel;而 st 公式的构造与 LSTM 中的 ht=ot⊙tanh(ct) 类似。


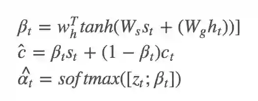
Adaptive Attention Model 中的 Context Vector:



βt∈[0,1] 可以视为真正意义上的 sentinel gate,控制模型关注 visual sentinel 和 ct 的程度。与此同时,Spatial Attention 部分 k 个区域的 attention 分布 αt 也被扩展成了 αt^,做法是在 zt 后面拼接上一个元素:



扩展后的 αt^ 有 k+1 个元素,而 βt=αt^[k+1]。(CVPR 和 arXiv 版本的原文都写的是 βt=αt[k+1],我在 Github 上问了作者,这确实是个笔误 [2])。


这里的 Wg 与中的 Wg 是相同的(为什么这样做?Wh 也一样吗?作者在这里没有提到,在后续论文 [3] 里的公式 (9) 提到了)。


上述公式可以简化为:




最终单词的概率分布:




具体架构如下:



Implementation Details


文章选择了 ResNet 的最后一层卷积层的特征来表示图像,维度是 2048x7x7,并使用来表示 k 个局部图像特征,而全局图像特征则是局部特征的平均: 



局部图像特征需要经过转换:



最终全局图像特征将与 word embedding 拼接在一起成为 LSTM 的输入:xt=[wt;vg] 局部图像特征则用在了 attention 部分。


Experiment

Table 1 在 test splits 上对比了在 Flickr30k 和 MSCOCO 数据集上模型与其他模型的表现,可以看到,模型的 Spatial Attention 部分就已经比其他模型表现好了,而加入了 Adaptive Attention 部分以后表现更加出色。



Table 2 在 COCO server 上对比了模型与其他模型的表现可以看到,Adaptive Attention 模型(emsemble后)的表现是当时 SOTA 的结果。



Fig 4 是 Spatial Attention的权重 α 的可视化结果,前两列是成功的样本,最后一列是失败的样本。模型进行 attention 的区域基本都是合理的,只是可能对一些物体的材质判断失误。



Fig 5 主要是 sentinel gate 1−β 的可视化,对于视觉词,模型给出的概率较大,即更倾向于关注图像特征 ct,对于非视觉词的概率则比较小。同时,同一个词在不同的上下文中的概率也是不一样的。如"a",在一开始的概率较高,因为开始时没有任何的语义信息可以依赖、以及需要确定单复数。



Fig 6 对 COCO 和 Flickr30k 中词典中的词被认为是视觉词的平均概率进行了排序,来看看模型能否分辨出视觉词与非视觉词,两个数据集间的相关性为 0.483。其中:


1. 对于一些实际上是视觉词,但是与其他词有很大关联性的词,模型也会把它视为非视觉词,如"phone"一般都跟在"cell"后面;


2. 不同数据集上不同的词的概率不一样,如"UNK",可能是由于训练数据分布的不同;


3. 对于一些有相近意义的同源词,如"crossing", "cross", "crossed",他们的概率却相差很大。(为什么?) 模型没有依赖外部的语料信息,完全是自动地发现这些趋势。



Fig 11 显示了使用弱监督方法生成的 bounding box 与真实 bounding box 的对比。本文是第一个使用这种方法来评估 image caption 的 attention 效果的


具体生成方法是,对于某个单词而言,先用 NLTK 将其映射到大类上,如“boy”, “girl”映射到 people。然后图像中 attention weight 小于阈值(每个单词的阈值都不一样)的部分就会被分割出来,取分割后的最大连通分量来生成 bounding box。


并计算生成的和真实 bounding box 的 IOU (intersection over union),对于 spatial attention 和 adaptive attention 模型,其平均定位准确率分别为 0.362 和 0.373。说明了,知道何时关注图像,也能让模型更清楚到底要去关注图像的哪个部分



Fig 7 显示了 top 45 个 COCO 数据集中出现最频繁的词的定位准确性。对于一些体积较小的物体,其准确率是比较低的,这是因为 attention map 是从 7x7 的 feature map 中直接放大的,而 7x7 的 feature map 并不能很好地包含这些小物体的信息。




Fig 8 显示了单词“of”在 spatial attention 和 adaptive attention 模型中的 attention map。如果没有 visual sentinel,非视觉词如“of”的 attention 就会高度集中在图像的边缘部分,可能会在反向传播时形成噪声影响训练。


总结


本文提出了 Adaptive Attention 机制,其模型公式都非常简单,Adaptive Attention 部分增加的几个变量也非常简洁,但却对模型的表现有了很大的提升。文章进行的详尽的实验又进一步验证了 Adaptive Attention 的有效性,可谓非常巧妙。

相关链接


[1]. Show, Attend and Tell: Neural Image Caption Generation with Visual Attention

https://arxiv.org/abs/1502.03044

[2]. 笔误

https://github.com/jiasenlu/AdaptiveAttention/issues/14

[3]. Neural Baby Talk

https://www.paperweekly.site/papers/1801

本文由 AI 学术社区 PaperWeekly 精选推荐,社区目前已覆盖自然语言处理、计算机视觉、人工智能、机器学习、数据挖掘和信息检索等研究方向,点击「阅读原文」即刻加入社区!



点击标题查看更多论文解读: 



 戳我查看招募详情


#作 者 招 募#


让你的文字被很多很多人看到,喜欢我们不如加入我们

           


关于PaperWeekly


PaperWeekly 是一个推荐、解读、讨论、报道人工智能前沿论文成果的学术平台。如果你研究或从事 AI 领域,欢迎在公众号后台点击「交流群」,小助手将把你带入 PaperWeekly 的交流群里。


▽ 点击 | 阅读原文 | 查看作者博客

登录查看更多
10

相关内容

图像字幕(Image Captioning),是指从图像生成文本描述的过程,主要根据图像中物体和物体的动作。
【KDD2020】自适应多通道图卷积神经网络
专知会员服务
121+阅读 · 2020年7月9日
近期必读的7篇 CVPR 2019【视觉问答】相关论文和代码
专知会员服务
37+阅读 · 2020年1月10日
注意力机制模型最新综述
专知会员服务
271+阅读 · 2019年10月20日
注意力机制介绍,Attention Mechanism
专知会员服务
172+阅读 · 2019年10月13日
CVPR 2019视频描述(video caption)相关论文总结
极市平台
8+阅读 · 2019年10月16日
综述:Image Caption 任务之语句多样性
PaperWeekly
22+阅读 · 2018年11月30日
Image Captioning 36页最新综述, 161篇参考文献
专知
90+阅读 · 2018年10月23日
Attention模型方法综述 | 多篇经典论文解读
PaperWeekly
107+阅读 · 2018年6月11日
注意力机制(Attention Mechanism)在自然语言处理中的应用
NIPS 2017论文解读 | 基于对比学习的Image Captioning
PaperWeekly
6+阅读 · 2018年2月28日
论文 | CVPR2017有哪些值得读的Image Caption论文?
黑龙江大学自然语言处理实验室
16+阅读 · 2017年12月1日
CVPR2017有哪些值得读的Image Caption论文?
PaperWeekly
10+阅读 · 2017年11月29日
Compositional Generalization in Image Captioning
Arxiv
3+阅读 · 2019年9月16日
Hierarchy Parsing for Image Captioning
Arxiv
6+阅读 · 2019年9月10日
Arxiv
4+阅读 · 2019年8月7日
Attend More Times for Image Captioning
Arxiv
6+阅读 · 2018年12月8日
Exploring Visual Relationship for Image Captioning
Arxiv
15+阅读 · 2018年9月19日
Recurrent Fusion Network for Image Captioning
Arxiv
3+阅读 · 2018年7月31日
Arxiv
21+阅读 · 2018年5月23日
Arxiv
6+阅读 · 2018年5月22日
Arxiv
11+阅读 · 2018年5月13日
VIP会员
最新内容
超越网格:作战环境对炮兵的影响
专知会员服务
1+阅读 · 今天15:35
KDD 2026 | MixRAGRec:面向LLM推荐的混合专家KG-RAG框架
BES:让语言模型通过双向进化搜索自我改进
专知会员服务
4+阅读 · 5月30日
以色列-美国-伊朗战争中的无人机:关键要点
专知会员服务
4+阅读 · 5月30日
《Palantir任务保障性软件安全标准(MA-S2)》
专知会员服务
14+阅读 · 5月30日
基于声学的无人机检测技术综述
专知会员服务
8+阅读 · 5月30日
《当代混合战争分析框架:俄乌战争经验教训》
相关资讯
CVPR 2019视频描述(video caption)相关论文总结
极市平台
8+阅读 · 2019年10月16日
综述:Image Caption 任务之语句多样性
PaperWeekly
22+阅读 · 2018年11月30日
Image Captioning 36页最新综述, 161篇参考文献
专知
90+阅读 · 2018年10月23日
Attention模型方法综述 | 多篇经典论文解读
PaperWeekly
107+阅读 · 2018年6月11日
注意力机制(Attention Mechanism)在自然语言处理中的应用
NIPS 2017论文解读 | 基于对比学习的Image Captioning
PaperWeekly
6+阅读 · 2018年2月28日
论文 | CVPR2017有哪些值得读的Image Caption论文?
黑龙江大学自然语言处理实验室
16+阅读 · 2017年12月1日
CVPR2017有哪些值得读的Image Caption论文?
PaperWeekly
10+阅读 · 2017年11月29日
相关论文
Compositional Generalization in Image Captioning
Arxiv
3+阅读 · 2019年9月16日
Hierarchy Parsing for Image Captioning
Arxiv
6+阅读 · 2019年9月10日
Arxiv
4+阅读 · 2019年8月7日
Attend More Times for Image Captioning
Arxiv
6+阅读 · 2018年12月8日
Exploring Visual Relationship for Image Captioning
Arxiv
15+阅读 · 2018年9月19日
Recurrent Fusion Network for Image Captioning
Arxiv
3+阅读 · 2018年7月31日
Arxiv
21+阅读 · 2018年5月23日
Arxiv
6+阅读 · 2018年5月22日
Arxiv
11+阅读 · 2018年5月13日
Top
微信扫码咨询专知VIP会员