学界 | 大白话解释模型产生过拟合的原因

2017 年 5 月 22 日 AI科技评论

AI科技评论按:本文原作者忆臻,原载于作者的知乎专栏

今天郭江师兄在实验室讲解了全体机器学习会第一章的知识,大家讨论了一下过拟合的知识,这里我根据自己的理解,整理了一下原因,力求同最通俗的语言来描述,可能不是太严谨,但是总体思想能保证正确!

一、过拟合的概念?

首先我们来解释一下过拟合的概念?

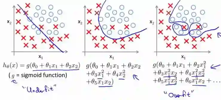
过拟合就是训练出来的模型在训练集上表现很好,但是在测试集上表现较差的一种现象!下图给出例子:

我们将上图第三个模型解释为出现了过拟合现象,过度的拟合了训练数据,而没有考虑到泛化能力。在训练集上的准确率和在开发集上的准确率画在一个图上如下

从图中我们能够看出,模型在训练集上表现很好,但是在交叉验证集上表现先好后差。这也正是过拟合的特征!

二、模型出现过拟合现象的原因

发生过拟合的主要原因可以有以下三点:

(1)数据有噪声

(2)训练数据不足,有限的训练数据

(3)训练模型过度导致模型非常复杂

下面我将分别解释这三种情况(这里按自己的理解解释,欢迎大家交流):

(1)数据有噪声

为什么数据有噪声,就可能导致模型出现过拟合现象呢?

所有的机器学习过程都是一个 search 假设空间的过程!我们是在模型参数空间搜索一组参数,使得我们的损失函数最小,也就是不断的接近我们的真实假设模型,而真实模型只有知道了所有的数据分布,才能得到。

往往我们的模型是在训练数据有限的情况下,找出使损失函数最小的最优模型,然后将该模型泛化于所有数据的其它部分。这是机器学习的本质!

那好,假设我们的总体数据如下图所示:

(我这里就假设总体数据分布满足一个线性模型 y = kx+b, 现实中肯定不会这么简单,数据量也不会这么少,至少也是多少亿级别,但是不影响解释。反正总体数据满足模型 y)

此时我们得到的部分数据,还有噪声的话,如图所示:

(红色数据点为噪声)

那么由上面训练数据点训练出来的模型肯定不是线性模型(总体数据分布下满足的标准模型),比如训练出来的模型如下:

那么我拿着这个有噪声训练的模型,在训练集合上通过不断训练,可以做到损失函数值为 0,但是拿着这个模型,到真实总体数据分布中(满足线性模型)去泛化,效果会非常差,因为你拿着一个非线性模型去预测线性模型的真实分布,显而易得效果是非常差的,也就产生了过拟合现象!

(2)训练数据不足,有限的训练数据

当我们训练数据不足的时候,即使得到的训练数据没有噪声,训练出来的模型也可能产生过拟合现象,解释如下:

假设我们的总体数据分布如下:

(为了容易理解,假设我们的总体数据分布满足的模型是一个二次函数模型)

我们得到的训练数据由于是有限的,比如是下面这个:

(我只得到了 A,B 两个训练数据)

那么由这个训练数据,我得到的模型是一个线性模型,通过训练较多的次数,我可以得到在训练数据使得损失函数为 0 的线性模型,拿这个模型我去泛化真实的总体分布数据(实际上是满足二次函数模型),很显然,泛化能力是非常差的,也就出现了过拟合现象!

(3)训练模型过度导致模型非常复杂

训练模型过度导致模型非常复杂,也会导致过拟合现象!这点和第一点俩点原因结合起来其实非常好理解,当我们在训练数据训练的时候,如果训练过度,导致完全拟合了训练数据的话,得到的模型不一定是可靠的。

比如说,在有噪声的训练数据中,我们要是训练过度,会让模型学习到噪声的特征,无疑是会造成在没有噪声的真实测试集上准确率下降!

好了,到这里本文要讲的内容已经讲完了,我根据自己的理解,试图通俗的讲解产生过拟合的原因,希望能够让更多的人有一个直观的理解~ 真心希望对大家有帮助,欢迎大家指错交流~

报名 |【2017 AI 最佳雇主】榜单

在人工智能爆发初期的时代背景下,雷锋网联合旗下人工智能频道AI科技评论,携手 环球科学 和 BOSS 直聘,重磅推出【2017 AI 最佳雇主】榜单。

从“公司概况”、“创新能力”、“员工福利”三个维度切入,依据 20 多项评分标准,做到公平、公正、公开,全面评估和推动中国人工智能企业发展。

本次【2017 AI 最佳雇主】榜单活动主要经历三个重要时段:

2017.4.11-6.1 报名阶段

2017.6.1-7.1  评选阶段

2017.7.7    颁奖晚宴

最终榜单名单由雷锋网、AI科技评论、《环球科学》、BOSS 直聘以及 AI 学术大咖组成的评审团共同选出,并于7月份举行的 CCF-GAIR 2017大会期间公布。报名期间欢迎大家踊跃自荐或推荐心目中的最佳 AI 企业公司。

报名方式

如果您有意参加我们的评选活动,可以点击【阅读原文】,进入企业报名通道。提交相关审核材料之后,我们的工作人员会第一时间与您取得联系。

【2017 AI 最佳雇主】榜单与您一起,领跑人工智能时代。


AI科技评论招聘季全新启动!


很多读者在思考,“我和AI科技评论的距离在哪里?”答案就是:一封求职信。

AI科技评论自创立以来,围绕学界和业界鳌头,一直为读者提供专业的AI学界、业界、开发者内容报道。我们与学术界一流专家保持密切联系,获得第一手学术进展;我们深入巨头公司AI实验室,洞悉最新产业变化;我们覆盖A类国际学术会议,发现和推动学术界和产业界的不断融合。


而你只要加入我们,就可以一起来记录这个风起云涌的人工智能时代!


如果你有下面任何两项,请投简历给我们:

*英语好,看论文毫无压力

*理工科或新闻相关专业优先,好钻研

*对人工智能有一定的兴趣或了解

 * 态度好,学习能力强


简历投递:

深圳:[email protected]

登录查看更多
0

相关内容

过拟合,在AI领域多指机器学习得到模型太过复杂,导致在训练集上表现很好,然而在测试集上却不尽人意。过拟合(over-fitting)也称为过学习,它的直观表现是算法在训练集上表现好,但在测试集上表现不好,泛化性能差。过拟合是在模型参数拟合过程中由于训练数据包含抽样误差,在训练时复杂的模型将抽样误差也进行了拟合导致的。
【ACL2020-Google】逆向工程配置的神经文本生成模型
专知会员服务
17+阅读 · 2020年4月20日
【Nature论文】深度网络中的梯度下降复杂度控制
专知会员服务
41+阅读 · 2020年3月9日
《可解释的机器学习-interpretable-ml》238页pdf
专知会员服务
210+阅读 · 2020年2月24日
知识图谱更新技术研究及其应用,复旦大学硕士论文
专知会员服务
106+阅读 · 2019年11月4日
一文读懂线性回归、岭回归和Lasso回归
CSDN
34+阅读 · 2019年10月13日
如何理解模型的过拟合与欠拟合,以及如何解决?
七月在线实验室
12+阅读 · 2019年4月23日
从动力学角度看优化算法:一个更整体的视角
黑龙江大学自然语言处理实验室
8+阅读 · 2019年1月28日
用模型不确定性理解模型
论智
11+阅读 · 2018年9月5日
详解常见的损失函数
七月在线实验室
20+阅读 · 2018年7月12日
面试整理:关于代价函数,正则化
数据挖掘入门与实战
8+阅读 · 2018年3月29日
谈谈过拟合
数萃大数据
5+阅读 · 2018年2月24日
教你简单解决过拟合问题(附公式)
数据派THU
5+阅读 · 2018年2月13日
理解神经网络的激活函数
论智
7+阅读 · 2018年1月8日
Arxiv
92+阅读 · 2020年2月28日
Arxiv
6+阅读 · 2019年3月19日
Arxiv
18+阅读 · 2019年1月16日
Arxiv
29+阅读 · 2018年4月6日
VIP会员
最新内容
BES:让语言模型通过双向进化搜索自我改进
专知会员服务
0+阅读 · 今天16:48
以色列-美国-伊朗战争中的无人机:关键要点
专知会员服务
3+阅读 · 今天14:04
《Palantir任务保障性软件安全标准(MA-S2)》
专知会员服务
6+阅读 · 今天13:49
基于声学的无人机检测技术综述
专知会员服务
5+阅读 · 今天13:37
《当代混合战争分析框架:俄乌战争经验教训》
专知会员服务
5+阅读 · 今天13:11
战略前沿人工智能的再思考(中文)
专知会员服务
7+阅读 · 5月29日
《量化地基防空系统间接效应的博弈论方法》
专知会员服务
5+阅读 · 5月29日
相关资讯
一文读懂线性回归、岭回归和Lasso回归
CSDN
34+阅读 · 2019年10月13日
如何理解模型的过拟合与欠拟合,以及如何解决?
七月在线实验室
12+阅读 · 2019年4月23日
从动力学角度看优化算法:一个更整体的视角
黑龙江大学自然语言处理实验室
8+阅读 · 2019年1月28日
用模型不确定性理解模型
论智
11+阅读 · 2018年9月5日
详解常见的损失函数
七月在线实验室
20+阅读 · 2018年7月12日
面试整理:关于代价函数,正则化
数据挖掘入门与实战
8+阅读 · 2018年3月29日
谈谈过拟合
数萃大数据
5+阅读 · 2018年2月24日
教你简单解决过拟合问题(附公式)
数据派THU
5+阅读 · 2018年2月13日
理解神经网络的激活函数
论智
7+阅读 · 2018年1月8日
Top
微信扫码咨询专知VIP会员