当前训练神经网络最快的方式:AdamW优化算法+超级收敛

2018 年 7 月 4 日 中国人工智能学会

本文经机器之心(微信公众号:almosthuman2014)授权转载,禁止二次转载

选自fast.ai

作者:Sylvain Gugger、Jeremy Howard

机器之心编译

参与:思源、王淑婷、张倩


最优化方法一直是机器学习中非常重要的部分,也是学习过程的核心算法。而 Adam 自 14 年提出以来就受到广泛关注,目前该论文的引用量已经达到了 10047。不过自去年以来,很多研究者发现 Adam 优化算法的收敛性得不到保证,ICLR 2017 的最佳论文也重点关注它的收敛性。在本文中,作者发现大多数深度学习库的 Adam 实现都有一些问题,并在 fastai 库中实现了一种新型 AdamW 算法。根据一些实验,作者表示该算法是目前训练神经网络最快的方式。


Adam 过山车


Adam 优化器之旅可以说是过山车(roller-coaster)式的。该优化器于 2014 年推出,本质上是一个出于直觉的简单想法:既然我们明确地知道某些参数需要移动得更快、更远,那么为什么每个参数还要遵循相同的学习率?因为最近梯度的平方告诉我们每一个权重可以得到多少信号,所以我们可以除以这个,以确保即使是最迟钝的权重也有机会发光。Adam 接受了这个想法,在过程中加入了标准方法,就这样产生了 Adam 优化器(稍加调整以避免早期批次出现偏差)!


首次发表之时,深度学习社区都为来自原论文的一些图表(如下图)兴奋不已:


Adam 和其他优化器的对比


训练速度提高 200%!「总体来看,我们发现 Adam 非常鲁棒,而且广泛适用于机器学习领域的各种非凸优化问题」论文结尾这样写道。那是三年前,深度学习的黄金时期。然而,事情并没有按照我们期望的方向发展。使用 Adam 训练模型的研究文章少之又少,新的研究开始明显地抑制了它的应用,并在几个实验中表明,SGD+momentum 可能比复杂的 Adam 表现更好。2018 fast.ai 课程开课之际,可怜的 Adam 被从早期课程中删除。


但是到了 2017 年末,Adam 似乎又重获新生。Ilya Loshchilov 和 Frank Hutter 在他们的论文《Fixing Weight Decay Regularization in Adam》中指出,每个库在 Adam 上实施的权重衰减似乎都是错误的,并提出了一种简单的方法(他们称之为 AdamW)来修复它。尽管结果略有不同,但他们确实给出了一些类似下图的令人鼓舞的图表:


Adam 和 AdamW 对比


我们希望人们恢复对 Adam 的热情,因为该优化器的一些早期结果似乎可以复现。但事与愿违。实际上,应用它的唯一一个深度学习框架就是使用 Sylvain 编码的 fastai。由于缺乏可用的广泛框架,日常实践者就只能固守又旧又不好用的 Adam。


但这不是唯一的问题。前面还有很多阻碍。两篇论文指出了 Adam 在收敛性证明方面的明显问题,尽管其中一篇提出了名为 AMSGrad 的修正(并在享有盛誉的 ICLR 大会上赢得了「最佳论文」奖)。但是,如果说我们从这种最戏剧化的生活(至少按照优化器的标准来说是戏剧化的)简史中学到了什么,那就是,没有什么是它表面看起来的样子。的确,博士生 Jeremy Bernstein 指出,所谓的收敛问题其实只是选择不当的超参数的迹象,也许 AMSGrad 也解决不了问题。另一名博士生 Filip Korzeniowski 展示了一些早期成果,似乎支持了 AMSGrad 这种令人沮丧的观点。


启动过山车


那么我们这些只希望快速训练精确模型的人该做些什么呢?我们选择用数百年来解决科学辩论的方式——科学实验——来解决这一争议!稍后将呈现所有细节,但首先让我们来看一下大致结果:


  • 适当调参之后,Adam 真的可以用!我们在以下几个任务中得到了训练时间方面的最新结果:

  • 在含有测试时间增加的仅仅 18 个 epoch 或 30 个 epoch 上训练 CIFAR10,直到其准确率超过 94%,如 DAWNBench 竞赛; 

  • 对 Resnet50 进行调参,直至其在斯坦福汽车数据集上的准确率达到 90%,只需训练 60 个 epoch(之前达到相同的准确率需要 600 个 epoch);

  • 从零开始训练一个 AWD LSTM or QRNN,历经 90 个 epoch(或在一个 GPU 上训练 1 个半小时),其困惑度在 Wikitext-2 上达到当前最优水平(之前的 LSTM 需要 750 个 epoch,QRNN 需要 500 个 epoch)。

  • 这意味着我们已经看到使用 Adam 的超收敛!超收敛是训练学习率高的神经网络时出现的一种现象,它表示节省了一半训练过程。在 AdamW 之前,训练 CIFAR10 至 94 % 的准确率需要大约 100 个 epoch。

  • 与之前的工作相比,我们发现只要调整得当,Adam 在我们尝试过的每一个 CNN 图像问题上都可以获得与 SGD+Momentum 一样好的准确率,而且几乎总是快一点。

  • 关于 AMSGrad 是一个糟糕的「解决方案」的建议是正确的。我们一直发现,AMSGrad 在准确率(或其他相关指标)上没有获得比普通 Adam / AdamW 更高的增益。


当你听到人们说 Adam 的泛化性能不如 SGD+Momentum 时,你基本上总会发现他们为自己的模型所选择的超参数不咋地。通常 Adam 需要的正则化比 SGD 多,因此在从 SGD 转向 Adam 时,确保调整正则化超参数。


文章结构:


1. AdamW

  1. 理解 AdamW

  2. 实现 AdamW

  3. AdamW 实验和 AdamW-ish

2. AMSGrad

  1. 理解 AMSGrad

  2. 实现 AMSGrad

  3. AMSGrad 实验的结果

3. 完整结果图表


AdamW


理解 AdanW:权重衰减与 L2 正则化


L2 正则化是减少过拟合的经典方法,它会向损失函数添加由模型所有权重的平方和组成的惩罚项,并乘上特定的超参数以控制惩罚力度。以下本文所有的方程式都是用 Python、NumPy 和 PyTorch 风格的表达方式:


final_loss = loss + wd * all_weights.pow(2).sum() / 2


其中 wd 为我们设置的超参数,用以控制惩罚力度。这也可以称为权重衰减,因为每一次运用原版 SGD 时,它都等价于使用如下方程式更新权重:


w = w - lr * w.grad - lr * wd * w


其中 lr 表示学习率、w.grad 表示损失函数对 w 的导数,而后面的 wd * w 则表示惩罚项对 w 的求导结果。在这个等式中,我们会看到每一次更新都会减去一小部分权重,这也就是「衰减」的来源。


fast.ai 查看过的所有库都使用第一种形式。在实践中,几乎都是通过向梯度 wd*w 而实现算法,而不是真正地改变损失函数。因为我们并不希望增加额外的计算量来修正损失,尤其是还有其它简单方法的时候。


既然它们是同一种表达,那么我们为什么需要区分这两种概念呢?原因在于它们只对于原版 SGD 是等价的,而当我们添加动量或使用如 Adam 那样复杂的最优化方法,L2 正则化(第一个方程)和权重衰减(第二个方程)就会存在很大的不同。在本文其余的部分中,我们讨论权重衰减指的都是第二个方程式,而讨论 L2 正则化都是讨论第一个经典方式。


如下在带动量的 SGD 中,L2 正则化与权重衰减是不等价的。L2 正则化会将 wd*w 添加到梯度中,但现在权重并不是直接减去梯度。首先我们需要计算移动均值:


moving_avg = alpha * moving_avg + (1-alpha) * (w.grad + wd*w)


然后权重才能通过减去乘上了学习率的移动均值而得到更新。所以 w 更新中涉及到的正则化为 lr* (1-alpha)*wd * w 加上已经在 moving_avg 中前面权重的组合。


因此,权重衰减的更新方式可以表示为:


moving_avg = alpha * moving_avg + (1-alpha) * w.grad 
w = w - lr * moving_avg - lr * wd * w


我们可以观察到,从 w 中减去有关正则化的部分在两种方法中是不同的。当我们使用 Adam 优化器时,权重衰减的部分可能相差更大。因为 Adam 中的 L2 正则化需要添加 wd*w 到梯度中,并分别计算梯度及其平方的移动均值,然后再能更新权重。然而权重衰减方法只是简单地更新权重,并每次从权重中减去一点。


显然这是两种不同的方法,在进行了实验后,Ilya Loshchilov 和 Frank Hutter 建议我们应该在 Adam 算法中使用权重衰减方法,而不是像经典深度学习库中实现的 L2 正则化。


实现 AdamW


那么我们要如何才能实现 AdamW 算法呢?如果你们在使用 fastai 的库,那么在使用 fit 函数时添加参数 use_wd_sched=True 就能简单地实现:


learn.fit(lr, 1, wds=1e-4, use_wd_sched=True)


如果你更喜欢新的训练 API,你就能在每一个训练阶段中使用参数 wd_loss=False:


phases = [TrainingPhase(1, optim.Adam, lr, wds=1-e4, wd_loss=False)]
learn.fit_opt_sched(phases)


以下简要地概述了 fastai 是如何实现 AdamW 的。在优化器中的阶梯函数,我们只需要使用梯度修正参数,根本不使用参数本身的值(除了权重衰减,我们将在外部处理它)。然后我们可以在最优化器之前通简单的实现权重衰减,但这仍需要在计算梯度后才能完成,否则它就会影响梯度的值。所以在训练循环中,我们必须确定计算权重衰减的位置。


loss.backward()
#Do the weight decay here!
optimizer.step()


当然,最优化器应该设定 wd=0,否则它还会做一些 L2 正则化,这也是我们不希望看到的。现在在权重衰减的位置中,我们可以在所有参数上写一个循环语句,并依次采用权重衰减的更新。而我们的参数应该存储在优化器的字典 param_groups 中,所以这个循环应该表示为如下语句:


loss.backward()
for group in optimizer.param_groups():
    for param in group['params']:
        param.data = param.data.add(-wd * group['lr'], param.data)
optimizer.step()


AdamW 实验的结果:它真的能行吗?


我们首先在计算机视觉问题上进行测试,效果非常好。具体来说,Adam 和 L2 正则化在 30 个 epoch 中获得的平均准确率为 93.96%,在两次中有一次超过 94%。我们选择 30 个 epoch 是因为通过 1cycle 策略和 SGD 可以获得 94% 准确率。当我们使用 Adam 与权重衰减方法,我们持续获得 94% 到 94.25% 的准确率。为此,我们发现使用 1cycle 策略时的最优 beta2 值为 0.99。我们将 beta1 参数视为 SGD 中的动量,这也就意味着它学习率的增长由 0.95 降低到 0.85,然后随学习率的降低而又增加到 0.95。


L2 正则化或权重衰减准确率


更令人印象深刻的是,使用测试时间增加(即在测试集的一个图像和它四个增加数据的版本上取预测的平均值),我们可以在仅仅 18 个 epoch 内达到 94 % 的准确率(平均 93.98 %)!通过简单的 Adam 和 L2 正则化,每尝试 20 次就会出现一次超过 94 % 的情况。


在这些比较中需要考虑的一点是,改变正则化方式会改变权重衰减或学习率的最佳值。在我们进行的测试中,L2 正则化的最佳学习率为 1e-6(最大学习率为 1e-3),而权重衰减的最佳值为 0.3(学习率为 3e-3)。在我们的所有测试中,数量级的差异都是非常一致的,主要是因为 L2 正则化被梯度的平均范数(相当低)有效地划分,并且 Adam 的学习率相当小(所以权重衰减的更新需要更强的系数)。


那么,权重衰减总是比 Adam 的 L2 正则化更好?我们还没有发现明显更糟的情况,但无论是迁移学习问题(例如斯坦福汽车数据集上 Resnet50 的微调)还是 RNNs,它都没有给出更好的结果。


AMSGrad


理解 AMSGrad


AMSGrad 是由 Sashank J. Reddi、Satyen Kale 和 Sanjiv Kumar 在近期的一篇文章中介绍的。通过分析 Adam 优化器收敛的证明,他们在更新规则中发现了一个错误,该错误可能导致算法收敛到次优点。他们设计了理论实验,展示 Adam 失败的情形,并提出了一个简单的解决方案。机器之心也曾从适应性学习率算法出发分析过这一篇最佳论文:Beyond Adam


为了更好地理解错误和解决方案,让我们来看一下 Adam 的更新规则:


avg_grads = beta1 * avg_grads + (1-beta1) * w.grad
avg_squared = beta2 * (avg_squared) + (1-beta2) * (w.grad ** 2)
w = w - lr * avg_grads / sqrt(avg_squared)


我们刚刚跳过了偏差校正(对训练的开始很有用),把重心放在了主要点上。作者发现 Adam 收敛证明中的错误之处在于:


lr / sqrt(avg_squared)


这是我们朝着平均梯度方向迈出的一步,在训练中逐渐减少。由于学习率常常是恒定或递减的,作者提出的解决方案是通过添加另一个变量来跟踪它们的最大值,从而迫使 avg _ square 量增加。


实现 AMSGrad


相关文章在 ICLR 2018 中获得了一项大奖并广受欢迎,而且它已经在两个主要的深度学习库——PyTorch 和 Keras 中实现。所以,我们只需传入参数 amsgrad = True 即可。


avg_grads = beta1 * avg_grads + (1-beta1) * w.grad
avg_squared = beta2 * (avg_squared) + (1-beta2) * (w.grad ** 2)
max_squared = max(avg_squared, max_squared)
w = w - lr * avg_grads / sqrt(max_squared)


AMSGrad 实验结果:大量噪音都是没用的


AMSGrad 的结果令人非常失望。在所有实验中,我们都发现它没有丝毫帮助。即使 AMSGrad 发现的最小值有时比 Adam 达到的最小值稍低(在损失方面),其度量(准确率、f_1 分数…)最终总是更糟(详见引言中的表格)。


Adam 优化器在深度学习中收敛的证明(因为它针对凸问题)和他们在其中发现的错误对于与现实问题无关的合成实验很重要。实际测试表明,当这些 avg _ square 梯度想要减小时,这么做能得到最好的结果。


这表明,即使把重点放在理论上有助于获得一些新想法,也没有什么可以取代实验(而且很多实验!)以确保这些想法实际上有助于从业人员训练更好的模型。


附录:所有结果


从零开始训练 CIFAR10(模型是 Wide-ResNet-22,以下为五个模型的平均结果):



使用 fastai 库引入的标准头对斯坦福汽车数据集上的 Resnet 50 进行微调(解冻前对头训练 20 个 epoch,并用不同的学习率训练 40 个 epoch):



使用来自 GitHub(https://github.com/salesforce/awd-lstm-lm)的超参数训练 AWD LSTM(结果显示在有或没有缓存指针(cache pointer)情况下验证/测试集的困惑度):



使用来自 GitHub repo 的超参数训练 QRNN(结果显示在有或没有缓存指针情况下验证/测试集的困惑度):



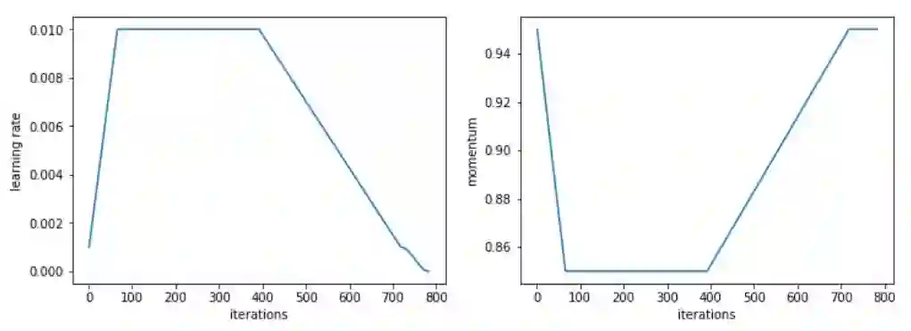
针对这一具体任务,我们采用了 1cycle 策略的修改版本,加快了学习速度,之后长时间保持较高的恒定学习速度,然后再往下降。


Adam 和其它优化器之间的对比


所有相关超参数的值以及用于产生这些结果的代码地址如下:https://github.com/sgugger/Adam-experiments 


原文链接:http://www.fast.ai/2018/07/02/adam-weight-decay/




登录查看更多
6

相关内容

[ICML-Google]先宽后窄:对深度薄网络的有效训练
专知会员服务
36+阅读 · 2020年7月5日
【CMU】深度学习模型中集成优化、约束和控制,33页ppt
专知会员服务
46+阅读 · 2020年5月23日
【CVPR 2020-商汤】8比特数值也能训练卷积神经网络模型
专知会员服务
26+阅读 · 2020年5月7日
【新书】Python编程基础,669页pdf
专知会员服务
197+阅读 · 2019年10月10日
深度学习优化算法总结(SGD,AdaGrad,Adam等)
极市平台
34+阅读 · 2019年4月30日
2018年深度学习优化算法最新综述
计算机视觉战队
10+阅读 · 2018年12月11日
Adam那么棒,为什么还对SGD念念不忘 (2)
AI研习社
3+阅读 · 2018年1月1日
入门 | 一文了解神经网络中的梯度爆炸
机器之心
8+阅读 · 2017年12月22日
2017年深度学习优化算法最新综述
计算机视觉战队
7+阅读 · 2017年12月18日
【教程】如何估算深度神经网络的最优学习率
GAN生成式对抗网络
5+阅读 · 2017年11月18日
教程 | 如何估算深度神经网络的最优学习率
机器之心
3+阅读 · 2017年11月17日
Meta-Learning with Implicit Gradients
Arxiv
13+阅读 · 2019年9月10日
Arxiv
7+阅读 · 2018年12月26日
Arxiv
4+阅读 · 2018年10月5日
Arxiv
5+阅读 · 2017年12月14日
Arxiv
4+阅读 · 2017年7月25日
VIP会员
最新内容
以色列-美国-伊朗战争中的无人机:关键要点
专知会员服务
2+阅读 · 今天14:04
《Palantir任务保障性软件安全标准(MA-S2)》
专知会员服务
6+阅读 · 今天13:49
基于声学的无人机检测技术综述
专知会员服务
5+阅读 · 今天13:37
《当代混合战争分析框架:俄乌战争经验教训》
专知会员服务
5+阅读 · 今天13:11
战略前沿人工智能的再思考(中文)
专知会员服务
7+阅读 · 5月29日
《量化地基防空系统间接效应的博弈论方法》
专知会员服务
5+阅读 · 5月29日
“史诗怒火行动”中美军损失的作战飞机
专知会员服务
6+阅读 · 5月29日
ICML 2026 | 理解上下文持续学习中的泛化与遗忘
专知会员服务
5+阅读 · 5月28日
相关资讯
深度学习优化算法总结(SGD,AdaGrad,Adam等)
极市平台
34+阅读 · 2019年4月30日
2018年深度学习优化算法最新综述
计算机视觉战队
10+阅读 · 2018年12月11日
Adam那么棒,为什么还对SGD念念不忘 (2)
AI研习社
3+阅读 · 2018年1月1日
入门 | 一文了解神经网络中的梯度爆炸
机器之心
8+阅读 · 2017年12月22日
2017年深度学习优化算法最新综述
计算机视觉战队
7+阅读 · 2017年12月18日
【教程】如何估算深度神经网络的最优学习率
GAN生成式对抗网络
5+阅读 · 2017年11月18日
教程 | 如何估算深度神经网络的最优学习率
机器之心
3+阅读 · 2017年11月17日
Top
微信扫码咨询专知VIP会员