用Numpy搭建神经网络第二期:梯度下降法的实现

2019 年 5 月 30 日 大数据文摘

大数据文摘出品

作者:蒋宝尚


小伙伴们大家好呀~~用Numpy搭建神经网络,我们已经来到第二期了。第一期文摘菌教大家如何用Numpy搭建一个简单的神经网络,完成了前馈部分。


这一期,为大家带来梯度下降相关的知识点,和上一期一样,依然用Numpy实现梯度下降。在代码开始之前,先来普及一下梯度下降的知识点吧。


梯度下降:迭代求解模型参数值


第一期文章中提到过,最简单的神经网络包含三个要素,输入层,隐藏层以及输出层。关于其工作机理其完全可以类比成一个元函数:Y=W*X+b。即输入数据X,得到输出Y。


如何评估一个函数的好坏,专业一点就是拟合度怎么样?最简单的方法是衡量真实值和输出值之间的差距,两者的差距约小代表函数的表达能力越强。


这个差距的衡量也叫损失函数。显然,损失函数取值越小,原函数表达能力越强。


那么参数取何值时函数有最小值?一般求导能够得到局部最小值(在极值点处取)。而梯度下降就是求函数有最小值的参数的一种方法。


梯度下降数学表达式


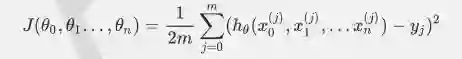
比如对于线性回归,假设函数表示为hθ(x1,x2…xn)=θ01x1+..+θnxn,其中wi(i=0,1,2...n)为模型参数,xi(i=0,1,2...n)为每个样本的n个特征值。这个表示可以简化,我们增加一个特征x0=1,这样h(xo,x1,.…xn)=θ0x01x1+..+θnxn。同样是线性回归,对应于上面的假设函数,损失函数为(此处在损失函数之前加上1/2m,主要是为了修正SSE让计算公式结果更加美观,实际上损失函数取MSE或SSE均可,二者对于一个给定样本而言只相差一个固定数值):



算法相关参数初始化:主要是初始化θ0,θ1..,θn,我们比较倾向于将所有的初始化为0,将步长初始化为1。在调优的时候再进行优化。


对θi的梯度表达公式如下:

 


用步长(学习率)乘以损失函数的梯度,得到当前位置下降的距离,即:



梯度下降法的矩阵方式描述


对应上面的线性函数,其矩阵表达式为:


损失函数表达式为:

 


其中Y为样本的输出向量。


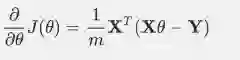
梯度表达公式为:


还是用线性回归的例子来描述具体的算法过程。损失函数对于向量的偏导数计算如下:

迭代:


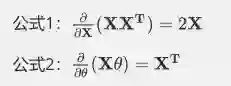
两个矩阵求导公式为:


用Python实现梯度下降

import pandas as pdimport numpy as np

导入两个必要的包。


def regularize(xMat): inMat=xMat. copy() inMeans=np. mean(inMat, axis=0) invar=np. std(inMat, axis=0) inMat=(inMat-inMeans)/invar return inMat

定义标准化函数,不让过大或者过小的数值影响求解。


定义梯度下降函数:


def BGD_LR(data alpha=0.001, maxcycles=500):       xMat=np. mat(dataset)        yMat=np. mat(dataset).T        xMat=regularize(xMat)        m,n=xMat.shape        weights=np. zeros((n,1))        for i in range(maxcycles):                grad=xMat.T*(xMat * weights-yMat)/m                weights=weights -alpha* grad                return weights


其中,dataset代表输入的数据,alpha是学习率,maxcycles是最大的迭代次数。


即返回的权重就是说求值。np.zeros 是初始化函数。grad的求取是根据梯度下降的矩阵求解公式。


本文参考B站博主菊安酱的机器学习。感兴趣的同学可以打开链接观看视频哟~

https://www.bilibili.com/video/av35390140


好了,梯度下降这个小知识点就讲解完了,下一期,我们将第一期与第二期的知识点结合,用手写数字的数据完成一次神经网络的训练。



实习/全职编辑记者招聘ing

加入我们,亲身体验一家专业科技媒体采写的每个细节,在最有前景的行业,和一群遍布全球最优秀的人一起成长。坐标北京·清华东门,在大数据文摘主页对话页回复“招聘”了解详情。简历请直接发送至[email protected]


点「在看」的人都变好看了
登录查看更多
1

相关内容

梯度的本意是一个向量(矢量),表示某一函数在该点处的方向导数沿着该方向取得最大值,即函数在该点处沿着该方向(此梯度的方向)变化最快,变化率最大(为该梯度的模)。
最新《自动微分手册》77页pdf
专知会员服务
104+阅读 · 2020年6月6日
专知会员服务
142+阅读 · 2020年5月19日
【干货书】流畅Python,766页pdf,中英文版
专知会员服务
229+阅读 · 2020年3月22日
【Nature论文】深度网络中的梯度下降复杂度控制
专知会员服务
41+阅读 · 2020年3月9日
麻省理工学院MIT-ICLR2020《神经网络能推断出什么?》
专知会员服务
51+阅读 · 2020年2月19日
谷歌机器学习速成课程中文版pdf
专知会员服务
147+阅读 · 2019年12月4日
盘一盘 Python 系列 10 - Keras (上)
平均机器
5+阅读 · 2019年8月26日
100行Python代码,轻松搞定神经网络
大数据文摘
4+阅读 · 2019年5月2日
从零开始深度学习:利用numpy手写一个感知机
数萃大数据
10+阅读 · 2018年6月10日
基于Numpy实现神经网络:反向传播
论智
5+阅读 · 2018年3月21日
干货|深度神经网络(DNN)反向传播算法(BP)
全球人工智能
7+阅读 · 2018年1月12日
算法优化|梯度下降和随机梯度下降 — 从0开始
全球人工智能
8+阅读 · 2017年12月25日
神经网络bp算法推导
统计学习与视觉计算组
11+阅读 · 2017年11月17日
tensorflow系列笔记:流程,概念和代码解析
北京思腾合力科技有限公司
30+阅读 · 2017年11月11日
Meta-Learning with Implicit Gradients
Arxiv
13+阅读 · 2019年9月10日
Arxiv
5+阅读 · 2018年10月23日
Angular-Based Word Meta-Embedding Learning
Arxiv
3+阅读 · 2018年8月13日
Arxiv
3+阅读 · 2018年5月20日
Arxiv
3+阅读 · 2018年3月2日
Arxiv
4+阅读 · 2018年1月29日
VIP会员
最新内容
《高超音速武器:一项再度兴起的技术》120页slides
无人机蜂群建模与仿真方法
专知会员服务
1+阅读 · 36分钟前
澳大利亚发布《国防战略(2026年)》
专知会员服务
0+阅读 · 今天13:42
【CMU博士论文】迈向基于基础先验的 4D 感知研究
专知会员服务
0+阅读 · 58分钟前
全球高超音速武器最新发展趋势
专知会员服务
1+阅读 · 今天13:17
人工智能在战场行动中的演进及伊朗案例
专知会员服务
7+阅读 · 4月18日
相关VIP内容
最新《自动微分手册》77页pdf
专知会员服务
104+阅读 · 2020年6月6日
专知会员服务
142+阅读 · 2020年5月19日
【干货书】流畅Python,766页pdf,中英文版
专知会员服务
229+阅读 · 2020年3月22日
【Nature论文】深度网络中的梯度下降复杂度控制
专知会员服务
41+阅读 · 2020年3月9日
麻省理工学院MIT-ICLR2020《神经网络能推断出什么?》
专知会员服务
51+阅读 · 2020年2月19日
谷歌机器学习速成课程中文版pdf
专知会员服务
147+阅读 · 2019年12月4日
相关资讯
盘一盘 Python 系列 10 - Keras (上)
平均机器
5+阅读 · 2019年8月26日
100行Python代码,轻松搞定神经网络
大数据文摘
4+阅读 · 2019年5月2日
从零开始深度学习:利用numpy手写一个感知机
数萃大数据
10+阅读 · 2018年6月10日
基于Numpy实现神经网络:反向传播
论智
5+阅读 · 2018年3月21日
干货|深度神经网络(DNN)反向传播算法(BP)
全球人工智能
7+阅读 · 2018年1月12日
算法优化|梯度下降和随机梯度下降 — 从0开始
全球人工智能
8+阅读 · 2017年12月25日
神经网络bp算法推导
统计学习与视觉计算组
11+阅读 · 2017年11月17日
tensorflow系列笔记:流程,概念和代码解析
北京思腾合力科技有限公司
30+阅读 · 2017年11月11日
相关论文
Top
微信扫码咨询专知VIP会员