AAAI 2020 | 姿态辅助下的多相机协作实现主动目标追踪

2020 年 3 月 21 日 专知

关键词协作  多相机  主动目标追踪


导读


本文是第三十四届人工智能大会(AAAI 2020)入选论文《姿态辅助下的多相机协作实现主动目标追踪(Pose-Assisted Multi-Camera Collaboration for Active Object Tracking)》的解读。本文由北京大学和上海交通大学合作完成。



项目链接(或点击“阅读原文”查看):

https://sites.google.com/view/pose-assisted-collaboration


简介

对相机进行智能控制从而实现目标追踪是一项非常具有挑战性的任务。由于环境的复杂性,相机所接收到的视觉信息常常是不完美的,比如环境中存在的障碍物对目标极容易造成遮挡,目标距离远的情况下形态变得不够清晰,相似的背景容易导致目标的混淆等等。传统的方法只靠视觉信息做追踪,在视觉信息质量不够高的情况下很容易导致相机追踪的失败。因此,本文提出引入相机姿态的多相机协同合作机制进行监控场景下的目标追踪,通过对比不同测试环境上的实验结果,本文证实了这种合作机制的有效性和可拓展性。

▲ 图1:多相机协作追踪


方法介绍

在本文设计的多相机合作机制下,每个相机均有一个基于视觉信息的控制器,一个基于姿态信息的控制器和一个转换器基于视觉的控制器使用图片作为输入,输出相机智能体的动作。基于姿态的控制器使用所有相机的姿态信息即所有相机的位置,视角及转换器的二分类标签作为输入,输出相机的动作。而转换器负责在两个控制器之间进行切换,当相机的视觉信息不足以进行追踪即基于视觉信息的控制器失败时,如图1中的1号相机,转换器将会使用辅助的基于姿态的控制器进行相机行为控制,从而保证多相机系统进行稳定的合作追踪。


如图2所示,基于视觉信息的控制器模块由 CNN(卷积神经网络)进行特征提取,后续接入 LSTM(长短期记忆神经网络)进行历史信息的处理,最后由 FC(全连接网络)输出动作;同时,LSTM 输出的特征会被转换器中的 FC 处理后输出二分类概率,相机的最终执行动作为最大概率的对应控制器所输出的动作。基于姿态的控制器通过 GRU(门控递归神经网络)进行多相机姿态信息的融合,然后由后续的 FC 网络输出每一个相机的动作。转换器由一个 FC 网络构成,输入为 LSTM 处理后的特征,输出为二分类的概率。


通过这种合作机制,相机可以学到在视觉信息不足以支撑其决策时使用有效的姿态信息进行行为指导。

▲ 图2:网络结构


实验结果

本文的方法使用强化学习的A3C算法进行两个控制器的训练,同时在基于视觉信息的控制器的训练过程中,把转换器的分类任务作为辅助任务协同训练。训练环境为虚拟环境 UnrealCV 中的 RandomRoom 场景(如图3的前两行所示),在训练环境中,我们改变了房间的背景,目标人物的形态,并对场景中放置不同的障碍物等等。我们在新环境 Garden(如图3的第三行所示)和 Urban City(如图3的最后一行所示)中进行测试。

▲ 图3:训练环境和测试环境

从上到下代表不同环境,从左到右代表不同相机


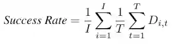
对于实验结果的衡量,本文使用了平均角度误差和成功率来度量多相机系统的追踪性能,其中平均角度误差为长度为 T 的追踪时长下所有相机俯仰角和偏航角的误差平均:

成功率指标(S)为所有相机长度为 T 的追踪时长下的成功率平均值:

我们和传统方法 TLD,BACF 及 DasiamRPN 进行对比,由于传统方法在追踪过程中没有对相机的控制,我们对传统方法增加了基于规则的动作控制器,即相机基于检测边框的位置进行相应旋转。


实验中,我们发现传统方法在人物形态变化较大及障碍遮挡较大等情况中容易追踪失败,而我们的方法在相机丢失目标时,可以根据姿态信息的指导重新追踪回目标,如图4所示,3号相机的图片中失去了目标信息,其行为由基于视觉的控制器转为由基于姿态的控制器控制,通过保持和其他相机目标一致,基于姿态的控制器正确输出3号相机的动作使其寻回目标,保证了长期追踪的良好性能。实验的具体量化结果(平均角度误差和成功率)见表格1。

▲ 图4:追踪示例


▲ 表格1:实验结果


为了验证本文设计的合作机制的有效性,我们设计了一系列消融实验,对比了各相机单独追踪(SV),使用 Bi-GRU,进行多相机的视觉信息融合(MV),使用 FC 网络进行视觉信息和姿态信息的融合(SV+P)的方法。其中我们的方法取得了最低的误差结果和最高的成功率,证明了使用转换机制对视觉信息和姿态信息进行结合可以达到最好的合作追踪效果。


结论

对于监控场景下的多相机主动追踪任务,本文提出一种新的多相机合作机制利用相机姿态辅助追踪,可以在视觉信息不完善的情况下保证追踪性能,给出了优于以往方法的结果。在全新测试环境(Garden/UrbanCity)上的结果展示了本文方法可以有效地拓展到更多场景。


参考文献

[1] Bertinetto, L.; Valmadre, J.; Henriques, J. F.; Vedaldi, A.; and Torr, P. H. 2016. Fully-convolutional siamese networks for object tracking. In European conference on computer vision,850–865. Springer.

[2] Littman, M. L. 1994. Markov games as a framework for multi-agent reinforcement learning. In Machine Learning Proceedings 1994. Elsevier. 157–163.

[3] Luo, W.; Sun, P.; Zhong, F.; Liu, W.; Zhang, T.; and Wang, Y. 2018. End-to-end active object tracking via reinforcement learning. In International Conference on Machine Learning, 3286–3295.


AAAI

AAAI(AAAI Conference on Artificial Intelligence)是人工智能领域的国际顶级会议,早期由计算机科学和人工智能创始人 Allen Newell, Marvin Minsky 和 John McCarthy 等人首创,被中国计算机学会(CCF)推荐为A类会议。第34届AAAI(AAAI-20)将于2020年2月7日-12日在美国纽约举行。


图文 | 李静

Computer Vision and Digital Arts (CVDA)







About CVDA




The Computer Vision and Digital Art (CVDA) research group was founded in 2007 within the Institute of Digital Media at Peking University led be Prof. Yizhou Wang. The group focuses on developing computational theories and models to solve challenging computer vision problems in light of biologically plausible evidences of visual perception and cognition. The primary goal of CVDA is to establish a mathematical foundation of understanding the computational aspect of the robust and efficient mechanisms of human visual perception, cognition, learning and even more. We also believe that the marriage of science and art will stimulate exciting inspirations on producing creative expressions of visual patterns.


CVDA近期科研成果解读





—   版权声明  —

本微信公众号所有内容,由北京大学前沿计算研究中心微信自身创作、收集的文字、图片和音视频资料,版权属北京大学前沿计算研究中心微信所有;从公开渠道收集、整理及授权转载的文字、图片和音视频资料,版权属原作者。本公众号内容原作者如不愿意在本号刊登内容,请及时通知本号,予以删除。



专知,专业可信的人工智能知识分发,让认知协作更快更好!欢迎注册登录专知www.zhuanzhi.ai,获取5000+AI主题干货知识资料!
欢迎微信扫一扫加入专知人工智能知识星球群,获取最新AI专业干货知识教程资料和与专家交流咨询
点击“ 阅读原文 ”,了解使用 专知 ,查看获取5000+AI主题知识资源
登录查看更多
1

相关内容

基于视觉的三维重建关键技术研究综述
专知会员服务
166+阅读 · 2020年5月1日
3D目标检测进展综述
专知会员服务
193+阅读 · 2020年4月24日
专知会员服务
42+阅读 · 2020年2月20日
姿势服装随心换-CVPR2019
专知会员服务
36+阅读 · 2020年1月26日
八篇 ICCV 2019 【图神经网络(GNN)+CV】相关论文
专知会员服务
30+阅读 · 2020年1月10日
五篇 ICCV 2019 的【图神经网络(GNN)+CV】相关论文
专知会员服务
15+阅读 · 2020年1月9日
深度学习视频中多目标跟踪:论文综述
专知会员服务
94+阅读 · 2019年10月13日
ECCV 2018 | Bi-box行人检测:‘行人遮挡’为几何?
极市平台
13+阅读 · 2018年9月30日
ECCV 2018 | OR-CNN行人检测:为‘遮挡’而生
极市平台
6+阅读 · 2018年9月21日
论文 | 深度学习实现目标跟踪
七月在线实验室
48+阅读 · 2017年12月8日
Arxiv
6+阅读 · 2018年5月18日
Arxiv
5+阅读 · 2017年12月29日
Arxiv
3+阅读 · 2015年5月16日
VIP会员
最新内容
人工智能在战场行动中的演进及伊朗案例
专知会员服务
3+阅读 · 4月18日
美AI公司Anthropic推出网络安全模型“Mythos”
专知会员服务
2+阅读 · 4月18日
【博士论文】面向城市环境的可解释计算机视觉
大语言模型的自改进机制:技术综述与未来展望
《第四代军事特种作战部队选拔与评估》
专知会员服务
1+阅读 · 4月18日
相关VIP内容
基于视觉的三维重建关键技术研究综述
专知会员服务
166+阅读 · 2020年5月1日
3D目标检测进展综述
专知会员服务
193+阅读 · 2020年4月24日
专知会员服务
42+阅读 · 2020年2月20日
姿势服装随心换-CVPR2019
专知会员服务
36+阅读 · 2020年1月26日
八篇 ICCV 2019 【图神经网络(GNN)+CV】相关论文
专知会员服务
30+阅读 · 2020年1月10日
五篇 ICCV 2019 的【图神经网络(GNN)+CV】相关论文
专知会员服务
15+阅读 · 2020年1月9日
深度学习视频中多目标跟踪:论文综述
专知会员服务
94+阅读 · 2019年10月13日
Top
微信扫码咨询专知VIP会员