BAT1000题精选 | RNN是怎么从单层网络一步步构造的

2017 年 12 月 7 日 七月在线实验室

作者:何之源

来源:https://zhuanlan.zhihu.com/p/28054589

收入《BAT机器学习面试1000题系列》,其他题目见文末链接


从单层网络谈起

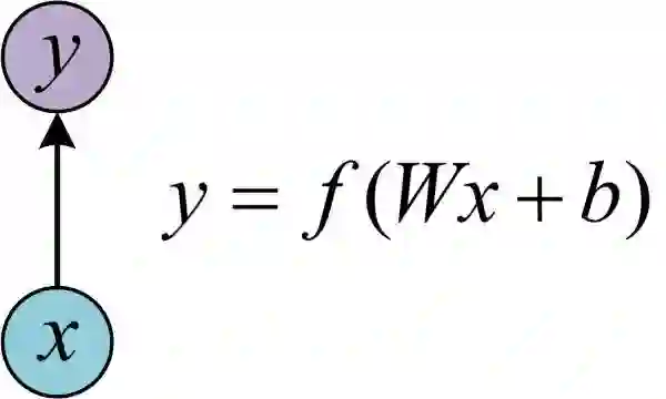
  在学习RNN之前,首先要了解一下最基本的单层网络,它的结构如图:

  输入是x,经过变换Wx+b和激活函数f得到输出y。相信大家对这个已经非常熟悉了。

经典的RNN结构(N vs N)

  在实际应用中,我们还会遇到很多序列形的数据:


如:

  • 自然语言处理问题。x1可以看做是第一个单词,x2可以看做是第二个单词,依次类推。

  • 语音处理。此时,x1、x2、x3……是每帧的声音信号。

  • 时间序列问题。例如每天的股票价格等等。

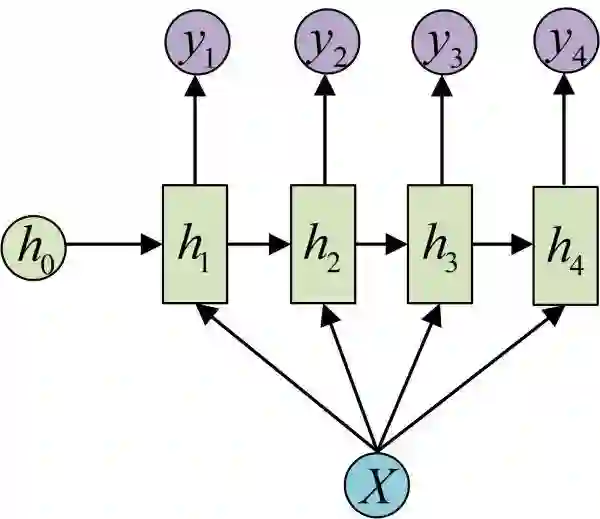
  序列形的数据就不太好用原始的神经网络处理了。为了建模序列问题,RNN引入了隐状态h(hidden state)的概念,h可以对序列形的数据提取特征,接着再转换为输出。先从h1的计算开始看:


  图示中记号的含义是:

  • 圆圈或方块表示的是向量。

  • 一个箭头就表示对该向量做一次变换。如上图中h0和x1分别有一个箭头连接,就表示对h0和x1各做了一次变换。

  在很多论文中也会出现类似的记号,初学的时候很容易搞乱,但只要把握住以上两点,就可以比较轻松地理解图示背后的含义。

  h2的计算和h1类似。要注意的是,在计算时,每一步使用的参数U、W、b都是一样的,也就是说每个步骤的参数都是共享的,这是RNN的重要特点,一定要牢记。


  依次计算剩下来的(使用相同的参数U、W、b):


  我们这里为了方便起见,只画出序列长度为4的情况,实际上,这个计算过程可以无限地持续下去。

  我们目前的RNN还没有输出,得到输出值的方法就是直接通过h进行计算:

  正如之前所说,一个箭头就表示对对应的向量做一次类似于f(Wx+b)的变换,这里的这个箭头就表示对h1进行一次变换,得到输出y1。

  剩下的输出类似进行(使用和y1同样的参数V和c):

  OK!大功告成!这就是最经典的RNN结构,我们像搭积木一样把它搭好了。它的输入是x1, x2, .....xn,输出为y1, y2, ...yn,也就是说,输入和输出序列必须要是等长的。

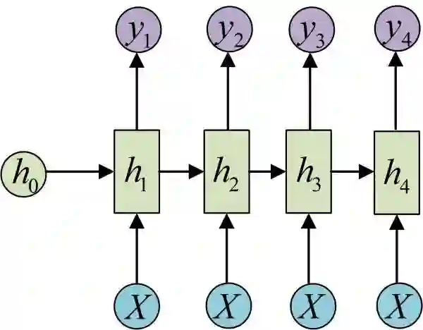
  由于这个限制的存在,经典RNN的适用范围比较小,但也有一些问题适合用经典的RNN结构建模,如:

  • 计算视频中每一帧的分类标签。因为要对每一帧进行计算,因此输入和输出序列等长。

  • 输入为字符,输出为下一个字符的概率。这就是著名的Char RNN(详细介绍请参考:The Unreasonable Effectiveness of Recurrent Neural Networks,Char RNN可以用来生成文章、诗歌,甚至是代码。此篇博客里有自动生成歌词的实验教程《基于torch学汪峰写歌词、聊天机器人、图像着色/生成、看图说话、字幕生成》http://blog.csdn.net/v_july_v/article/details/52796239)。

N VS 1

  有的时候,我们要处理的问题输入是一个序列,输出是一个单独的值而不是序列,应该怎样建模呢?实际上,我们只在最后一个h上进行输出变换就可以了:


  这种结构通常用来处理序列分类问题。如输入一段文字判别它所属的类别,输入一个句子判断其情感倾向,输入一段视频并判断它的类别等等。


1 VS N

  输入不是序列而输出为序列的情况怎么处理?我们可以只在序列开始进行输入计算:


  还有一种结构是把输入信息X作为每个阶段的输入:


  下图省略了一些X的圆圈,是一个等价表示:

这种1 VS N的结构可以处理的问题有:

  • 从图像生成文字(image caption),此时输入的X就是图像的特征,而输出的y序列就是一段句子

  • 从类别生成语音或音乐等

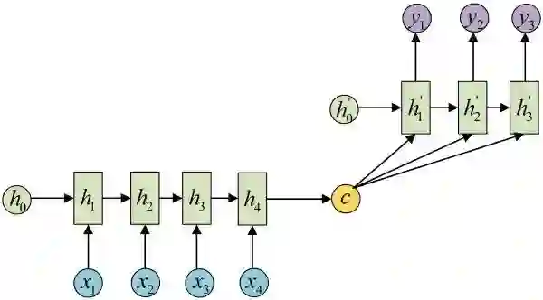
N vs M

  下面我们来介绍RNN最重要的一个变种:N vs M。这种结构又叫Encoder-Decoder模型,也可以称之为Seq2Seq模型。

  原始的N vs N RNN要求序列等长,然而我们遇到的大部分问题序列都是不等长的,如机器翻译中,源语言和目标语言的句子往往并没有相同的长度。

  为此,Encoder-Decoder结构先将输入数据编码成一个上下文向量c:


  得到c有多种方式,最简单的方法就是把Encoder的最后一个隐状态赋值给c,还可以对最后的隐状态做一个变换得到c,也可以对所有的隐状态做变换。

  拿到c之后,就用另一个RNN网络对其进行解码,这部分RNN网络被称为Decoder。具体做法就是将c当做之前的初始状态h0输入到Decoder中:


  还有一种做法是将c当做每一步的输入:


  由于这种Encoder-Decoder结构不限制输入和输出的序列长度,因此应用的范围非常广泛,比如:

  • 机器翻译。Encoder-Decoder的最经典应用,事实上这一结构就是在机器翻译领域最先提出的

  • 文本摘要。输入是一段文本序列,输出是这段文本序列的摘要序列。

  • 阅读理解。将输入的文章和问题分别编码,再对其进行解码得到问题的答案。

  • 语音识别。输入是语音信号序列,输出是文字序列。


往期题目:

BAT机器学习面试1000题系列(第1~60题)

BAT机器学习面试1000题系列(第61~100题)

BAT机器学习面试1000题系列(第101~200题)

BAT机器学习面试1000题系列(第201~250题)

BAT机器学习面试1000题系列(第251~255题)

BAT机器学习面试1000题系列(第256~260题)


版权声明:转载文章和图片均来自公开网络,版权归作者本人所有,推送文章除非无法确认,我们都会注明作者和来源。如果出处有误或侵犯到原作者权益,请与我们联系删除或授权事宜。 




机器学习集训营,三个月挑战年薪30万!

登录查看更多
0

相关内容

RNN:循环神经网络,是深度学习的一种模型。
【ICML2020】持续图神经网络,Continuous Graph Neural Networks
专知会员服务
151+阅读 · 2020年6月28日
一份循环神经网络RNNs简明教程,37页ppt
专知会员服务
173+阅读 · 2020年5月6日
一份简短《图神经网络GNN》笔记,入门小册
专知会员服务
226+阅读 · 2020年4月11日
和积网络综述论文,Sum-product networks: A survey,24页pdf
专知会员服务
24+阅读 · 2020年4月3日
【MIT深度学习课程】深度序列建模,Deep Sequence Modeling
专知会员服务
78+阅读 · 2020年2月3日
【反馈循环自编码器】FEEDBACK RECURRENT AUTOENCODER
专知会员服务
23+阅读 · 2020年1月28日
神经网络与深度学习,复旦大学邱锡鹏老师
专知会员服务
123+阅读 · 2019年9月24日
RNN是怎么从单层网络一步一步构造的?
七月在线实验室
6+阅读 · 2018年7月13日
干货 | 受限玻尔兹曼机基础教程
机器学习算法与Python学习
7+阅读 · 2018年3月27日
理解神经网络的激活函数
论智
7+阅读 · 2018年1月8日
【推荐】(TensorFlow)RNN入门
机器学习研究会
9+阅读 · 2017年10月10日
完全图解RNN、RNN变体、Seq2Seq、Attention机制
AI研习社
13+阅读 · 2017年9月5日
干货|完全图解RNN、RNN变体、Seq2Seq、Attention机制
机器学习研究会
12+阅读 · 2017年8月5日
【深度学习基础】4. Recurrent Neural Networks
微信AI
16+阅读 · 2017年7月19日
CNN之卷积层
机器学习算法与Python学习
8+阅读 · 2017年7月2日
Do RNN and LSTM have Long Memory?
Arxiv
19+阅读 · 2020年6月10日
Neural Response Generation with Meta-Words
Arxiv
6+阅读 · 2019年6月14日
Arxiv
3+阅读 · 2018年10月25日
Arxiv
13+阅读 · 2018年1月20日
VIP会员
最新内容
AutoScientists:自组织智能体团队驱动长期科学实验
战略前沿人工智能的再思考(中文)
专知会员服务
3+阅读 · 今天14:53
《量化地基防空系统间接效应的博弈论方法》
专知会员服务
3+阅读 · 今天14:51
“史诗怒火行动”中美军损失的作战飞机
专知会员服务
2+阅读 · 今天14:38
ICML 2026 | 理解上下文持续学习中的泛化与遗忘
专知会员服务
5+阅读 · 5月28日
Agent Harness综述:大模型智能体执行器工程全景
专知会员服务
13+阅读 · 5月28日
《基于理论的威慑效能评估》
专知会员服务
8+阅读 · 5月28日
相关VIP内容
【ICML2020】持续图神经网络,Continuous Graph Neural Networks
专知会员服务
151+阅读 · 2020年6月28日
一份循环神经网络RNNs简明教程,37页ppt
专知会员服务
173+阅读 · 2020年5月6日
一份简短《图神经网络GNN》笔记,入门小册
专知会员服务
226+阅读 · 2020年4月11日
和积网络综述论文,Sum-product networks: A survey,24页pdf
专知会员服务
24+阅读 · 2020年4月3日
【MIT深度学习课程】深度序列建模,Deep Sequence Modeling
专知会员服务
78+阅读 · 2020年2月3日
【反馈循环自编码器】FEEDBACK RECURRENT AUTOENCODER
专知会员服务
23+阅读 · 2020年1月28日
神经网络与深度学习,复旦大学邱锡鹏老师
专知会员服务
123+阅读 · 2019年9月24日
相关资讯
RNN是怎么从单层网络一步一步构造的?
七月在线实验室
6+阅读 · 2018年7月13日
干货 | 受限玻尔兹曼机基础教程
机器学习算法与Python学习
7+阅读 · 2018年3月27日
理解神经网络的激活函数
论智
7+阅读 · 2018年1月8日
【推荐】(TensorFlow)RNN入门
机器学习研究会
9+阅读 · 2017年10月10日
完全图解RNN、RNN变体、Seq2Seq、Attention机制
AI研习社
13+阅读 · 2017年9月5日
干货|完全图解RNN、RNN变体、Seq2Seq、Attention机制
机器学习研究会
12+阅读 · 2017年8月5日
【深度学习基础】4. Recurrent Neural Networks
微信AI
16+阅读 · 2017年7月19日
CNN之卷积层
机器学习算法与Python学习
8+阅读 · 2017年7月2日
Top
微信扫码咨询专知VIP会员