从神经科学到计算机视觉:人类与计算机视觉五十年回顾

2017 年 11 月 13 日 全球人工智能 SeattleDataGuy


——免费加入AI技术专家社群>>

——免费加入AI高管投资者群>>

如何像人类大脑一样完成一项视觉任务是复杂的,比如深度感知、目标跟踪、边缘检测等,而扫描环境和定位是大脑经常做的事情,这些都被人们认为是理所当然的事情。在过去某段时间里,研究者们可能从来没有想过创建类似人类大脑处理任务一样的系统。然而,在过去的50年中,我们已经从神经科学中看似一些小的突破转向能够描述图片中场景的“电脑”。


在神经科学课程教学过程中,有很多趣闻发生以帮助同学们更好地理解大脑是如何工作的比如Phineas Gauge是一名美国的铁路工人,在某次施工时遭遇爆炸事故,被一根铁棍击穿头颅,幸运的是他活了下来,但是他的左额叶皮质受到损伤,导致语言障碍,同时也影响其生理性格;还有Britten的论文描述大脑何时再混乱的移动点钟发现信号。所有这些零碎的研究开始加深我们大脑如何工作的理解。


还有类似的一个例子,人类视觉和计算机视觉的大量研究奠定了基础,那就著名的HubelWiesel的研究。由于二人在心理学上的突出贡献,获得了1981年的诺贝尔和平奖,此外他们在视觉系统的信息处理方面也获得了突破性的发现他们打响了研究神经元的第一枪,他们通过连接一个电极一个神经元能够听神经元对一条光的刺激作出的反应他们V1大脑皮层神经元的工作原理有了新的了解这是令人兴奋的新认识,该研究有助于阐明V1神经元的映射相关功能。

在下面的视频中,演示了 V1神经元是如何对待位置和角度的光条做出反应的,当光移动就会有裂纹,这表明你听到猫的神经元对刺激做出的反应。


通过这个实验,他们演示了几种类型的神经元只有在某些刺激下是如何被激活的,另一个有趣的特征是细胞似乎自然地映射到不同角度,如下图所示,V1的每一部分都包含一组非常特殊的神经元,这些神经元通常对特定角度的光条作出反应。

这些细胞反应以某种方式结合起来,理论上能够创建一个自向上的自然世界形象,也就是说,通过接收许多神经元各种光条的反应,人类大脑开始绘制出周围的图景

一晃近30过去了江山代有才人出,时代属于OlshausenDavid JField二位研究者两位研究人员都专注于计算神经科学领域个领域主要是研究大脑如何编码和解码信息,并推动了这个领域相关工作的进一步发展。事实上,他们在自己的工作中引用HubelWiesel的研究成果此外,他们不只注重单一的光条,还拍摄了照片,开始研究如何通过算法识别和编码图像内部的特征。

他们1996年(20多年前)写的一篇叫做自然图像统计和高效编码本文的目的是讨论在图像识别应用中失败的Hebbian学习模型。具体来说,Hebbian学习算法利用了主成分分析算法学习,但存在的问题是,模型不同时学习定位、定以及带通结构来绘制自然图像。从理论上讲,该模型部分源自于HubelWiesel关的研究成果,除此之外192个神经元的输出进行了建模

他们的研究表明,在对自然图像客观存在的规律进行编码时,模型的建立更多地侧重于稀疏性会使得模型更有效。

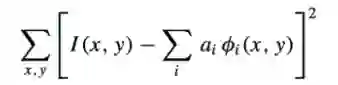
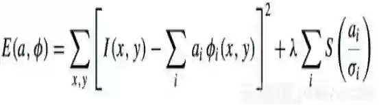
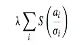
使用一个稀疏模型,该模型限制每个基函数列表所需的系数数目,来表示一个图像中的各种特征,由下式证明

其主体部分是为了找到实际图像和函数表示图像之间最低平均误差

然后与代价函数一起迫使算法限制表示图像表示所需的系数数量

使用梯度下降算法最大限度地减少表示图像所需的系数数量,但是该篇论文自身还没有显示出能够将特征转化为图像的神经网络。

1991年,互联网刚刚普及。现在科学已经从检测猫的神经元对光条刺激的反应转到神经网络的数学模型,该模型能够输出图像的实际特征。在1996年的那篇论文中,最后一行是未来一项重要令人兴奋的挑战将是如何将这些原理推理到更级的皮层视觉领域提供预测。这是一个挑战,通过利用低级的特,然后创建一个自下而上的网络模型来真正地预测一副图像

Olshausen等人的模型类似于上图,如果你对深度学习了解的话,那么对这个输出低级特征的矩阵看起来是不是非常熟悉

在过去的几年中,很多论文都使用了与上图非常相似的矩阵这些矩阵被用作卷积神经网络的卷积层。可以发现,这应该是模拟单个神经元对视觉刺激的反应方式。

此时此刻利用这些低层次的特征预测图像的实际背景不再是Olshausen等人论文中的最后一行中的理论猜想,这在今天变成了现实。

同时也说明了神经元能够识别光条的原因,神经网络可以利用低层次的特征预测图像所包含的信息2015斯坦福大学的Andrej Karpathy和李飞飞发表了一篇关于这一问题的重要论文——Deep Visual-Semantic Alignments for Generating Image Descriptions。在这篇论文中,演示了通过一个递归神经网络能够详细描述图像,如下图所示,仅仅只是指出了图片中有一只猫或一只狗,而且能够详细描述图像内容,比如男孩在尾板做后空翻虽然现在它并不完美,但它相较于1968年而言,仍是一个跨越式的发展!

1968年到现在,这是一个漫长的发展过程。本文引用的论文1968开始到2015结束都快有50年的时间。然而,从大局来看,神经网络的发展越来越快,它不仅仅只是用来识别图像,还被用于医学图像的癌症检测预测人类的情感表达自动驾驶等等各个领域

接下来的50年里,计算机视觉的发展前景如何?欢迎广大读者留言发表自己的看法。(云栖社区翻译)

原文:https://medium.com/m/global-identity?redirectUrl=https://towardsdatascience.com/from-neuroscience-to-computer-vision-e86a4dea3574?spm=5176.100239.blogcont241263.20.f9sH5H

热门文章推荐

周志华:实验表明gcForest是最好的非深度神经网络方法

黑科技|Adobe出图象技术神器!视频也可以PS了!!

史上第一个被授予公民身份的机器人索菲亚和人对答如流!

浙大90后女黑客在GeekPwn2017上秒破人脸识别系统!

周志华点评AlphaGo Zero:这6大特点非常值得注意!

汤晓鸥教授:人工智能让天下没有难吹的牛!

英伟达发布全球首款人工智能全自动驾驶平台

未来 3~5 年内,哪个方向的机器学习人才最紧缺?

中科院步态识别技术:不看脸 50米内在人群中认出你!

厉害|黄仁勋狂怼CPU:摩尔定律已死 未来属于GPU!


登录查看更多
2

相关内容

深度学习可解释性研究进展
专知会员服务
103+阅读 · 2020年6月26日
【中科院自动化所】视觉对抗样本生成技术概述
专知会员服务
38+阅读 · 2020年4月15日
深度学习算法与架构回顾
专知会员服务
84+阅读 · 2019年10月20日
【学科发展报告】计算机视觉
中国自动化学会
43+阅读 · 2018年10月12日
【深度学习】深度学习与神经科学相遇
产业智能官
9+阅读 · 2017年12月17日
计算机视觉这一年:这是最全的一份CV技术报告
极市平台
3+阅读 · 2017年11月28日
“计算机视觉”到底是个啥?
AI100
5+阅读 · 2017年8月3日
人工神经网络是否模拟了人类大脑?
数说工作室
10+阅读 · 2017年7月19日
Arxiv
21+阅读 · 2018年5月23日
VIP会员
最新内容
美国与以色列如何在攻击伊朗中使用人工智能
专知会员服务
2+阅读 · 今天16:20
《自动化战略情报管控》
专知会员服务
1+阅读 · 今天14:31
得失评估:审视对伊朗战争的轨迹(简报)
专知会员服务
2+阅读 · 今天14:19
【CMU博士论文】迈向可解释机器学习的理论基础
专知会员服务
2+阅读 · 今天12:23
基于数据优化的人机协同与机器人僚机
专知会员服务
5+阅读 · 今天2:08
相关VIP内容
相关资讯
【学科发展报告】计算机视觉
中国自动化学会
43+阅读 · 2018年10月12日
【深度学习】深度学习与神经科学相遇
产业智能官
9+阅读 · 2017年12月17日
计算机视觉这一年:这是最全的一份CV技术报告
极市平台
3+阅读 · 2017年11月28日
“计算机视觉”到底是个啥?
AI100
5+阅读 · 2017年8月3日
人工神经网络是否模拟了人类大脑?
数说工作室
10+阅读 · 2017年7月19日
Top
微信扫码咨询专知VIP会员