时间自适应卷积:比自注意力更快的特征提取器

2020 年 3 月 9 日 PaperWeekly


论文标题:

Time-aware Large Kernel Convolutions


论文作者:

Vasileios Lioutas, Yuhong Guo


论文链接:

https://arxiv.org/pdf/2002.03184v1.pdf




在本文,我们介绍一篇非常有趣的工作:使用“时间自适应”的卷积去替换Transformer中的自注意力从而将时间复杂度从降低到O(n)极大加快了文本生成的速度,同时还得到了非常好的效果。


在数据集WMT En-De, En-Fr和IWSLT De-En上取得了和当前最优相同的结果。


Transformer的时间复杂度


作为大家熟悉的老朋友,Transformer在各种NLP模型、任务上已经被反复提及了。


Transformer使用了自注意力(Self-attention)去建模每个字符和所有字符的关系,从而,它的时间复杂度是的。


显然,这在模型运行的过程中是一笔不可忽略的开销,尤其当句子长度很大的时候,运行Transformer的时间开销是非常大的。


那么,有没有什么方法既能实现Transformer的效果,又能加快速度吗?


动态卷积给出了一个比较好的答案:使用卷积网络建模语义关系,从而将复杂度降低到O(kn),这里k是卷积核大小。


那么,有没有进一步减小时间开销呢?为此,本文继续从卷积网络出发,提出一种时间自适应的卷积:对每个时间步(即每个位置的字符),动态地预测得到它的卷积核大小,进而利用现有的“并行点缀和”技术降低时间复杂度,使其达到最理想的O(n)


在降低时间开销的同时,本方法还能达到和当前最优相同的结果,既高效又强大。


总的来说,本文贡献如下:


  • 提出时间自适应卷积,对每个字符得到其不同的卷积核大小;

  • 极大降低自注意力的时间开销,将复杂度降低到了O(n),同时还有更少的内存开销;

  • 在WMT En-De, En-Fr和IWSLT De-En和WikiText-103上实现了和当前最优十分相近的结果。


在阅读完本文后,读者可以思考一个简单的问题:为什么说这种方法可以实现线性复杂度O(n)


时间自适应卷积


设输入是长度为 n 的文本,每个都是 d 维向量,就是所谓的时间步。

为此降低编码时间开销,我们首先直接考虑把第 i 个时间步周围的向量相加(相当于一个窗口):


其中是窗口的两端。


当然,如果对每个时间步 i 都单独相加,这就非常低效,因为有很多项被重复相加。为此,我们直接考虑前缀和



那么,现在就可以写成:



我们现在想要对每个时间步 i,它的窗口大小是不同的,所以需要为每个计算它的窗口由于直接计算窗口大小的绝对值不方便,我们转而计算其相对值:



其中,是相对大小,是最大允许的窗口大小。


由于计算得到的实值,我们需要把它转化为整数。下面,我们就从这实值附近采样整数:



这里上述操作都是可微的。


然而,这种方法的问题是,随着模型层数的增加,向量的和会越来越大,导致模型无法收敛。所以,我们还需要对得到的结果归一化:



此外,对得到的加以Dropout也有助于过拟合。


类似Transformer,该方法也可以应用到多头机制上。这只需要把原始的输入分成若干组,然后对所有组并行操作即可,下图是一个示例:



图中有两个头,分别是绿色和蓝色,各自的绝对窗口大小分别在左右。


在解码的时候,只需要令即可。


实验


本文在机器翻译数据集WMT English to German (En-De), WMT English to French (En-Fr) and IWSLT German to English (De-En)和语言模型数据集WikiText-103上实验。具体实验细节详见论文。


下面是在WMT上的实验结果。可以看到,在参数量几乎相同的情况下,本方法(TaLK)实现了几乎和当前最优结果相同的结果(实际上还要更快)。



而在IWSLT De-En上,本方法达到了35.5的BLEU值,比之前最好的35.2更高。


而在语言模型上,在相同的参数量下,本方法取得了最好的结果,为20.3的PPL,如下表所示:



下面我们重点比较各方法的编码时间和内存上的开销,结果如下表所示。


首先看内存开销,随着句子长度的增加,本方法相比自注意力就更加有优势,并且比动态卷积还要略好。


再看每秒迭代次数,在 n=10,100 的时候,本方法每秒迭代次数大概是自注意力和动态卷积的两倍。


n=1000 的时候,是自注意力的四倍,是动态迭代的两倍;而在 n=10000 时,自注意力直接OUt of Memory,而本方法依旧坚挺。



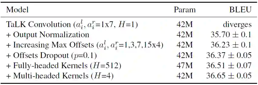
最后我们来看看本方法各组成的作用,如下表所示。显然,没有归一化,模型原地狗带,无法收敛。增大窗口最终效果所有帮助,其他方面的技巧似乎帮助不太大。



小结及思考题


本文提出一种时间自适应的卷积,在每一个时间步,都动态地得到当前的卷积大小,并使用前缀和实现了 O(n) 的复杂度。在机器翻译和语言模型的实验上表明了该方法又快又好,还能节省内存开销。


至于为什么说这种方法只有线性复杂度:首先,我们需要对每个时间步操作,而对它而言,我们只需要计算一个前缀和的差即可,而前缀和是预先计算得到的,所以可以看作是一个常量。从而总的来说,编码的复杂度就是 O(n)


🔍


现在,在「知乎」也能找到我们了

进入知乎首页搜索「PaperWeekly」

点击「关注」订阅我们的专栏吧



关于PaperWeekly


PaperWeekly 是一个推荐、解读、讨论、报道人工智能前沿论文成果的学术平台。如果你研究或从事 AI 领域,欢迎在公众号后台点击「交流群」,小助手将把你带入 PaperWeekly 的交流群里。



登录查看更多
4

相关内容

利用注意力机制来“动态”地生成不同连接的权重,这就是自注意力模型(Self-Attention Model). 注意力机制模仿了生物观察行为的内部过程,即一种将内部经验和外部感觉对齐从而增加部分区域的观察精细度的机制。注意力机制可以快速提取稀疏数据的重要特征,因而被广泛用于自然语言处理任务,特别是机器翻译。而自注意力机制是注意力机制的改进,其减少了对外部信息的依赖,更擅长捕捉数据或特征的内部相关性
【CVPR2020-港中文】 图像识别中的自注意力探索
专知会员服务
56+阅读 · 2020年4月29日
【CVPR2020】视觉推理-可微自适应计算时间
专知会员服务
13+阅读 · 2020年4月28日
【CVPR2020】L2 ^GCN:图卷积网络的分层学习高效训练
专知会员服务
40+阅读 · 2020年3月31日
【ICLR-2020】网络反卷积,NETWORK DECONVOLUTION
专知会员服务
39+阅读 · 2020年2月21日
五篇 ICCV 2019 的【图神经网络(GNN)+CV】相关论文
专知会员服务
15+阅读 · 2020年1月9日
一文读懂图卷积GCN
计算机视觉life
21+阅读 · 2019年12月21日
【论文笔记】自注意力图池化
专知
82+阅读 · 2019年11月18日
从三大顶会论文看百变Self-Attention
PaperWeekly
17+阅读 · 2019年11月11日
卷积神经网络四种卷积类型
炼数成金订阅号
18+阅读 · 2019年4月16日
自注意力机制在计算机视觉中的应用
GAN生成式对抗网络
19+阅读 · 2018年12月20日
综述:DenseNet—Dense卷积网络(图像分类)
专知
86+阅读 · 2018年11月26日
前沿 | CNN取代RNN?当序列建模不再需要循环网络
从LeNet-5到DenseNet
AI研习社
9+阅读 · 2017年11月18日
Self-Attention Graph Pooling
Arxiv
5+阅读 · 2019年4月17日
Arxiv
6+阅读 · 2019年4月8日
Universal Transformers
Arxiv
5+阅读 · 2019年3月5日
Neural Approaches to Conversational AI
Arxiv
8+阅读 · 2018年12月13日
Multi-task Deep Reinforcement Learning with PopArt
Arxiv
4+阅读 · 2018年9月12日
Arxiv
8+阅读 · 2018年1月25日
Arxiv
7+阅读 · 2018年1月24日
Arxiv
13+阅读 · 2017年12月5日
VIP会员
最新内容
人工智能在战场行动中的演进及伊朗案例
专知会员服务
2+阅读 · 今天13:08
美AI公司Anthropic推出网络安全模型“Mythos”
专知会员服务
2+阅读 · 今天12:58
【博士论文】面向城市环境的可解释计算机视觉
专知会员服务
0+阅读 · 今天12:57
大语言模型的自改进机制:技术综述与未来展望
专知会员服务
0+阅读 · 今天12:50
《第四代军事特种作战部队选拔与评估》
专知会员服务
1+阅读 · 今天6:23
相关资讯
一文读懂图卷积GCN
计算机视觉life
21+阅读 · 2019年12月21日
【论文笔记】自注意力图池化
专知
82+阅读 · 2019年11月18日
从三大顶会论文看百变Self-Attention
PaperWeekly
17+阅读 · 2019年11月11日
卷积神经网络四种卷积类型
炼数成金订阅号
18+阅读 · 2019年4月16日
自注意力机制在计算机视觉中的应用
GAN生成式对抗网络
19+阅读 · 2018年12月20日
综述:DenseNet—Dense卷积网络(图像分类)
专知
86+阅读 · 2018年11月26日
前沿 | CNN取代RNN?当序列建模不再需要循环网络
从LeNet-5到DenseNet
AI研习社
9+阅读 · 2017年11月18日
相关论文
Self-Attention Graph Pooling
Arxiv
5+阅读 · 2019年4月17日
Arxiv
6+阅读 · 2019年4月8日
Universal Transformers
Arxiv
5+阅读 · 2019年3月5日
Neural Approaches to Conversational AI
Arxiv
8+阅读 · 2018年12月13日
Multi-task Deep Reinforcement Learning with PopArt
Arxiv
4+阅读 · 2018年9月12日
Arxiv
8+阅读 · 2018年1月25日
Arxiv
7+阅读 · 2018年1月24日
Arxiv
13+阅读 · 2017年12月5日
Top
微信扫码咨询专知VIP会员