CycleGAN:图片风格,想换就换 | ICCV 2017论文解读

2018 年 3 月 14 日 PaperWeekly 罗浩




在碎片化阅读充斥眼球的时代,越来越少的人会去关注每篇论文背后的探索和思考。


在这个栏目里,你会快速 get 每篇精选论文的亮点和痛点,时刻紧跟 AI 前沿成果。


点击本文底部的「阅读原文」即刻加入社区,查看更多最新论文推荐。

这是 PaperDaily 的第 51 篇文章


本期推荐的论文笔记来自 PaperWeekly 社区用户 @LUOHAO本文提出的模型名为 CycleGAN,作者希望在不借助 paired example 情况下,来实现图片的风格转换。

如果你对本文工作感兴趣,点击底部的阅读原文即可查看原论文。

关于作者:罗浩,浙江大学博士研究生,研究方向为计算机视觉和深度学习,现为旷视科技(Face++)的 research intern。


■ 论文 | Unpaired Image-to-Image Translation using Cycle-Consistent Adversarial Networks

■ 链接 | https://www.paperweekly.site/papers/807

■ 源码 | https://junyanz.github.io/CycleGAN/


前言


CycleGAN 是发表于 ICCV17 的一篇 GAN 工作,可以让两个 domain 的图片互相转化。传统的 GAN 是单向生成,而 CycleGAN 是互相生成,网络是个环形,所以命名为 Cycle。


并且 CycleGAN 一个非常实用的地方就是输入的两张图片可以是任意的两张图片,也就是 unpaired。


单向GAN


读者可以按照原论文的顺序理解 CycleGAN,这里我按照自己的思路解读。CycleGAN 本质上是两个镜像对称的 GAN,构成了一个环形网络。其实只要理解了一半的单向 GAN 就等于理解了整个CycleGAN。



上图是一个单向 GAN 的示意图。我们希望能够把 domain A 的图片(命名为 a)转化为 domain B 的图片(命名为图片 b)。


为了实现这个过程,我们需要两个生成器 G_AB 和 G_BA,分别把 domain A 和 domain B 的图片进行互相转换。


图片 A 经过生成器 G_AB 表示为 Fake Image in domain B,用 G_AB(a) 表示。而 G_AB(a) 经过生辰器 G_BA 表示为图片 A 的重建图片,用 G_BA(G_AB(a)) 表示。


最后为了训练这个单向 GAN 需要两个 loss,分别是生成器的重建 loss 和判别器的判别 loss。


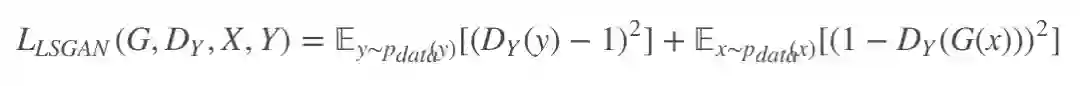
判别 loss:判别器 D_B 是用来判断输入的图片是否是真实的 domain B 图片,于是生成的假图片 G_AB(A) 和原始的真图片 B 都会输入到判别器里面,公示挺好理解的,就是一个 0,1 二分类的损失。最后的 loss 表示为:



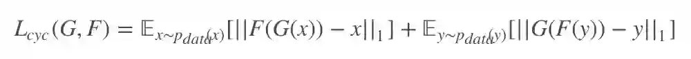
生成 loss:生成器用来重建图片 a,目的是希望生成的图片 G_BA(G_AB(a)) 和原图 a 尽可能的相似,那么可以很简单的采取 L1 loss 或者 L2 loss。最后生成 loss 就表示为:



以上就是 A→B 单向 GAN 的原理。


CycleGAN


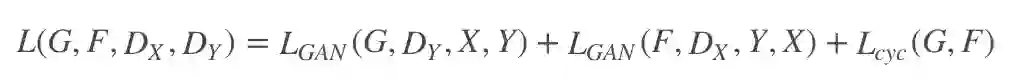
CycleGAN 其实就是一个 A→B 单向 GAN 加上一个 B→A 单向 GAN。两个 GAN 共享两个生成器,然后各自带一个判别器,所以加起来总共有两个判别器和两个生成器。一个单向 GAN 有两个 loss,而 CycleGAN 加起来总共有四个 loss。


CycleGAN 论文的原版原理图和公式如下,其实理解了单向 GAN 那么 CycleGAN 已经很好理解。 



X→Y 的判别器损失为,字母换了一下,和上面的单向 GAN 是一样的:



同理,Y→X 的判别器损失为:



而两个生成器的 loss 加起来表示为:



最终网络的所有损失加起来为:



论文里面提到判别器如果是对数损失训练不是很稳定,所以改成的均方误差损失,如下:



下面放一张网友们自制的 CycleGAN 示意图,比论文原版的更加直观。




效果展示


CycleGAN 的效果还是不错的,论文里给出了很多结果图,可以欣赏一下。




本文由 AI 学术社区 PaperWeekly 精选推荐,社区目前已覆盖自然语言处理、计算机视觉、人工智能、机器学习、数据挖掘和信息检索等研究方向,点击「阅读原文」即刻加入社区!


点击以下标题查看相关内容: 





#榜 单 公 布 #


2017年度最值得读的AI论文 | NLP篇 · 评选结果公布

2017年度最值得读的AI论文 | CV篇 · 评选结果公布



  我是彩蛋 


解锁新功能:热门职位推荐!


PaperWeekly小程序升级啦


今日arXiv√猜你喜欢√热门职位


找全职找实习都不是问题

 

 解锁方式 

1. 识别下方二维码打开小程序

2. 用PaperWeekly社区账号进行登陆

3. 登陆后即可解锁所有功能


 职位发布 

请添加小助手微信(pwbot01)进行咨询

 

长按识别二维码,使用小程序

*点击阅读原文即可注册



           

           


关于PaperWeekly


PaperWeekly 是一个推荐、解读、讨论、报道人工智能前沿论文成果的学术平台。如果你研究或从事 AI 领域,欢迎在公众号后台点击「交流群」,小助手将把你带入 PaperWeekly 的交流群里。


▽ 点击 | 阅读原文 | 查看原论文

登录查看更多
12

相关内容

CVPR 2020 最佳论文与最佳学生论文!
专知会员服务
36+阅读 · 2020年6月17日
【芝加哥大学】可变形的风格转移,Deformable Style Transfer
专知会员服务
31+阅读 · 2020年3月26日
【北京大学】CVPR 2020 | PQ-NET:序列化的三维形状生成网络
必读的10篇 CVPR 2019【生成对抗网络】相关论文和代码
专知会员服务
33+阅读 · 2020年1月10日
八篇 ICCV 2019 【图神经网络(GNN)+CV】相关论文
专知会员服务
30+阅读 · 2020年1月10日
生成式对抗网络GAN异常检测
专知会员服务
120+阅读 · 2019年10月13日
CMU论文解读:基于GAN和VAE的跨模态图像生成
PaperWeekly
9+阅读 · 2018年8月20日
干货 | CVPR 2018论文:「随心所欲」换装换姿态
AI科技评论
9+阅读 · 2018年7月2日
如何应用TFGAN快速实践生成对抗网络?
AI前线
5+阅读 · 2018年5月30日
Revisiting CycleGAN for semi-supervised segmentation
Arxiv
3+阅读 · 2019年8月30日
Arxiv
8+阅读 · 2018年5月1日
Arxiv
10+阅读 · 2018年2月17日
VIP会员
最新内容
AutoScientists:自组织智能体团队驱动长期科学实验
战略前沿人工智能的再思考(中文)
专知会员服务
3+阅读 · 今天14:53
《量化地基防空系统间接效应的博弈论方法》
专知会员服务
3+阅读 · 今天14:51
“史诗怒火行动”中美军损失的作战飞机
专知会员服务
2+阅读 · 今天14:38
ICML 2026 | 理解上下文持续学习中的泛化与遗忘
专知会员服务
5+阅读 · 5月28日
Agent Harness综述:大模型智能体执行器工程全景
专知会员服务
13+阅读 · 5月28日
《基于理论的威慑效能评估》
专知会员服务
8+阅读 · 5月28日
Top
微信扫码咨询专知VIP会员