BiGAN-QP:简单清晰的编码 & 生成模型

2018 年 12 月 11 日 PaperWeekly


作者丨苏剑林

单位丨广州火焰信息科技有限公司

研究方向丨NLP,神经网络

个人主页丨kexue.fm


前不久笔者通过直接在对偶空间中分析的思路,提出了一个称为 GAN-QP 的对抗模型框架,它的特点是可以从理论上证明既不会梯度消失,又不需要 L 约束,使得生成模型的搭建和训练都得到简化。


GAN-QP 是一个对抗框架,所以理论上原来所有的 GAN 任务都可以往上面试试。前面不用L约束又不会梯度消失的GAN,了解一下?一文中我们只尝试了标准的随机生成任务,而这篇文章中我们尝试既有生成器、又有编码器的情况:BiGAN-QP


BiGAN与BiGAN-QP


注意这是 BiGAN,不是前段时间很火的 BigGAN,BiGAN 是双向 GAN(Bidirectional GAN),提出于 Adversarial Feature Learning [1] 一文,同期还有一篇非常相似的文章叫做 Adversarially Learned Inference [2],提出了叫做 ALI 的模型,跟 BiGAN 差不多。


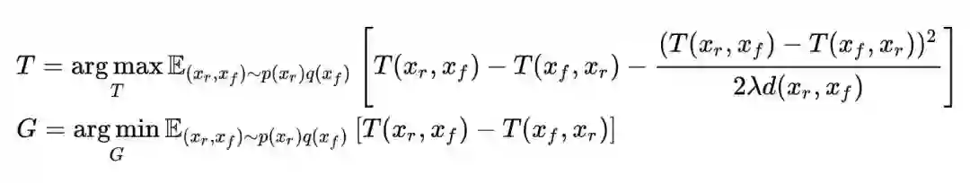
总的来说,它们都是往普通的 GAN 模型中加入了编码器,使得模型既能够具有普通 GAN 的随机生成功能,又具有编码器的功能,可以用来提取有效的特征。把 GAN-QP 这种对抗模式用到 BiGAN 中,就得到了 BiGAN-QP。 


话不多说,先来上效果图(左边是原图,右边是重构):


 BiGAN-QP重构效果图


这是将 256 x 256 x 3 的图片降维到 256 维度,然后再重构出来的。可以看到,整体的重构效果是不错的,没有普通自编码器的模糊感。有一些细节缺失,相比 IntroVAE [3] 是差了一点,不过这是模型架构和调参的问题了,并不是我擅长的。不管怎样,这个效果图应该可以表明 BiGAN-QP 是可以跑通的,而且效果还行。


本文内容已经更新到 GAN-QP 的原论文,读者可以长按识别下方二维码下载最新版本。




BiGAN-QP简明推导


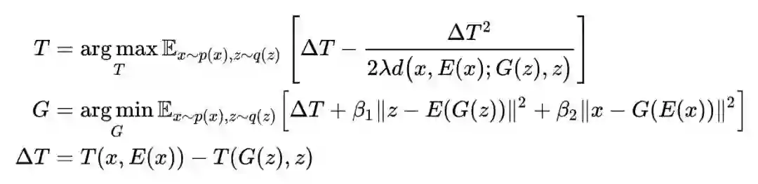
其实相比 GAN,BiGAN 的推导非常简单,只需要将原来的单输入 x 换成双输入 (x,z) 就行了。同样,有了 GAN-QP 基础的话,所谓 BiGAN-QP,也是非常简单的。具体来说,原来 GAN-QP 是这样的:



现在变成了:



理论上就这样行了,这就是 BiGAN-QP。但实际上这样很难学习到一个好的双向映射,因为这相当于从无数可能的映射中自动搜索出一个双向映射,比较困难。所以我们还需要一些“引导项”,我们用两个 mse 误差作为引导项:



其实生成器的三项 loss 都很直观,ΔT 是生成的图像更加真实,是希望能重构隐变量空间,是希望能重构显变量空间。后两项不能太大,尤其是最后一项,太大会导致图像的模糊。


其中这两个正则项可以看成是 G(z) 与 z 的互信息、x 与 E(x) 的互信息的一个上界,因此从信息的角度看,这两个正则项是希望 x,z 之间的互信息越大越好。相关的讨论可以参考 InfoGAN [4] 论文,这两个正则项代表着它也属于 InfoGAN 的特例。所以完整来说,这应该是一个 Bi-Info-GAN-QP。 


互信息项可以在一定程度上稳定 GAN 的训练过程,减少模型坍缩(mode collapse)的可能性,因为一旦模型坍缩,那么互信息就不会大了。换句话说,如果模型坍缩,那么重构就不大可能了,重构 loss 会很大。


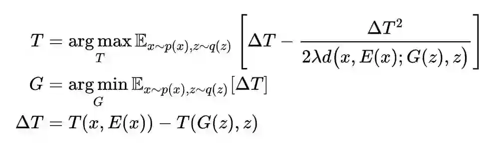
实验表明,再做一些小的调整,效果会更好。这个小的调整源于:两个 mse 项耦合起来还是过于强大了(loss 的具体值不一定大,但是梯度很大),导致模型还是有生成模糊图像的倾向,所以需要停止掉一半的梯度,变为:



Gng 和 Eng 指的是强行让这部分的梯度为 0,一般的框架都有这个算子,直接调用即可。这就是本文最终的 BiGAN-QP 模型。


代码与效果图


代码也已经补充到 Github 了:


https://github.com/bojone/gan-qp/tree/master/bigan-qp


再来一些效果图(左边是原图,右边是重构):


 BiGAN-QP重构效果图2


可以看到,重构并不模糊,而且很重要的一个特点是:因为是降维重构,模型并不是(也无法做到)学会了一个逐像素对应的一一映射,而是一个整体看上去差不多的清晰的重构结果。


比如我们看到第一行的第一张和最后一行的第二张,模型基本上把人重构出来了,但有趣的是眼镜,我们发现模型确实也重构了眼镜但是换了另外一个“款式”的眼镜。我们甚至可以认为,模型已经学到了“眼镜”这个概念,只不过是降维重构,隐变量的表达能力有限,所以尽管模型知道那是眼镜,但不能重构出一模一样的眼镜出来,就只好换一款常见的眼睛了。


这是普通的 VAE 所要求的“逐点一一对应重构”所无法实现的,“逐点一一对应重构”也是造成 VAE 模糊的主要原因了。如果要完全可逆重构,只有像 Glow 那样的可逆模型才有可能做到了。


另外,又有编码器又有生成器,我们就可以玩玩真实图片的隐变量插值了(左一、右一是真实图片,左二、右二是重构图片,其余是插值图):


 BiGAN-QP真实图片插值


还可以看看 BiGAN-QP 眼中的相似图片(算出所有真实图片的隐变量,然后用欧氏距离或者 cos 值算相似度,下图为欧氏距离的结果),第一行为输入,后两行为相似图片:


 BiGAN-QP眼中的相似


欢迎使用与分享


前面已经提到,GAN-QP 是一个理论完备的对抗框架,理论上所有的 GAN 任务都可以尝试一下。所以,如果读着您手头上正好有 GAN 任务,不妨尝试一下,然后你就可以去掉 L 约束,去掉谱归一化甚至去掉很多正则项,还不用担心梯度消失了。GAN-QP 就是笔者致力于去掉 GAN 各种超参数所得的结果。


如果你有新的基于 GAN-QP 的应用结果,欢迎在此分享。


参考文献


[1] Donahue, Jeff, Krähenbühl, Philipp, and Darrell, Trevor. Adversarial feature learning. In ICLR, 2017.

[2] Dumoulin, Vincent, Belghazi, Ishmael, Poole, Ben, Mastropietro, Olivier, Lamb, Alex, Arjovsky, Martin, and Courville, Aaron. Adversarially learned inference. In ICLR, 2017.

[3] H Huang, R He, Z Sun, T Tan. IntroVAE: Introspective Variational Autoencoders for Photographic Image Synthesis. Advances in Neural Information Processing Systems, 52-63.

[4] X Chen, Y Duan, R Houthooft, J Schulman, I Sutskever, P Abbeel. InfoGAN: Interpretable Representation Learning by Information Maximizing Generative Adversarial Nets. In NIPS 2016.




点击以下标题查看作者其他文章: 





#投 稿 通 道#

 让你的论文被更多人看到 



如何才能让更多的优质内容以更短路径到达读者群体,缩短读者寻找优质内容的成本呢? 答案就是:你不认识的人。


总有一些你不认识的人,知道你想知道的东西。PaperWeekly 或许可以成为一座桥梁,促使不同背景、不同方向的学者和学术灵感相互碰撞,迸发出更多的可能性。 


PaperWeekly 鼓励高校实验室或个人,在我们的平台上分享各类优质内容,可以是最新论文解读,也可以是学习心得技术干货。我们的目的只有一个,让知识真正流动起来。


📝 来稿标准:

• 稿件确系个人原创作品,来稿需注明作者个人信息(姓名+学校/工作单位+学历/职位+研究方向) 

• 如果文章并非首发,请在投稿时提醒并附上所有已发布链接 

• PaperWeekly 默认每篇文章都是首发,均会添加“原创”标志


📬 投稿邮箱:

• 投稿邮箱:[email protected] 

• 所有文章配图,请单独在附件中发送 

• 请留下即时联系方式(微信或手机),以便我们在编辑发布时和作者沟通




🔍


现在,在「知乎」也能找到我们了

进入知乎首页搜索「PaperWeekly」

点击「关注」订阅我们的专栏吧



关于PaperWeekly


PaperWeekly 是一个推荐、解读、讨论、报道人工智能前沿论文成果的学术平台。如果你研究或从事 AI 领域,欢迎在公众号后台点击「交流群」,小助手将把你带入 PaperWeekly 的交流群里。


▽ 点击 | 阅读原文 | 查看作者博客

登录查看更多
0

相关内容

GAN:生成性对抗网,深度学习模型的一种,在神经网络模型中引入竞争机制,非常流行。
【CVPR2020】MSG-GAN:用于稳定图像合成的多尺度梯度GAN
专知会员服务
29+阅读 · 2020年4月6日
自动结构变分推理,Automatic structured variational inference
专知会员服务
41+阅读 · 2020年2月10日
必读的10篇 CVPR 2019【生成对抗网络】相关论文和代码
专知会员服务
33+阅读 · 2020年1月10日
GAN新书《生成式深度学习》,Generative Deep Learning,379页pdf
专知会员服务
208+阅读 · 2019年9月30日
BigBiGAN的前世今生,走向成熟的特征抽取器
机器之心
3+阅读 · 2019年7月24日
从动力学角度看优化算法:GAN的第三个阶段
PaperWeekly
11+阅读 · 2019年5月13日
从DCGAN到SELF-MOD:GAN的模型架构发展一览
PaperWeekly
4+阅读 · 2019年4月22日
【GAN货】用神经网络生成音乐
专知
13+阅读 · 2018年9月15日
在TensorFlow中对比两大生成模型:VAE与GAN
机器之心
12+阅读 · 2017年10月23日
GAN完整理论推导、证明与实现(附代码)
数据派THU
5+阅读 · 2017年10月6日
GAN猫的脸
机械鸡
11+阅读 · 2017年7月8日
Bivariate Beta LSTM
Arxiv
6+阅读 · 2019年10月7日
Arxiv
7+阅读 · 2018年3月12日
VIP会员
最新内容
美陆军设想无人系统司令部
专知会员服务
0+阅读 · 今天13:45
【博士论文】已对齐人工智能系统的持久脆弱性
专知会员服务
0+阅读 · 今天13:52
扭曲还是编造?视频大语言模型幻觉研究综述
专知会员服务
0+阅读 · 今天13:41
《采用系统思维应对混合战争》125页
专知会员服务
2+阅读 · 今天12:47
战争机器学习:数据生态系统构建(155页)
专知会员服务
6+阅读 · 今天8:10
内省扩散语言模型
专知会员服务
5+阅读 · 4月14日
国外反无人机系统与技术动态
专知会员服务
4+阅读 · 4月14日
相关资讯
BigBiGAN的前世今生,走向成熟的特征抽取器
机器之心
3+阅读 · 2019年7月24日
从动力学角度看优化算法:GAN的第三个阶段
PaperWeekly
11+阅读 · 2019年5月13日
从DCGAN到SELF-MOD:GAN的模型架构发展一览
PaperWeekly
4+阅读 · 2019年4月22日
【GAN货】用神经网络生成音乐
专知
13+阅读 · 2018年9月15日
在TensorFlow中对比两大生成模型:VAE与GAN
机器之心
12+阅读 · 2017年10月23日
GAN完整理论推导、证明与实现(附代码)
数据派THU
5+阅读 · 2017年10月6日
GAN猫的脸
机械鸡
11+阅读 · 2017年7月8日
Top
微信扫码咨询专知VIP会员