ECCV2020 商汤提出语义分割模型新范式

2020 年 8 月 13 日 学术头条


【导读】在ECCV 2020 上,商汤自动驾驶团队提出了一种新型基于解耦优化思路的语义分割模型。现有的语义分割方法要么通过对全局上下文信息建模来提高目标对象的内部一致性,要么通过多尺度特征融合来对目标对象的边界细节进行优化。我们提出了一种新的语义分割方法,本文认为性能强的语义分割方法需要明确地建模目标对象的主体(body)和边缘(edge),这对应于图像的高频和低频信息。为此,本文首先通过warp图像特征来学习 flow field 使目标对象主体部分更加一致。在解耦监督下,通过对不同部分(主体或边缘)像素进行显式采样,进一步优化产生的主体特征和残余边缘特征。我们的实验表明,所提出的具有各种基准或主干网络的框架可有更好的目标对象内部一致性和边缘部分。我们提出的方法在包括 Cityscapes、CamVid、KITTI 和 BDD 在内的四个主要道路场景语义分割数据集上实现了 SOTA 的结果,同时保持了较高的推理效率。我们的方法仅使用精细标注的数据就可以在 Cityscapes 数据集上达到 83.7 mIoU。

挑战和动机


图1全局上下文信息建模

图2 较底层信息融合


目前现有的语义分割模型主要面临的挑战主要分为两个部分:第一是建模物体内部语义信息的一致性,第二个是如何尽可能保留细节信息,提升边缘分割的效果。针对第一个问题,目前主流的方法都是去建模更好的上下文信息。比如图 1 中的 PSPnet,Deeplab 系列,还有近期比较火的基于 non-local 模型的一些网络 CCnet 和 EMAnet,以及近期使用 Graph Convolution Network 建模上下文的 DGMNet。针对第二个问题,现有的一些解决方案是把较低层特征经过融合的方式来提升小物体和边缘的分割效果。比如 Gated-SCNN 和 GFFnet。

 图3 动机示意图


那么我们在思考是否有一种统一的方法来同时做到这两件事情。在传统的图像处理方式中,一张自然图片可以被分解成高低频率项,其中低频项中包括粗糙的模糊化的信息,而高频项中包含更多细节信息,比如边缘。我们进一步对分割的监督 mask 进行如此操作,可以观察到相同的现象,边缘信息可以通过对把原始的主体部分减去得到,并且更加明显。在理想情况下,我们的分割特征应该接近输出的监督 mask。因此,我们提出了一些通过解耦语义分割特征的方法来提升语义分割的效果。我们的方法大体分为三步,第一步是生成主体特征部分,这里我们提出了学习流场来插值生成主体部分的模型,第二步是得到边缘的特征,这里我们采用减法操作得到锐化的边缘特征,第三步,我们针对上述的两个特征进行优化,前者使用边缘松弛优化,后者使用边缘的监督,再把优化后的特征进行相加得到最终的特征表示。

方法介绍


这里我们给出详细的方法介绍。图 2 展示了整个网络架构,我们的最好的模型是基于最新模型 Deeplabv3 +。在这里,仅将带空洞卷积的 ResNet 用作主干网络。这里我们所提出的模块被插入到 ASPP 模块之后。解耦损失函数分别附加在解耦模块的末尾。

图4方法示意图


1,解耦的语义分割框架
 
给定一个特征图 H×W×C,其中 C 表示通道尺寸,H×W 表示空间分辨率,所提出的模块输出具有相同大小的细化特征图。特征图可以分解为 body 主体部分和 edge 边缘部分。在本文中,假设它们满足加法规则,这意味着特征图 F:F = F_body + F_edge。本文模型目标是设计具有特定监督权的组件,分别处理每个部分。因此,首先通过执行 body 部分,然后通过显式减法获得边缘部分。主体生成模块旨在聚集对象内部的上下文信息并为每个对象形成清晰的主体对象。边缘保留模块用来保留更多的边缘信息,学习到更好的边缘特征。这两个模块采用不同的损失函数进行监督训练。
 
2,主体生成模块
 
主体生成模块负责为同一对象内的像素生成更一致的特征表示。因为物体内部的像素彼此相似,而沿边界的像素则显示出差异,因此可以显式地学习主体和边缘特征表示,为此,我们采用学习流场的方式(flow field),并使用 flow field 对原始特征图进行 warp 以获得显式的主体特征表示。该模块包含两个部分:flow field 生成和特征差值。
 
2.1,Flow field generation 流场生成
 
为了生成主要指向对象内部的流场,突出对象中心部分的特征作为显性引导是一种合理的方法。一般来说,低分辨率的特征图(或粗表示)往往包含低频项。低空间频率项捕捉了图像的总和,低分辨率特征图代表了最突出的部分,在这里我们将其视为伪中心位置或种子点的集合。如图 4(a)所示,我们采用了编码器-解码器的设计,编码器将特征图下采样为低分辨率表示,并有较低的空间频率部分,这里我们采用三次连续的 3×3 深度卷积来实现。对于 flow field 的生成,与 FlowNet-S 中做法一样。我们首先将低频特征图上采样插值到与原始特征图相同的大小,然后将它们连在一起,并应用 3×3 卷积层来预测流场。由于我们得模型都是基于带孔型的主干网络,因此这里 3×3 的卷积核足够大,在大多数情况下可以获取到像素之间的长距离依赖关系。

2.2,Feature warping 特征差值
 
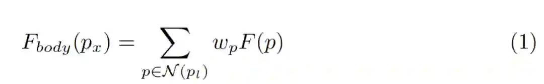
我们使用可微分的双线性采样机制进行插值生成主体部分的每个点, 其过程如下面公式所示:



其中,从 flow 特征图 δ 计算出的 wp 代表了扭曲空间网格上的双线性核权重。N 代表所涉及的相邻像素。经过特征差值后,我们得到了主体部分的特征表示。
 
3,Edge preservation module边缘保留模块


边缘保留模块旨在处理高频项。它还包括两个步骤:1)从原始特征图F中减去主体特征图;2)添加更精细的细节信息的低级特征作为补充。首先,从原始输入特征图F中减去主体特征,添加了额外的低级特征输入,以补充缺少的细节信息,以增强主体特征中的高频项。最后,将两者连接起来,并采用 1×1 卷积层进行融合。该模块可以用下面等式表示,其中 γ 是卷积层并且表示级联运算。
 
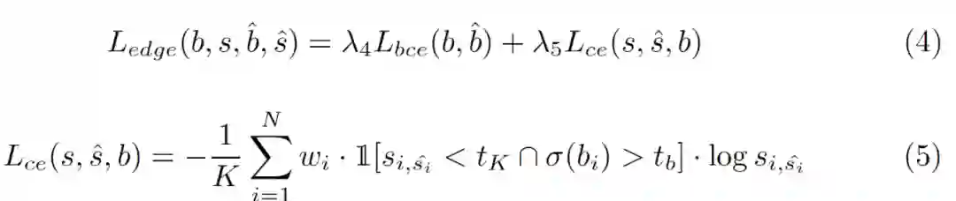
4,Decoupled body and edge supervision解耦的损失函数



针对主体部分,我们采用边缘松弛的损失函数,即我们忽略掉边缘部分的像素,只优化主体部分(公式 3 的第一项)。针对边缘部分,我们首先用边缘保留模块的特征去预测边缘的二值 mask,其次通过这个预测的 mask 我们采用困难样本挖掘的策略在最后特征预测的结果上进行进行 loss 的计算(公式 4-5)。最后我们用优化后的主体和边缘特征相加后的特征进行最后的特征表示。
 

实验部分



我们首先进行了对于我们提出的模型各个组件 ablation study。Tab1(a)证明我们在 FCN 不同 backbone 的 baseline 上的有效性。Tab1(b)显示出了我们提出的 Decoupled Supervision 的有效性。Tab1(c)证明了我们提出的使用流场进行插值的策略的有效性以及降采样的有效性。Tab1(d)我们对比了现有的一些其他方法,证明了我们方法取得了更好的结果,比如采用 DCN(deformable convolution)来生成主体特征的策略。

Tab3和Tab5显示了我们方法在多个道路场景的数据集上取得很好的效果(Cityscapes,CamVid,BDD,KITTI)。


Fig3 中展示了我们分割结果的在边缘的评测指标中也比之前最好的 G-SCNN 的结果要好。Fig5 展示了我们学习到解耦的特征表示,Fig6 给出了学习到的流场的可视化图像,其中可以看到对于 FCN 的结构,流场是指向物体的内部,对于目前的 state-of-the-art 的 deeplabv3+ 模型,流场是均匀地分布在边缘点上,原因是大部分内部区域 deeplabv3+ 已经很一致了。


结论


在这项研究中,我们提出一个新颖的语义分割框架。我们通过把语义分割的特征进行解耦操作,进而让每个部分单独由不同的监督信号进行监督,因此我们实现同时提升分割物体的内部一致性和边缘部分。并且我们的模块十分轻量级,可以做到即插即用,可以用于优化任何基于 FCN 的语义分割模型。我们的方法在 4 个主流的道路场景的语义分割数据集上面取得领先的效果。

想要了解更多学术进展、前沿科技资讯,参与学术头条每日话题讨论,可以扫描二维码或搜索AMiner308添加学术君微信,对学术君说: “我想进读者群”, 即可进入读者群,不定期发福利~

点击 阅读原文 ,查看更多精彩!
喜欢本篇内容,请 分享、点赞、在看
登录查看更多
0

相关内容

语义分割,在机器学习上,多指对一段文本或者一张图片,提取其中有意义的部分,我们将这些有意义的部分称为语义单元,将这些语义单元提取出来的过程,称为语义分割。
【ECCV2020-华为】车道线架构搜索框架
专知会员服务
23+阅读 · 2020年9月23日
专知会员服务
13+阅读 · 2020年9月19日
【ECCV2020】EfficientFCN:语义分割中的整体引导解码器
专知会员服务
18+阅读 · 2020年8月23日
【ACMMM2020】零样本语义分割的上下文感知特征生成
专知会员服务
16+阅读 · 2020年8月21日
【KDD2020】自适应多通道图卷积神经网络
专知会员服务
121+阅读 · 2020年7月9日
【CVPR 2020-商汤】8比特数值也能训练卷积神经网络模型
专知会员服务
26+阅读 · 2020年5月7日
CVPR2020 | 商汤-港中文等提出PV-RCNN:3D目标检测新网络
专知会员服务
45+阅读 · 2020年4月17日
PSPNet ——语义分割及场景分析
AI科技评论
20+阅读 · 2019年8月20日
综述 | 语义分割经典网络及轻量化模型盘点
计算机视觉life
54+阅读 · 2019年7月23日
DL | 语义分割综述
机器学习算法与Python学习
58+阅读 · 2019年3月13日
让机器“一叶知秋”:弱监督视觉语义分割
深度学习大讲堂
6+阅读 · 2018年5月24日
Arxiv
0+阅读 · 2020年10月13日
TResNet: High Performance GPU-Dedicated Architecture
Arxiv
8+阅读 · 2020年3月30日
AdarGCN: Adaptive Aggregation GCN for Few-Shot Learning
VrR-VG: Refocusing Visually-Relevant Relationships
Arxiv
6+阅读 · 2019年8月26日
UPSNet: A Unified Panoptic Segmentation Network
Arxiv
4+阅读 · 2019年1月12日
Two Stream 3D Semantic Scene Completion
Arxiv
4+阅读 · 2018年7月16日
VIP会员
最新内容
人工智能在战场行动中的演进及伊朗案例
专知会员服务
4+阅读 · 4月18日
美AI公司Anthropic推出网络安全模型“Mythos”
专知会员服务
2+阅读 · 4月18日
【博士论文】面向城市环境的可解释计算机视觉
大语言模型的自改进机制:技术综述与未来展望
《第四代军事特种作战部队选拔与评估》
专知会员服务
1+阅读 · 4月18日
相关VIP内容
【ECCV2020-华为】车道线架构搜索框架
专知会员服务
23+阅读 · 2020年9月23日
专知会员服务
13+阅读 · 2020年9月19日
【ECCV2020】EfficientFCN:语义分割中的整体引导解码器
专知会员服务
18+阅读 · 2020年8月23日
【ACMMM2020】零样本语义分割的上下文感知特征生成
专知会员服务
16+阅读 · 2020年8月21日
【KDD2020】自适应多通道图卷积神经网络
专知会员服务
121+阅读 · 2020年7月9日
【CVPR 2020-商汤】8比特数值也能训练卷积神经网络模型
专知会员服务
26+阅读 · 2020年5月7日
CVPR2020 | 商汤-港中文等提出PV-RCNN:3D目标检测新网络
专知会员服务
45+阅读 · 2020年4月17日
相关资讯
PSPNet ——语义分割及场景分析
AI科技评论
20+阅读 · 2019年8月20日
综述 | 语义分割经典网络及轻量化模型盘点
计算机视觉life
54+阅读 · 2019年7月23日
DL | 语义分割综述
机器学习算法与Python学习
58+阅读 · 2019年3月13日
让机器“一叶知秋”:弱监督视觉语义分割
深度学习大讲堂
6+阅读 · 2018年5月24日
Top
微信扫码咨询专知VIP会员