如何利用深度学习识别千万张图片?

2017 年 12 月 30 日 InfoQ

首先我们来谈一下什么是卷积神经网络,相信在深度学习中这是最重要的概念,首先你可以把卷积想象成一种混合信息的手段。想象一下装满信息的两个桶,我们把它们倒入一个桶中并且通过某种规则搅拌搅拌。也就是说卷积是一种混合两种信息的流程。

卷积神经网络是一个多层的神经网络,每层由多个二维平面组成,而每个平面由多个独立神经元组成。如下图所示,当我们在图像上应用卷积时,我们在两个维度上执行卷积——水平和竖直方向。我们混合两桶信息:第一桶是输入的图像,由三个矩阵构成—— RGB 三通道,其中每个元素都是 0 到 255 之间的一个整数。第二个桶是卷积核(kernel),单个浮点数矩阵。可以将卷积核的大小和模式想象成一个搅拌图像的方法。卷积核的输出是一幅修改后的图像,在深度学习中经常被称作 feature map。对每个颜色通道都有一个 feature map。

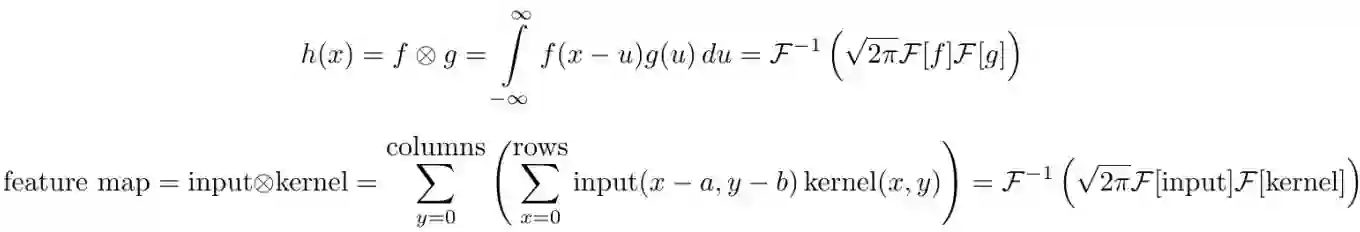
谈到这里,就不得不说一下卷积定理,它将时域和空域上的复杂卷积对应到了频域中的元素间简单的乘积。这个定理可以说是及其强悍,在包括图像处理等许多科学领域中得到了广泛应用。

什么,你说上面的公式你看不懂,那么小编在此解释以下,第一个等式是一维连续域上两个连续函数的卷积;第二个等式是二维离散域(图像)上的卷积。这里的“离散”指的是数据由有限个变量构成(像素);一维指的是数据是一维的(时间),图像则是二维的,视频则是三维的。当然在实际工作中,我们根部不需要理解上面的公式是什么意思,毕竟没有什么问题是调包解决不了的,如果有那就再调一次包(手动滑稽)。

在图像识别问题中,输入层的每一个神经元可能代表一个像素的灰度值。但这种神经网络用于图像识别有几个问题,一是没有考虑图像的空间结构,识别性能会受到限制;二是每相邻两层的神经元都是全相连,参数太多,训练速度受到限制。而卷积神经网络就可以解决这些问题。卷积神经网络使用了针对图像识别的特殊结构,可以快速训练。因为速度快,使得采用多层神经网络变得容易,而多层结构在识别准确率上又很大优势。

还有一个问题等待我们解决,就是卷积神经网络(CNN)如何提高图片的识别精度呢?问题的关键在要在以上的基础上再加上池化层和卷积层。和一个额外全连接层的结构,其实我们可以这么理解,卷积层和池化层学习输入图像中的局部空间结构,而后面的全连接层的作用是在一个更加抽象的层次上学习,包含了整个图像中的更多的全局的信息。

以上,基本就是卷积神经网络在图像处理中的应用,我们可以看到在用 CNN 处理图片中,涉及很多知识点和工具。图像处理这个领域学习成本相对较高,如果一个新人没人人引领入门往往不得其门而入,这样会浪费大量的时间,为此,AICon 全球人工智能与机器学习技术大会特意邀请到了旷世 face++ 科技的高级研究员熊鹏飞老师,为大家深入浅出的讲解深度学习在图像处理中的应用。感兴趣的小伙伴们扫描下面图片中的二维码了解详细情况。

其他分享

知识图谱技术实践

邵蓥侠  明略数据 SCOPA 技术顾问

深度学习在 CTR 预估中的应用

张俊林  新浪微博 AI Lab 资深算法专家

8 折减 200

AICon 全球人工智能与机器学习技术大会深度培训 8 折倒计时,现在添加小助手微信立减 200 元,仅有 10 个名额,先到先得!小助手微信:chenxi988625  点击【阅读原文】了解更多信息。


登录查看更多
4

相关内容

在数学(特别是功能分析)中,卷积是对两个函数(f和g)的数学运算,产生三个函数,表示第一个函数的形状如何被另一个函数修改。 卷积一词既指结果函数,又指计算结果的过程。 它定义为两个函数的乘积在一个函数反转和移位后的积分。 并针对所有shift值评估积分,从而生成卷积函数。
【CVPR 2020-商汤】8比特数值也能训练卷积神经网络模型
专知会员服务
26+阅读 · 2020年5月7日
卷积神经网络的概述论文:分析、应用和展望,21页pdf
专知会员服务
91+阅读 · 2020年4月7日
【CVPR2020-百度】用于视觉识别的门控信道变换
专知会员服务
13+阅读 · 2020年3月30日
机器学习速查手册,135页pdf
专知会员服务
345+阅读 · 2020年3月15日
深度学习算法与架构回顾
专知会员服务
84+阅读 · 2019年10月20日
周志华教授:如何做研究与写论文?
专知会员服务
161+阅读 · 2019年10月9日
网络宽度对深度学习模型性能有什么影响?
极市平台
15+阅读 · 2019年7月7日
原来CNN是这样提取图像特征的。。。
计算机视觉life
8+阅读 · 2018年11月23日
深度学习面试100题(第71-75题)
七月在线实验室
6+阅读 · 2018年8月2日
Python 如何快速入门?
大数据技术
11+阅读 · 2018年4月9日
深度学习、图像识别入门,从VGG16卷积神经网络开始
数据挖掘入门与实战
8+阅读 · 2018年3月28日
深度学习(可视化部分)-使用keras识别猫咪
北京思腾合力科技有限公司
10+阅读 · 2017年11月30日
CapsNet入门系列之二:胶囊如何工作
论智
11+阅读 · 2017年11月22日
干货 | 深度学习之卷积神经网络(CNN)的模型结构
机器学习算法与Python学习
12+阅读 · 2017年11月1日
卷积神经网络(CNN)学习笔记1:基础入门
黑龙江大学自然语言处理实验室
14+阅读 · 2016年6月16日
已删除
Arxiv
33+阅读 · 2020年3月23日
Local Relation Networks for Image Recognition
Arxiv
4+阅读 · 2019年4月25日
ViZDoom Competitions: Playing Doom from Pixels
Arxiv
5+阅读 · 2018年9月10日
Arxiv
11+阅读 · 2018年5月13日
VIP会员
最新内容
内省扩散语言模型
专知会员服务
1+阅读 · 今天14:42
国外反无人机系统与技术动态
专知会员服务
2+阅读 · 今天12:48
大规模作战行动中的战术作战评估(研究论文)
专知会员服务
3+阅读 · 今天12:21
未来的海战无人自主系统
专知会员服务
2+阅读 · 今天12:05
美军多域作战现状分析:战略、概念还是幻想?
专知会员服务
4+阅读 · 今天11:52
无人机与反无人机系统(书籍)
专知会员服务
16+阅读 · 今天6:45
美陆军2026条令:安全与机动支援
专知会员服务
6+阅读 · 今天5:49
相关VIP内容
【CVPR 2020-商汤】8比特数值也能训练卷积神经网络模型
专知会员服务
26+阅读 · 2020年5月7日
卷积神经网络的概述论文:分析、应用和展望,21页pdf
专知会员服务
91+阅读 · 2020年4月7日
【CVPR2020-百度】用于视觉识别的门控信道变换
专知会员服务
13+阅读 · 2020年3月30日
机器学习速查手册,135页pdf
专知会员服务
345+阅读 · 2020年3月15日
深度学习算法与架构回顾
专知会员服务
84+阅读 · 2019年10月20日
周志华教授:如何做研究与写论文?
专知会员服务
161+阅读 · 2019年10月9日
相关资讯
网络宽度对深度学习模型性能有什么影响?
极市平台
15+阅读 · 2019年7月7日
原来CNN是这样提取图像特征的。。。
计算机视觉life
8+阅读 · 2018年11月23日
深度学习面试100题(第71-75题)
七月在线实验室
6+阅读 · 2018年8月2日
Python 如何快速入门?
大数据技术
11+阅读 · 2018年4月9日
深度学习、图像识别入门,从VGG16卷积神经网络开始
数据挖掘入门与实战
8+阅读 · 2018年3月28日
深度学习(可视化部分)-使用keras识别猫咪
北京思腾合力科技有限公司
10+阅读 · 2017年11月30日
CapsNet入门系列之二:胶囊如何工作
论智
11+阅读 · 2017年11月22日
干货 | 深度学习之卷积神经网络(CNN)的模型结构
机器学习算法与Python学习
12+阅读 · 2017年11月1日
卷积神经网络(CNN)学习笔记1:基础入门
黑龙江大学自然语言处理实验室
14+阅读 · 2016年6月16日
相关论文
已删除
Arxiv
33+阅读 · 2020年3月23日
Local Relation Networks for Image Recognition
Arxiv
4+阅读 · 2019年4月25日
ViZDoom Competitions: Playing Doom from Pixels
Arxiv
5+阅读 · 2018年9月10日
Arxiv
11+阅读 · 2018年5月13日
Top
微信扫码咨询专知VIP会员