进展 | 高压制备大线性磁电效应与磁场诱导铁磁-铁电性材料

2019 年 10 月 3 日 中科院物理所

线性磁电效应是指磁场(H)感生电极化(P)或电场(E)感生磁化的现象,感生的电极化与磁化强度可用公式P = αH 或M = αE来表示,其中α定义为线性磁电系数。由于磁场可调控电极化以及电场可调控磁性质,线性磁电效应材料作为一种重要的磁电耦合多功能材料获得了广泛研究。


在实际应用中,人们期望材料在较为宽广的温度或磁场范围内具有大的线性磁电系数α。然而,自从1960年在Cr2O3中首次发现线性磁电效应以来,线性磁电材料α的大小往往在20-30ps/m以内。在一些自旋诱导电极化的多铁性材料中,虽然其α系数的最高值可提高几个量级,但最大值仅发生在磁电相变温度附件,偏离相变临界温度时急剧下降至可忽略量级。如何在较宽的温度/磁场范围内进一步提升材料的线性磁电效应是极具挑战的难题。


近期,中国科学院物理研究所/北京凝聚态物理国家研究中心极端条件物理重点实验室EX6组龙有文研究员团队在高压制备的白钨矿型氧化物DyCrO4中,率先发现了高达50ps/m的线性磁电效应,并且该效应在较大的磁场范围内(-3到3T)保持恒定;更有意思的是,较高磁场可诱导变磁转变,产生大的净磁矩与自发电极化,罕见地实现铁磁-铁电多铁性。


常压下烧结的DyCrO4结晶为四方锆石型结构,空间群为I41/amd,具有长程铁磁有序,但其磁结构不支持线性磁电效应。当锆石型DyCrO4在700-750 K温度条件下经过6-8GPa的高压处理后,会转变为另一种四方结构,即具有I41/a空间群的白钨矿相。该结构相变导致10%左右的体积坍缩,属于一级不可逆相变。磁化率与中子衍射表明高压白钨矿DyCrO4具有长程反铁磁有序,且Dy3+与Cr5+离子同时参与反铁磁相互作用,磁矩沿着晶格b轴形成共线型反铁磁排列,相应的磁点群为2'/m。磁对称性分析揭示该磁点群具有非零的磁电张量,因而可导致线性磁电效应的产生。

实验上,当在零磁场测试介电常数和铁电极化时,探测不到这些物理量的反常改变。然而,一旦引入磁场后,可观察到尖锐的介电峰,同时伴随铁电极化的出现,且电极化的大小与所加磁场强度成正比关系,表明磁场可感生电极化,证实白钨矿DyCrO4的线性磁电效应。在固定温度下测试电极化随磁场变化关系时,可明显观察到P与H的线性关系,相应的线性磁电系数可高达50ps/m,且在-3到3T磁场范围内保持恒定。另一方面,当去掉磁场改用外加电场作为激励时,可观察到电场诱导磁化强度的改变,且诱导的磁化强度与所加电场保持正比关系,从而实现逆线性磁电效应。


此外,较高磁场可诱导白钨矿DyCrO4的变磁转变(临界磁场约为3.1T),使其原本共线排列的反铁磁结构发生偏转,导致大净磁矩(7μ/f.u.)的产生,使材料呈现铁磁性质。磁场依赖的中子衍射表明,4.3T时铁磁成分占比接近65%。在临界磁场以上,新的磁结构要么由Dy3+离子沿外加磁场方向的倾斜所导致,要么由Dy3+Cr5+这两种磁性离子的共同倾斜导致。然而,不管是哪种类型的倾斜,都将把磁点群由低场时的2'/m转变为高场时的m。显然,新的磁点群是一个极化磁点群,可以打破空间反演对称性,允许自发铁电极化的产生。因而,DyCrO4在较高磁场下不仅展示了具有大净磁矩的铁磁行为,同时也具有自发电极化,在单相材料中罕见地实现了铁磁-铁电多铁性。


相关研究结果发表在近期的NPG Asia Materials上(11,50,2019),并且被编辑部选为Featured Article,以“磁电效应:罕见结构为器件控制提供契机,Magnetoelectric effect: Rare structure offers options for device control”为题进行重点推荐。该工作获得了重庆大学物理系柴一晟教授与物理所孙阳研究员的密切合作;中子衍射实验与美国橡树岭国家实验室Yan Wu、Huibo Cao、Clarina Dela Cruz等博士合作完成;西班牙马德里材料研究所的J. S. Alonso教授与卡洛斯三世大学的A.Munoz教授协助分析了磁结构。该工作获得了科技部(2018YFE0103200,2018YFA0305700)、国家自然科学基金委(11574378,51772324,11674384)、中国科学院(YZ201555,QYZDB-SSW-SLH013,GJHZ1773)等的支持。

文章链接:
https://www.nature.com/articles/s41427-019-0151-9



图1:本工作被选为Featured Article进行重点推荐。


图2:白钨矿DyCrO4基态磁结构、磁化率、固定磁场下的介电常数与电极化。



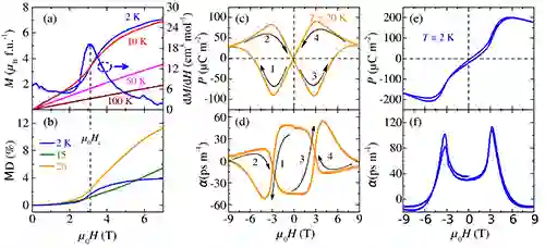
图3:白钨矿DyCrO4磁场依赖的磁化强度、磁介电效应、电极化及线性磁电系数。


图4:白钨矿DyCrO4不同磁场下的中子衍射谱与高场下可能的磁结构。


图5:白钨矿DyCrO4温度与磁场依赖的相图。


编辑:zyi


近期热门文章Top10

↓ 点击标题即可查看 ↓

1.  猫趴在地上可以有多扁,看到最后快被萌死了
2.  研究完《长安十二时辰》的望楼系统,我魔怔了
3.  最美的公式:你也能懂的麦克斯韦方程组
4.  世纪未解之谜:自行车是怎么保持平衡的?
5.  如果地球“叮”的一下不转了,世界会变成什么样子?
6.  古装剧里鲜艳的衣服科学吗?他用30年证明我们错怪导演了
7.  真人版杀人游戏:50人仅1人生还 | 死亡,是人性的终极拷问
8.  时间从未流逝?物理学家:“过去”与“未来”可能只是错觉
9.  地球其实是外星人的鱼缸?不信你看这些海洋生物的长相
10.  据说,这是每一个科研狗的真实经历……

点此查看以往全部热门文章


登录查看更多
0

相关内容

最新《多任务学习》综述,39页pdf
专知会员服务
266+阅读 · 2020年7月10日
专知会员服务
29+阅读 · 2020年3月6日
【学科交叉】抗生素发现的深度学习方法
专知会员服务
25+阅读 · 2020年2月23日
《科学》(20190426出版)一周论文导读
科学网
5+阅读 · 2019年4月27日
【材料课堂】TEM复杂电子衍射花样的标定原理
材料科学与工程
39+阅读 · 2019年4月12日
《科学》(20181012出版)一周论文导读
科学网
4+阅读 · 2018年10月14日
Physical Primitive Decomposition
Arxiv
4+阅读 · 2018年9月13日
Arxiv
5+阅读 · 2018年4月13日
Arxiv
7+阅读 · 2018年3月22日
Arxiv
3+阅读 · 2018年2月20日
VIP会员
最新内容
最新“指挥控制”领域出版物合集(16份)
专知会员服务
7+阅读 · 4月12日
面向军事作战需求开发的人工智能(RAIMOND)
专知会员服务
14+阅读 · 4月12日
远程空中优势:新一代超视距导弹的兴起
专知会员服务
2+阅读 · 4月12日
大语言模型溯因推理的统一分类学与综述
专知会员服务
3+阅读 · 4月12日
Top
微信扫码咨询专知VIP会员