EAE:自编码器 + BN + 最大熵 = 生成模型

2020 年 4 月 26 日 PaperWeekly


©PaperWeekly 原创 · 作者|苏剑林

单位|追一科技

研究方向|NLP、神经网络


生成模型一直是笔者比较关注的主题,不管是 NLP 和 CV 的生成模型都是如此。

这篇文章里,我们介绍一个新颖的生成模型,来自论文 Batch norm with entropic regularization turns deterministic autoencoders into generative models [1],论文中称之为 EAE(Entropic AutoEncoder)。

它要做的事情给变分自编码器(VAE)基本一致,最终效果其实也差不多(略优),说它新颖并不是它生成效果有多好,而是思路上的新奇,颇有别致感。

此外,借着这个机会,我们还将学习一种统计量的估计方法—— k 邻近方法,这是一种很有用的非参数估计方法。


自编码器vs生成模型

普通的自编码器是一个“编码-解码”的重构过程,如下图所示:
▲ 典型自编码器示意图

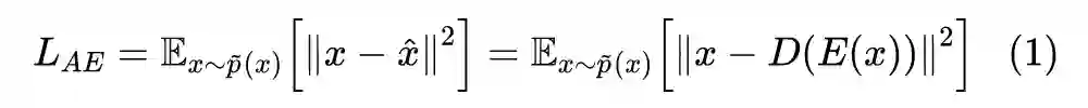
其 loss 一般为:

当训练完成后,我们自然可以针对每一幅图像 x,得到它的编码  z=E(x) 以及重构图 ,而当 x 与 足够接近时,我们就可以认为 z 是 x 的有效表征,它已经充分包含了 x 的信息。

那么,生成模型又是什么情况呢?“生成”指的是随机生成,也就是说允许我们能随机构建一幅图像来,对于自编码器的解码器 D(z),并不是每一个 z 解码出来的  D(z) 都是一幅有意义的图像,因此普通的自编码器并不能视为生成模型。

如果我们能够事先知道所有的x编码出来的 z=E(x) 所构成的分布,并且这个分布是一个易于采样分布,那么就可以实现随机采样生成了。

所以,从自编码器到生成模型,缺的那一步就是确定隐变量 z 的分布,更准确来说,是迫使隐变量 z 服从一个易于采样的简单分布,比如标准正态分布。VAE 通过引入 KL 散度项来达到这一点,那么 EAE 又是怎么实现的呢?



正态分布与最大熵

我们知道,最大熵原理是一个相当普适的原理,它代表着我们对未知事件的最客观认知。最大熵原理的一个结论是:

在所有均值为 0、方差为 1 的分布中,标准正态分布的熵最大。

如果读者还不了解最大熵的相关内容,可以参考旧作《“熵”不起:从熵、最大熵原理到最大熵模型(二)》[2]

上述结论告诉我们,如果我们能有某种手段保证隐变量的均值为 0 和方差为 1,那么我们只需要同时最大化隐变量的熵,就可以得到“隐变量服从标准正态分布”这个目的了,即:

其中 是超参数,而:

是隐变量 z=E(x) 对应的熵,最小化 意味着最大化 ,即最大熵。
问题是如何保证这两个约束呢?如果计算隐变量的熵呢?



均值方差约束与BN


先来解决第一个问题:如何达到——至少近似地达到——“隐变量的均值为 0、方差为 1 ”这个约束?因为只有满足这个约束的前提下,最大熵的分布才是标准正态的。解决这个问题的办法是我们熟悉的批归一化,也就是 BN(Batch Normalization)。

在 BN 的训练阶段,我们会直接对每个变量减去其 batch 内的均值并且除以 batch 内标准差,这保证了训练阶段每个 batch 的变量均值确实为 0,方差确实为 1。

然后,它会将每个 batch 内的均值方差滑动平均并缓存下来,用于推断阶段的预测。

总而言之,就是将 BN 应用于隐变量,就可以使得隐变量(近似地)满足相应的均值方差约束。

此时,我们就得到:

这里的 代表 BN 层。



熵的采样估计


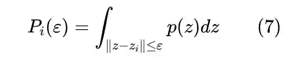
现在,来到了整个 EAE 模型的最后一部分、同时也是最硬核的一部分了,也就是如何估计熵 H(Z)。理论上来说,为了算 H(Z) 我们需要知道 p(z),但我们现在只有样本 而不知道 p(z) 的表达式,在这种前提下对 H(Z) 做的估计叫做非参数估计。

先给结论:

熵的最临近估计 是从 采样出来的 n 个样本,记 到它最邻近的样本的距离,即 是 d 维单位球的体积, 是欧拉常数 [3] ,则:

抛开跟优化不相关的常数,上述结论实际上就是说 ,这就是我们需要添加到 loss 的项。

这个看上去很奇怪、实际上确实也不容易理解的结果是怎么得来的呢?事实上,它是一种重要的估计方法—— k 邻近方法——的经典例子。下面将会给出它的推导过程,该过程参考自论文《A non-parametric k-nearest neighbour entropy estimator[4]

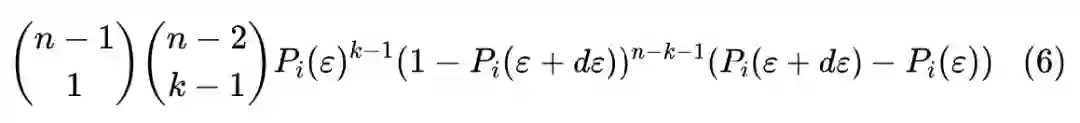
让我们考虑特定的样本 ,设 是它的第 k 个最邻近的样本,即将所有的 按照 从小到大排列,第 k 个就是 ,记 ,我们现在考虑 的概率分布。
假设 ,那么就意味着剩下的 n-1 个样本之中,有 k-1 个落在了“以 为球心、以 为半径”的球内,有 n-k-1 个落在了“以 为球心、以 为半径”的球外,剩下一个夹在两球之间,不难得到这种情况发生的概率是:

其中 代表着从 n-1 个样本中挑出 1 个样本夹在两球之间的组合数,而 则是从剩下的 n-2 个样本中挑出 k-1 个样本放到球内的组合数(剩下的 n-k-1 个自动就在球外了); 是单个样本位于球内的概率,即:

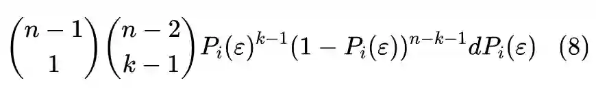
所以 是挑出来的 k-1 个样本都在球内的概率, 是 n-k-1 个样本都在球外的概率, 则是一个样本在球间的概率,所有项乘起来就是式(6),而展开并只保留一阶项得到近似式:

注意上式描述了一个合理的概率分布,因此它的积分必然为 1。

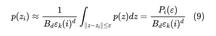
现在我们可以做个近似假设,值得注意的是,这是整个推导过程的唯一假设,而最终结果的可靠程度也取决于这个假设的成立程度:

其中 就是半径为 的球的体积,上述假设就是说 p(z) 在半径为 的球内的均值约等于它在球中心的值,并且积分的有效半径只有 。根据这个近似我们有 ,或者:

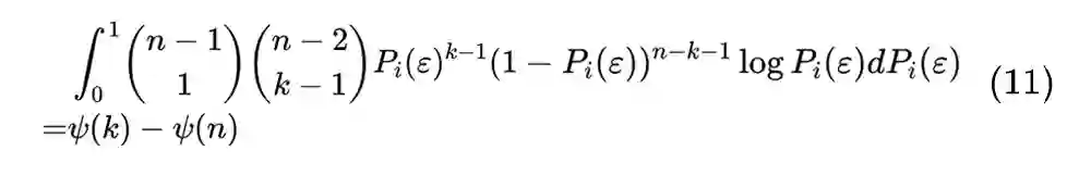
用(8)乘以上式两端,并对 积分(积分区间为 ,或者等价于对 在  [0,1] 积分)。除 外,其余几项都是跟 无关,所以积分后依然等于自身,而:

其中 代表着双伽马函数(别问我这些积分是怎么算出来的,我也不知道,但我知道用 Mathematica 软件能把它都算出来)。
于是我们得到近似:

所以最终熵的近似为:

这是比式(5)更一般的结果。事实上式(5)是上式 k=1 时的结果,因为 ,而 ,这些变换公式都可以在维基百科上找到。

开头就已经提到过,k 邻近方法是一种很有用的非参数估计方法,它还跟笔者之前介绍过的 IMLE 模型 [5] 有关。但笔者本身也不熟悉 k 邻近方法,还需要多多学习,目前找到的资料是《Lectures on the Nearest Neighbor Method》[6]

此外,关于熵的估计,还可以参考斯坦福的资料《Theory and Practice of Differential Entropy Estimation》 [7]



进一步思考与分析


有了(5)或(13),式(4)所描述的EAE的loss就完成了,所以 EAE 模型也就介绍完毕了。剩下的是实验结果,就不详细介绍了,反正就是感觉生成的图像跟 VAE 差不多,但指标上更优一些。


▲ 来自EAE论文的实验对比

▲ 来自EAE论文的效果图示

那 EAE 相比 VAE 的好处在哪呢?在 VAE 中,比较关键的一步是重参数(可以参考笔者的变分自编码器(一):原来是这么一回事),就是这一步降低了模型训练的方差(相比 REINFORCE 方法,可以参考笔者的《漫谈重参数:从正态分布到Gumbel Softmax》[8]),从而使得 VAE 可以有效地训练下去。

然而,虽然重参数降低了方差,但事实上方差依然不小,简单来说就是重参数这一步带来较大的噪声(尤其是训练早期),导致 decoder 无法很好地利用 encoder 的信息,典型的例子就是将 VAE 用在 NLP 时的“ KL 散度消失”现象。

但是 EAE 基本上不存在这个问题,因为 EAE 基本上就是普通的自编码器,多加的 BN 不会对自编码性能有什么影响,而多加的熵正则项原则上也只是增加隐变量的多样性,不会给编码信息的利用与重构带来明显困难。

笔者认为,这就是 EAE 相对于 VAE 的优势所在。当然,笔者目前还没有对 EAE 进行太多实验,上述分析多为主观推断,请读者自行甄别。如果笔者有进一步的实验结论,到时会继续在博客与大家分享。



最后补上一个小结


本文介绍了一个称之为 EAE 的模型,主要是把 BN 层和最大熵塞进了普通的自编码器中,使得它具有生成模型的能力。原论文做的不少实验显示 EAE 比 VAE 效果更好,所以应该是一个值得学习和试用的模型。

此外,EAE 的关键部分是通过 k 邻近方法来估计熵,这部分比较硬核,但事实上也很有价值,值得对统计估计感兴趣的读者细细阅读。

参考链接
[1] https://arxiv.org/abs/2002.10631
[2] https://kexue.fm/archives/3552
[3]  https://en.wikipedia.org/wiki/Euler%E2%80%93Mascheroni_constant
[4] https://arxiv.org/abs/1506.06501
[5] https://kexue.fm/archives/6394
[6]  https://link.springer.com/book/10.1007/978-3-319-25388-6
[7] https://web.stanford.edu/~yjhan/diff_entropy.pdf
[8] https://kexue.fm/archives/6705



点击以下标题查看更多往期内容: 




#投 稿 通 道#

 让你的论文被更多人看到 



如何才能让更多的优质内容以更短路径到达读者群体,缩短读者寻找优质内容的成本呢?答案就是:你不认识的人。


总有一些你不认识的人,知道你想知道的东西。PaperWeekly 或许可以成为一座桥梁,促使不同背景、不同方向的学者和学术灵感相互碰撞,迸发出更多的可能性。 


PaperWeekly 鼓励高校实验室或个人,在我们的平台上分享各类优质内容,可以是最新论文解读,也可以是学习心得技术干货。我们的目的只有一个,让知识真正流动起来。


📝 来稿标准:

• 稿件确系个人原创作品,来稿需注明作者个人信息(姓名+学校/工作单位+学历/职位+研究方向) 

• 如果文章并非首发,请在投稿时提醒并附上所有已发布链接 

• PaperWeekly 默认每篇文章都是首发,均会添加“原创”标志


📬 投稿邮箱:

• 投稿邮箱:[email protected] 

• 所有文章配图,请单独在附件中发送 

• 请留下即时联系方式(微信或手机),以便我们在编辑发布时和作者沟通



🔍


现在,在「知乎」也能找到我们了

进入知乎首页搜索「PaperWeekly」

点击「关注」订阅我们的专栏吧



关于PaperWeekly


PaperWeekly 是一个推荐、解读、讨论、报道人工智能前沿论文成果的学术平台。如果你研究或从事 AI 领域,欢迎在公众号后台点击「交流群」,小助手将把你带入 PaperWeekly 的交流群里。



登录查看更多
2

相关内容

自动编码器是一种人工神经网络,用于以无监督的方式学习有效的数据编码。自动编码器的目的是通过训练网络忽略信号“噪声”来学习一组数据的表示(编码),通常用于降维。与简化方面一起,学习了重构方面,在此,自动编码器尝试从简化编码中生成尽可能接近其原始输入的表示形式,从而得到其名称。基本模型存在几种变体,其目的是迫使学习的输入表示形式具有有用的属性。自动编码器可有效地解决许多应用问题,从面部识别到获取单词的语义。
【CVPR2020】MSG-GAN:用于稳定图像合成的多尺度梯度GAN
专知会员服务
29+阅读 · 2020年4月6日
自回归模型:PixelCNN
专知会员服务
29+阅读 · 2020年3月21日
专知会员服务
63+阅读 · 2020年3月4日
变分自编码器VAE:一步到位的聚类方案
PaperWeekly
25+阅读 · 2018年9月18日
【论文笔记】ICLR 2018 Wasserstein自编码器
专知
32+阅读 · 2018年6月29日
再谈变分自编码器VAE:从贝叶斯观点出发
PaperWeekly
13+阅读 · 2018年4月2日
深度 | 变分自编码器VAE面临的挑战与发展方向
机器之心
16+阅读 · 2018年3月21日
探幽深度生成模型的两种方法:VAE和GAN
AI前线
15+阅读 · 2018年3月10日
在TensorFlow中对比两大生成模型:VAE与GAN
机器之心
12+阅读 · 2017年10月23日
VAE、GAN、Info-GAN:全解深度学习三大生成模型
数据派THU
20+阅读 · 2017年9月23日
A Probe into Understanding GAN and VAE models
Arxiv
9+阅读 · 2018年12月13日
Adversarial Transfer Learning
Arxiv
12+阅读 · 2018年12月6日
Logically-Constrained Reinforcement Learning
Arxiv
3+阅读 · 2018年12月6日
Arxiv
5+阅读 · 2018年5月21日
Arxiv
7+阅读 · 2018年3月12日
Arxiv
5+阅读 · 2018年1月30日
VIP会员
最新内容
《第四代军事特种作战部队选拔与评估》
专知会员服务
1+阅读 · 今天6:23
不对称优势上升:自主系统如何强化海上拒止
专知会员服务
1+阅读 · 今天5:51
《人工智能赋能电磁战》(报告)
专知会员服务
2+阅读 · 4月17日
【CMU博士论文】迈向可扩展的开放世界三维感知
相关资讯
变分自编码器VAE:一步到位的聚类方案
PaperWeekly
25+阅读 · 2018年9月18日
【论文笔记】ICLR 2018 Wasserstein自编码器
专知
32+阅读 · 2018年6月29日
再谈变分自编码器VAE:从贝叶斯观点出发
PaperWeekly
13+阅读 · 2018年4月2日
深度 | 变分自编码器VAE面临的挑战与发展方向
机器之心
16+阅读 · 2018年3月21日
探幽深度生成模型的两种方法:VAE和GAN
AI前线
15+阅读 · 2018年3月10日
在TensorFlow中对比两大生成模型:VAE与GAN
机器之心
12+阅读 · 2017年10月23日
VAE、GAN、Info-GAN:全解深度学习三大生成模型
数据派THU
20+阅读 · 2017年9月23日
相关论文
A Probe into Understanding GAN and VAE models
Arxiv
9+阅读 · 2018年12月13日
Adversarial Transfer Learning
Arxiv
12+阅读 · 2018年12月6日
Logically-Constrained Reinforcement Learning
Arxiv
3+阅读 · 2018年12月6日
Arxiv
5+阅读 · 2018年5月21日
Arxiv
7+阅读 · 2018年3月12日
Arxiv
5+阅读 · 2018年1月30日
Top
微信扫码咨询专知VIP会员