为什么摩擦会生热?| No.103

2018 年 5 月 4 日 中科院物理所 Frions


摩擦生热这个大家都不陌生

要知道人类文明的一个很重要的开端就是发现了火

所以它意义重大

但是为什么摩擦会生热呢?


搭配BGM食用更佳 ╭(●`∀´●)╯(点击音频图标即可食用)

1
Q

中学化学实验里玻璃仪器炸裂,老师说是因为受热不均,可受热不均怎么会让玻璃炸裂?想知道受力情况,谢谢!


by 不空缺则表示不希望?

A

啊,受力情况,对,玻璃仪器不会无缘无故自己原地爆炸,肯定有什么原因,有力的作用。这个力叫应力,中学还没涉及。首先,玻璃仪器在生产时,会经过高温处理,在冷却到室温时,会在仪器内部残余应力。在玻璃仪器内倒入液体(稀释浓硫酸)或发生放热反应(铁在氧气中的燃烧)时,仪器内部受热膨胀,仪器外部此时是室温形态。玻璃仪器内部受热膨胀有拉伸的欲望,而仪器内的应力想使仪器内侧恢复原来的状态,所以给仪器内侧一个压缩的力。而仪器外壁相对于仪器内侧来说有一个拉伸的力。两相作用下,玻璃仪器受不了了,就原地爆炸。

By Fi


2
Q

为什么带电物能吸引轻小物体?


by 匿名君

A

生活中我们常会发现带电物体能够吸附轻小物体,这个过程利用了静电吸附的原理。显然的,如果轻小物体带有与带电物体相反的电荷,根据库伦定理我们知道他们之间具有一定的吸引作用。但如果轻小物体不带电荷,他们之间的吸引力又是如何产生的呢?由于轻小物体组成分子可能是极性分子和非极性分子,现对两种情况分别进行分析。对于极性分子,分子正负电荷中心不重合,在带电物体的电场作用下,库伦作用同性相斥、异性相吸,极性分子呈现一定的取向,与带电物体电荷相反的一端远离带电物体,吸引力大于排斥力,表现为吸引作用。对于非极性分子,同性电荷受到电场的排作用,异性电荷受到电场的吸作用,其正负电荷中心在电场的作用下分离,诱导出极性,根据和极性分子一样的分析,我们可以得到总的吸引相互作用。

By 勿用


3
Q

有什么物理方法能让我跑的更快?


by 表情君

A

我们先把跑步这个事件转换成物理学(题)的语言。

问答团队美丽的Fi小姐姐站在一个粗糙的平面上,在t时刻她听到了一声枪响,经历了懵B、回神之后,她开始做加速直线运动,当速度达到最大她开始做匀速直线运动(跑步的地方是一个三维欧式空间,因此两点之间线段最短),假设终点距离他为L,求所用的时间最短所应采取的策略。

跑步的时候静摩擦力并不做功,但是静摩擦力是肢体做功的媒介。如果地面的静摩擦系数很小的话,你跑起来便会在这光滑的地上摩擦摩擦,会觉得脚底下没有安全感,有力使不出。

因此选一个不错的跑道,并穿上一双轻便的XX跑鞋(此广告位招租)是跑快的第一步。

第二便是反应时间,假设在裁判扣动扳机的前dt秒,你对着一位选手喊道:你鞋带掉了或诶你看那是什么。后果会怎样?

第三点便是加速度,你要从静止状态逐渐加速到最大速度,这个时间越短越好、所用的距离越短越好,因此要采取蹲踞式起跑。正如航母上飞机的起飞会有一个弹射装置,蹲踞式起跑时脚下会踩一个助跑器,助你弹射起跑。

结合二、三两点,可以设计一个这样的起跑器,它里边有一个感应器,一旦枪响便会立刻由压缩状态释放,推动你开跑。

跑起来之后要保持肢体的协调、维持最大的速度、抵抗空气阻力做功,因此不要左顾右盼、最好能顺着风向跑。

By Patwf


4
Q

感觉老师讲课也没什么东西,可是做题就是不会啊?无从下手的感觉,该怎么做?


by  匿名君

A

首先,你的老师比你受过更多的教育,比如你的高中物理老师会是一个物理学的硕士、博士,因此他对自己讲授的内容理解是十分深刻的。同时,课堂上所讲授的东西老师已经练过、讲过很多次了,因此他所展现出来的的自然就是熟练、容易。也就是说,这玩意确确实实对他来说很简单,所以他说出来就给人感觉似乎不难。而你,只是一个初次接触它的小白!

人的心理会欺骗自己,会错误的估计问题的难易程度,不仅仅是面对作业题,生活中有很多事情看起来容易做起来难。所以在听老师讲课的时候,你以为你懂了,其实你还没有懂。比如你看主播玩吃鸡觉得杀人很简单,的确你上手玩也能玩,时不时杀几个AI,但你要玩的很6,那还是需要时间的。对于知识的掌握与理解是层层递进的,会有一个逐步熟悉的过程。你对于知识理解的深入了,才会用它去解决问题,做题就是一个用知识解决问题的过程。

路漫漫其修远兮,吾将上下而求索。穷理,有容,惟才,同德!

话锋一转……

对于中学阶段的题还有一个原因,那就是所有的考试都是围绕高考这个竞争性考试来的,而高中所学的知识并没有太多,因此就会想方设法花式出各种难题。比如物理题,题的花样很多,但考来考去其实就是那几个公式。

Emmm,你可能想说:“对啊,公式就那几个,我全都背过了,可是遇到题我不知道该用哪个!”

这个问题的解决方案,如果我现在在上大学,或许会说:你可以请我当家教啊~

By Patwf


5
Q

如何通过引力波形信号得知相互碰撞的天体质量?


by 青蛙王子

A

人们通过测量引力波的频率以及频率的变化率可以测出双黑洞系统(或双星)所谓的啁啾质量,然后根据啁啾质量可以粗略地估计双黑洞系统的质量范围。更精确的双黑洞的质量则是通过引力波波形的模板与实际探测到的波形进行匹配得到的。首先理论上先计算出来具有一系列各种参数的引力波模板(模板的计算应用到后牛顿近似、数值相对论、黑洞微扰论,比较复杂,这里不再详细展开),建立起对应的模板库,然后把计算得到的模板与实际波形相互匹配,匹配得最好那个波形的模板对应的各个参数就可以认为是这个双黑洞系统的实际参数,包括两个黑洞的质量。

注:其中,啁啾质量的定义为

mm分别代表两个天体的质量。

By 守恒


6
Q

神经细胞的静息电位为什么是内负外正?


by ybb

A

细胞膜具有选择透过性,有些物质要跨过细胞膜需要膜上转运蛋白等的协助,并且还需要提供能量。

从物理学角度看,物质浓度分布不均匀则会发生扩散,即从高浓度流向低浓度。

细胞膜两侧的离子呈不均衡分布,膜内的钾离子高于膜外,膜内的钠离子和氯离子低于膜外,即胞内为高钾、低钠、低氯的环境。在静息时膜对于钾离子通透性很强,对钠离子较弱,而对氯离子几乎没有通透性。因此钾离子会流向浓度低的膜外,随着钾离子逐渐外流会使得膜外钾离子增多,进而带的正电荷增多。一边是高浓度往低浓度的扩散,一边是逐渐增强的电场阻碍扩散,当两者平衡时,钾离子不再往膜外扩散,此时稳定着的电位差便是膜电位。

By Patwf


7
Q

从严格意义上来说,单摆运动能否称之为简谐运动?


by 匿名

A

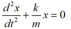
当某物体进行简谐运动时,物体所受的力跟位移成正比,并且总是指向平衡位置。举一个简单的简谐运动的例子,想象一根质量忽略不计劲度系数为k的弹簧一端固定,另一端连着一个质量为m小物块,忽略摩擦力,将小物块推动或拉伸后放手,它将来回的运动,平衡点是弹簧自然伸长时的位置。

关于物块的运动,可以用这个公式描述:

x为偏离平衡点的位移。这个方程的解是一个三角函数,即简谐运动质点的位移与时间的关系遵从正弦或余弦函数的规律。

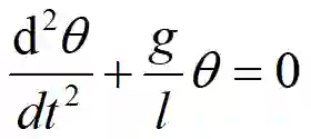
对于单摆来说,它平衡的位置是物体竖直悬着的状态,也就是绳子与竖直方向的夹角为0。

关于单摆的运动,我们同样可以用公式来描述:

其中 θ为绳子与竖直方向的夹角。显然这个方程与弹簧模型的方程不一样,解的形式也不一样,因此严格意义来说单摆并不是简谐运动。

但是在 θ 很小的时候,sinθ 可以近似的看成 θ,此时方程的形式便成了

我们发现它和弹簧模型方程的形式一样,这时它的解便是三角函数的形式了,也就是说单摆运动在摆动角度很小的时候可以看成是简谐运动。

误差有多大呢?5°≈0.087266 rad,sin 5°≈0.087155,此时误差非常小可以忽略不计。但是若角度达到60°时,误差则会达到17%。

By Patwf


8
Q

摩擦为什么会生热呢?


By Lusproness 

A

首先赞扬,很好的问题。事实上摩擦是一个非常复杂的过程,人们目前尚不能很好的描述这个过程。让我们来先看看摩擦力是怎么产生的,当我们让两个物体接触,并施加垂直于接触面的力,两个物体有一个很近的接触。当我们想要让他们相对运动的时候,这个接触将会阻碍这个相对运动。我们都知道基本相互作用只有四种(引力、电磁相互作用、强相互作用、弱相互作用),其中强相互作用和弱相互作用在这里都不起作用而引力则远远远远远小于电磁相互作用,所以阻碍他们互相融入对方的力就是这个电磁相互作用。两个物体接触以后,他们表面的原子互相之间存在一个相互作用,当发生相对运动的时候,这些原子会在变化的相互作用下振动,而我们熟知的内能指的也就是原子的振动。所以在这个过程中,外力做的功转化成了原子的振动的能量也就是物体的内能。

By 望江楼




本期答题团队:

   物理所  Patwf、Fi、勿用 、望江楼

国家天文台  守恒



写下您的问题,下周五同一时间哦~

↓识别下方二维码快速提问↓



上期也精彩

地球的质量是否恒定?| No.102

编辑:X. B. Liu


近期热门文章Top10

↓ 点击标题即可查看 ↓

1. 人类一思考,上帝就要忙疯掉……

2. 原来,这些我们都默认科学家早已解决了的问题,至今仍然无解

3. 理工科学霸的子女更易患自闭症

4. 鸡蛋从高空坠落能砸死人,为什么猫却摔不死?科学告诉你答案

5. 光学3分钟:从入门到放弃

6. 光速为什么如此重要?

7. 量子计算陷入难解困境,未来发展何去何从?

8. 除了《时间简史》,关于霍金你还应该知道这些!

9. 速速收藏!可乐竟然还有这些神奇的用途!

10. 石墨烯研究的意外发现,是否能解开高温超导之谜

点此查看以往全部热门文章


登录查看更多
0

相关内容

物理学(Physics)是一门形式科学,主要研究的是时空中的物质及其运动的模型,包括能量和作用力等所有相关概念。更广义地说,物理学探索分析大自然所发生的现象,目的是要了解其规则。 话题图片由 张明明 知友制作。
模型压缩究竟在做什么?我们真的需要模型压缩么?
专知会员服务
28+阅读 · 2020年1月16日
2019中国硬科技发展白皮书 193页
专知会员服务
86+阅读 · 2019年12月13日
【斯坦福&Google】面向机器人的机器学习,63页PPT
专知会员服务
26+阅读 · 2019年11月19日
周志华教授:如何做研究与写论文?
专知会员服务
161+阅读 · 2019年10月9日
树形结构为什么不需要归一化?
七月在线实验室
8+阅读 · 2019年4月30日
可视化理解四元数,愿你不再掉头发
计算机视觉life
31+阅读 · 2019年1月2日
为什么你应该学 Python ?
计算机与网络安全
4+阅读 · 2018年3月24日
一杯咖啡背后的拓扑 | 顾险峰
中国物理学会期刊网
7+阅读 · 2018年2月2日
Adam那么棒,为什么还对SGD念念不忘 (2)
AI研习社
3+阅读 · 2018年1月1日
为什么聊天机器人从业者都很委屈?
创新工场
3+阅读 · 2017年12月19日
为什么大家都不戳破深度学习的本质?
36大数据
4+阅读 · 2017年12月7日
我们为什么需要一个时序数据库?
大数据杂谈
4+阅读 · 2017年7月6日
为什么不能和阿里巴巴好好说话呢?
创业邦杂志
3+阅读 · 2017年7月3日
Arxiv
6+阅读 · 2020年2月15日
Arxiv
10+阅读 · 2020年2月15日
UNITER: Learning UNiversal Image-TExt Representations
Arxiv
23+阅读 · 2019年9月25日
Universal Transformers
Arxiv
5+阅读 · 2019年3月5日
Music Transformer
Arxiv
5+阅读 · 2018年12月12日
Arxiv
3+阅读 · 2018年2月12日
VIP会员
最新内容
BES:让语言模型通过双向进化搜索自我改进
专知会员服务
0+阅读 · 5月30日
以色列-美国-伊朗战争中的无人机:关键要点
专知会员服务
3+阅读 · 5月30日
《Palantir任务保障性软件安全标准(MA-S2)》
专知会员服务
7+阅读 · 5月30日
基于声学的无人机检测技术综述
专知会员服务
5+阅读 · 5月30日
《当代混合战争分析框架:俄乌战争经验教训》
战略前沿人工智能的再思考(中文)
专知会员服务
7+阅读 · 5月29日
《量化地基防空系统间接效应的博弈论方法》
专知会员服务
5+阅读 · 5月29日
相关资讯
树形结构为什么不需要归一化?
七月在线实验室
8+阅读 · 2019年4月30日
可视化理解四元数,愿你不再掉头发
计算机视觉life
31+阅读 · 2019年1月2日
为什么你应该学 Python ?
计算机与网络安全
4+阅读 · 2018年3月24日
一杯咖啡背后的拓扑 | 顾险峰
中国物理学会期刊网
7+阅读 · 2018年2月2日
Adam那么棒,为什么还对SGD念念不忘 (2)
AI研习社
3+阅读 · 2018年1月1日
为什么聊天机器人从业者都很委屈?
创新工场
3+阅读 · 2017年12月19日
为什么大家都不戳破深度学习的本质?
36大数据
4+阅读 · 2017年12月7日
我们为什么需要一个时序数据库?
大数据杂谈
4+阅读 · 2017年7月6日
为什么不能和阿里巴巴好好说话呢?
创业邦杂志
3+阅读 · 2017年7月3日
相关论文
Arxiv
6+阅读 · 2020年2月15日
Arxiv
10+阅读 · 2020年2月15日
UNITER: Learning UNiversal Image-TExt Representations
Arxiv
23+阅读 · 2019年9月25日
Universal Transformers
Arxiv
5+阅读 · 2019年3月5日
Music Transformer
Arxiv
5+阅读 · 2018年12月12日
Arxiv
3+阅读 · 2018年2月12日
Top
微信扫码咨询专知VIP会员