AAAI 2020 | 启发式变分路径推理(VPR)脑电情绪识别

2020 年 6 月 24 日 PaperWeekly


©PaperWeekly 原创 · 作者|张玮玮
学校|东北大学硕士生
研究方向|脑电情绪识别




论文工作

人类情感认知的研究表明,在情感表达过程中,空间相邻区域和功能相关区域之间存在着联系和通路。作者提出了一种启发式的变分路径推理(VPR)方法来处理基于脑电波的情绪识别,引入随机游走来产生大量沿电极的候选路径。为了编码每个路径,动态序列模型用于进一步学习电极间的依赖关系。


论文方法

为了降低步行路径的数目,作者通过划分五个脑功能区域(额叶 (F)、颞叶 (T)、顶叶 (P)、枕叶 (O) 和中央区 (C) ),将步行范围限制在局部区域内,并仅定义空间相邻电极之间的直接连接。对于作为开始节点的每个电极,作者在预定义的行走长度内采样多个候选路径。

考虑到步行路径的序列特性,引入动态序列模型 LSTM 对电极间依赖关系进行编码,进一步提取路径的高级特征。对于每个电极,最大限度地聚合其中的编码通路,得到一个伪显著通路,其每条边实际上表示跳跃阶段的显著连接。

为了进一步简化伪路径,作者提出了一个稀疏变分缩放(SVS)模块来学习施加在这些路径上的缩放因子。与局部聚集相比,变分标度在所有电极上共享,因此可以理解为一种整体加权策略。尺度因子不仅可以用于生成更多的判别特征用于最终的情绪预测,而且还可以反馈到这些候选路径中,从而确定最终的显著路径。

2.1 产生候选路径

对于输入的脑电图信号,每个电极对多个通路进行采样。形式上,对于长度为 l 的随机行走,有序节点 由以下分布生成 :

其中, 表示节点 之间的非标准化邻接,如果 在空间上相邻(详见图 2),则其值设为 1,否则设为 0 。Z 为归一化常数, 为封闭在 r-th 脑区相邻电极对的集合 (r {F, T, P, O, C})。
2.2 路径编码
候选路径采用序列递归模型 LSTM 对行走节点的依赖进行编码,获得其嵌入表示。在形式上,对于给定的路径 ,编码过程定义如下 :
2.3 局部路径聚合
为了找到电极之间的显著联系,我们使用 max-aggregation 来找到那些具有相同起始节点的局部候选路径。通过取嵌入通道间各维度的最大值来计算聚合路径:

由于最大位置不一致,一个聚合路径可能不是一个真正的行走,但该路径记录了那些最显著的电极之间的连接。因此,我们将聚合路径称为伪显著路径。其中一个候选通路与相应的伪显著通路高度相关。形式上,一个候选通路的局部显著性推导为 :
2.4 整体路径缩放
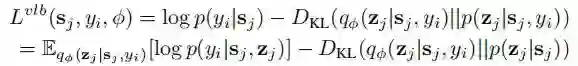
作者提出了 SVS 模块来推导伪路径的比例因子,引入了具有稀疏约束的变分推理模型,而不是采用确定性的方法。由于 SVS 在数据分布拟合方面具有良好的数学特性,因此具有稳定性和可解释性。同时,约束尺度因子的稀疏结构,以自适应地选择显著路径。每个伪通路显著性 将根据对应的潜在变量 重新缩放 :

利用 Kullback-Leibler (KL)- 散度估计 的分布距离,利用 使 kl - 散度最小可以得到 的较好近似。最小化 kl - 散度等价于最大化

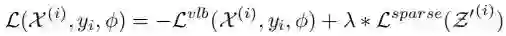
2.5 损失函数与候选路径的选择
在训练整个 VPR 时,作者最小化整个损失函数,定义如下:

为了确定的显著路径,本文结合每个候选路径的贡献力量相应的伪路径   和伪通路的重要性 。在形式上,在 j 极点的第 k-th 候选路径,整体贡献 表示最后情感分析的定义是:


结果
本文通过对 SJTU 情绪脑电图数据集(SEED)和多模式生理情绪数据库(MPED)两种脑电图情绪数据集进行实验来评价 VPR。为了达到一个全面的评估,提出的 VPR 与多种先进的方法比较,遵循广泛使用的 subject dependent 协议。
为了进一步直观地理解路径选择,本文在这里将那些显著的路径可视化,通过施加更高值的缩放因子来自适应地突出这些路径。同时,在图 4 和图 5 中展示了不同被试和不同情感类别之间有序联系的差异,这从人类情感认知的角度来看可能也很有意义。


结论

论文提出了一种基于感知机制的脑电情绪识别框架 VPR。考虑到空间的邻接性和功能区,在每个脑区域内沿封闭的空间电极引入随机游走,生成候选路径。为了编码每个路径,考虑到有序连接,我们使用 LSTM 模型来学习电极间的依赖关系。

为了捕获最重要的成对连接,每个电极周围的编码通路被聚合以产生一个伪最大能量通路。为了进一步选择显著路径,提出了基于贝叶斯概率过程和稀疏约束的 SVS 模块,使该模块具有良好的泛化能力,同时有利于路径的自适应选择。

最后,通过伪路径和尺度因子共同确定候选路径的显著路径。


更多阅读





#投 稿 通 道#

 让你的论文被更多人看到 



如何才能让更多的优质内容以更短路径到达读者群体,缩短读者寻找优质内容的成本呢?答案就是:你不认识的人。


总有一些你不认识的人,知道你想知道的东西。PaperWeekly 或许可以成为一座桥梁,促使不同背景、不同方向的学者和学术灵感相互碰撞,迸发出更多的可能性。 


PaperWeekly 鼓励高校实验室或个人,在我们的平台上分享各类优质内容,可以是最新论文解读,也可以是学习心得技术干货。我们的目的只有一个,让知识真正流动起来。


📝 来稿标准:

• 稿件确系个人原创作品,来稿需注明作者个人信息(姓名+学校/工作单位+学历/职位+研究方向) 

• 如果文章并非首发,请在投稿时提醒并附上所有已发布链接 

• PaperWeekly 默认每篇文章都是首发,均会添加“原创”标志


📬 投稿邮箱:

• 投稿邮箱:[email protected] 

• 所有文章配图,请单独在附件中发送 

• 请留下即时联系方式(微信或手机),以便我们在编辑发布时和作者沟通



🔍


现在,在「知乎」也能找到我们了

进入知乎首页搜索「PaperWeekly」

点击「关注」订阅我们的专栏吧



关于PaperWeekly


PaperWeekly 是一个推荐、解读、讨论、报道人工智能前沿论文成果的学术平台。如果你研究或从事 AI 领域,欢迎在公众号后台点击「交流群」,小助手将把你带入 PaperWeekly 的交流群里。



登录查看更多
1

相关内容

专知会员服务
40+阅读 · 2020年6月19日
【ICLR2020-哥伦比亚大学】多关系图神经网络CompGCN
专知会员服务
50+阅读 · 2020年4月2日
【斯坦福大学-论文】实体上下文关系路径的知识图谱补全
自动结构变分推理,Automatic structured variational inference
专知会员服务
41+阅读 · 2020年2月10日
论文浅尝 | 面向时序知识图谱推理的循环事件网络
开放知识图谱
78+阅读 · 2019年9月22日
赛尔笔记 | 一文读懂图神经网络
哈工大SCIR
84+阅读 · 2019年7月12日
何晖光:多模态情绪识别及跨被试迁移学习
深度学习大讲堂
58+阅读 · 2019年4月23日
论文浅尝 | 用可微的逻辑规则学习完成知识库推理
开放知识图谱
14+阅读 · 2018年7月5日
论文浅尝 | 基于知识图的问答变分推理
开放知识图谱
7+阅读 · 2018年5月6日
论文浅尝 | 变分知识图谱推理:在KG中引入变分推理框架
Arxiv
4+阅读 · 2018年4月10日
Arxiv
6+阅读 · 2018年2月24日
Arxiv
4+阅读 · 2018年2月19日
VIP会员
最新内容
人工智能在战场行动中的演进及伊朗案例
专知会员服务
2+阅读 · 今天13:08
美AI公司Anthropic推出网络安全模型“Mythos”
专知会员服务
2+阅读 · 今天12:58
【博士论文】面向城市环境的可解释计算机视觉
专知会员服务
0+阅读 · 今天12:57
大语言模型的自改进机制:技术综述与未来展望
专知会员服务
0+阅读 · 今天12:50
《第四代军事特种作战部队选拔与评估》
专知会员服务
1+阅读 · 今天6:23
相关资讯
论文浅尝 | 面向时序知识图谱推理的循环事件网络
开放知识图谱
78+阅读 · 2019年9月22日
赛尔笔记 | 一文读懂图神经网络
哈工大SCIR
84+阅读 · 2019年7月12日
何晖光:多模态情绪识别及跨被试迁移学习
深度学习大讲堂
58+阅读 · 2019年4月23日
论文浅尝 | 用可微的逻辑规则学习完成知识库推理
开放知识图谱
14+阅读 · 2018年7月5日
论文浅尝 | 基于知识图的问答变分推理
开放知识图谱
7+阅读 · 2018年5月6日
论文浅尝 | 变分知识图谱推理:在KG中引入变分推理框架
Top
微信扫码咨询专知VIP会员