从ICLR 2022看什么是好的图神经网络?

2022 年 2 月 18 日 PaperWeekly


©作者 | 刘雨乐

学校 | 上海科技大学

研究方向 | 机器学习与图神经网络




什么是好的 GNN?如果仅仅是用数据集上的测试结果,实际上是一种不太公正的结果。第一,网络可能只对某一种数据集效果好;第二,网络可能是经过玄学调参优化后对某些数据学习能力较强。实验导向的质量分析终究不如有一套理论的来的实在,Keyulu 大神基于 WL-test 给出了一套检验框架。

Xu, K., Hu, W., Leskovec, J. and Jegelka, S., 2018. How powerful are graph neural networks?. arXiv preprint arXiv:1810.00826.

所谓 WL-test 即为一种检验异构图的测试,与 GNN 相似,WL-test 也是迭代的的更新节点的特征,就像 GNN 的聚合-结合(Aggregate-Combine)的过程一样,他可以把不同的图编码为不同的 embedding,而异构图变成相同的;相反,对于一个 GNN 来说,很难把异构图映射到同一个 embedding。作者指出,一个 GNN 不可能比 WL-test 更有效也是基于此。究其根本,WL-test 得到的 embedding 是一个从原图的单射。所以我们要得到一个提取特征能力强大的 GNN,最基本要做的就是创造所谓的从图到 embedding 的单射。

但是有趣的是,ICLR 2022 的一篇新论文发现了比 WL-test 更强大的框架,有待继续看。

基本思路明确了以后,就是要开始建模了。

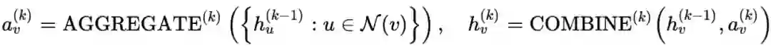
首先是 GNN 的基本框架,从邻居聚合(Aggregate),把聚合后的的特征与上一层的特征结合(Combine),如有需要,最后对全图进行聚合(Readout)即可。




我们所熟知的 Graph Sage 和 GCN,GAT 本质是更换函数。所谓的 Spectral 和 sptial 的观点,不过是之前没有了解清楚罢了。



其次是为了证明结果的理论框架,论文的 theorem 其实都非常直观:

1. 单射最强定理:



这里是最基本的东西,即信息传播时聚合,必须是一个单射;全图读出时,也必须是一个单射,这样就保持了 WL-test 的特性。

2. sum-单射引理



即,我们使用 sum 进行聚合是一个符合条件的单射。

3. 构造模型,基于上述符合的条件,可以构造一种特殊的 GNN,作者将其命名为  GIN(graph isomorphic network)



实际上,只要是符合条件的网络还可以构造相当多个。

关于全图的 readout,作者选择把每一层的信息都聚合连起来,是因为较前方的聚合的信息往往更有用,其实这里的设计应该是像 Resnet 一样的东西。

除了自己的模型,作者还分析了其他的模型

1. 对于 GCN 而言,聚合函数(Aggregate)选用一层的 MLP,这并不是一个单射,为什么还能达到不错的效果呢?MLP 本身就是有模拟任何函数的功能,这其实相当于近似了一个 sum,但是肉眼可见的,会有许多不能达到的情况,因此不能达到更好的表现。



2. 关于 MEAN-aggre 和 MAX-aggre 的缺陷:



不同颜色代表不一样的特征,动手算一算就可以知道这些图用 max 或者 mean 或多或少会不能区分,因为传递到中心节点的信息是完全一样的。

3. 特别的作者还指出,mean 和 max 有他们独有的情景,这些情境中可以达到好的效果,主要是因为不会有错误出现。



如果分布不同,mean 就不会出现误判;



如果节点之间互不相同,max 就会有效。



还有其他的两个,GAT 的带权重的特征和 LSTM 的池化,作者没分析,估计是没时间了,理论上也能证出来。



理论上好的东西,简单的模型也能达到好的效果。



上一章节,说到什么是好的图神经网络,keyulu et al. 认为如果把聚合和全图读出加以修改,使得能成为一个单射的话,那么 GNN 就可以达到和 1-WL test 同等的效果。

后来的工作也大多由此为基础展开,大致分为三个方向:

1. 最朴素的想法,用 GNN 模拟更高阶的 WL-test,就好比 GCN 出来后不少人试了更高阶的切比雪夫不等式,准确率变高但是运算量却变大很多

2. 提取一些子结构如 cycles,d-regular graphs 作为新的特征进行训练

3. 增强节点的特征或者引入随机特征来分析

这些工作重要,但是并没有跳脱现有框架。

ICLR 2022 的论文 A NEW PERSPECTIVE ON"HOW GRAPH NEURAL NET-WORKS GO BEYOND WEISFEILER-LEHMAN?"

@inproceedings{
wijesinghe2022a,
title={A New Perspective on ''How Graph Neural Networks Go Beyond Weisfeiler-Lehman?''},
author={Asiri Wijesinghe and Qing Wang},
booktitle={International Conference on Learning Representations},
year={2022},
url={https://openreview.net/forum?id=uxgg9o7bI_3}
}

重新把很久之前的的 spectral 和 sptial 的方向作为切入点,spectral 考虑了拓扑结构,而 GAT,GIN 等一系列方法聚合时本质还是把拓扑结构上的东西扔掉了,所以作者基于此,从信息传递的框架出发,定义了关于图拓扑结构的特征进行聚合,成功把 spectral 和 sptial 两种方法考虑的出发点都融合进去了得到了现在这篇文章。


考虑 1-WL test,下图是一个其失效的例子:



邻居都一样,但是邻居之间有不同,所以简单的聚合就失效了。为了刻画这种邻居间的关系,作者引入了一套新的理论体系:



到了喜闻乐见的新定义环节,这些定义很烦,说人话就是:

邻居子图: :一个点和他的邻居还有对应的边

重叠子图: :两个邻居子图 and 的重叠部分

子图异构(1):两个图完全一样(连接方式)

重叠异构(2):重叠部分一样

子树异构(3):接邻的节点一样,边可能不一样

下面是一个例子来验证这些定义:



显然的,这三种异构的一个包含一个,1 最小,3 最大。

有了这些我们就有一个直观认识,量化一个节点和他邻居的关系,要考虑他们之间的紧密程度,就要从这三种异构的角度去考虑,其中重叠的子图能最好的描述节点和某一邻居的关系,自然的,我们需要引出这样的参数 omega,应该有如下的性质:



1. 重叠子图是完全图的,最强,完全图越大越强

2. 节点相同,边越多越强

3. 重叠子图一样,这两个权重也一样。以下是两个例子:



然后做聚合,这下就要把刚才定义的参量 A 拿进来,就形成这样的框架:




这里就是实践部分了,前向传播时还是为了保证单射,采用了 sum 的 combine 方法,和 GIN 还是很像的,主要创新点就是把结构信息量化并且塞进了聚合的函数。前面理解了看到这里只剩感叹这种 omega 是怎么设计出的。

消融实验:研究了不同的 lamda 的特点,发现为 1 时,更多考虑的是不同节点的的特征,适用于节点分类;为 2 时,考虑的的时重叠图的相似度,适用于图分类。下标的意思是仅仅修改下标网络结构的聚合方式,其他的部分不变得到的结果



举个例子,具体可以到论文的附录看,这篇文章附录真的很多:



过平滑的分析:



这个玩意相比 GCN 对更多的层数时更耐草,因为描述邻居连接关系的的参数 omega 本质上就是一个带有不同权重的特征,这个限制了连接紧密程度不同的的邻居流过来的信息,有效防止了过平滑。

还是那句话既有 spectral 又有 spitial,应该是两种理念第一次交融,所以效果格外的好。

插一嘴,看看 openreview 真的有用,前提是 ICLR 这种顶会:
https://openreview.net/forum?id=uxgg9o7bI_3


特别鸣谢

感谢 TCCI 天桥脑科学研究院对于 PaperWeekly 的支持。TCCI 关注大脑探知、大脑功能和大脑健康。



更多阅读




#投 稿 通 道#

 让你的文字被更多人看到 



如何才能让更多的优质内容以更短路径到达读者群体,缩短读者寻找优质内容的成本呢?答案就是:你不认识的人。


总有一些你不认识的人,知道你想知道的东西。PaperWeekly 或许可以成为一座桥梁,促使不同背景、不同方向的学者和学术灵感相互碰撞,迸发出更多的可能性。 


PaperWeekly 鼓励高校实验室或个人,在我们的平台上分享各类优质内容,可以是最新论文解读,也可以是学术热点剖析科研心得竞赛经验讲解等。我们的目的只有一个,让知识真正流动起来。


📝 稿件基本要求:

• 文章确系个人原创作品,未曾在公开渠道发表,如为其他平台已发表或待发表的文章,请明确标注 

• 稿件建议以 markdown 格式撰写,文中配图以附件形式发送,要求图片清晰,无版权问题

• PaperWeekly 尊重原作者署名权,并将为每篇被采纳的原创首发稿件,提供业内具有竞争力稿酬,具体依据文章阅读量和文章质量阶梯制结算


📬 投稿通道:

• 投稿邮箱:[email protected] 

• 来稿请备注即时联系方式(微信),以便我们在稿件选用的第一时间联系作者

• 您也可以直接添加小编微信(pwbot02)快速投稿,备注:姓名-投稿


△长按添加PaperWeekly小编




🔍


现在,在「知乎」也能找到我们了

进入知乎首页搜索「PaperWeekly」

点击「关注」订阅我们的专栏吧



·

登录查看更多
0

相关内容

ICLR 2022 放出了本届会议的论文接收结果:共有 54 篇 Oral(口头报告)论文和 176 篇 Spolight 论文,论文接收总数 1095 篇,最终投稿量 3391 篇,论文接收率 32.3%。
专知会员服务
30+阅读 · 2021年2月26日
【斯坦福CS224W】图神经网络理论,77页ppt
专知会员服务
49+阅读 · 2021年2月13日
【WWW2021】用优化框架解释和统一图神经网络
专知会员服务
45+阅读 · 2021年2月1日
专知会员服务
20+阅读 · 2020年12月9日
专知会员服务
38+阅读 · 2020年11月24日
系列教程GNN-algorithms之七:《图同构网络—GIN》
专知会员服务
48+阅读 · 2020年8月9日
一份简单《图神经网络》教程,28页ppt
专知会员服务
127+阅读 · 2020年8月2日
必读的7篇 IJCAI 2019【图神经网络(GNN)】相关论文
专知会员服务
92+阅读 · 2020年1月10日
ICLR'22| 如何提升任意GNN的表现能力?
图与推荐
0+阅读 · 2022年4月15日
图神经网络适合做推荐系统吗?
机器学习与推荐算法
1+阅读 · 2021年12月15日
WSDM‘21 | 如何增加GNN的鲁棒性?
图与推荐
1+阅读 · 2021年12月10日
ICLR'22 | 图机器学习最近都在研究什么?
图与推荐
1+阅读 · 2021年11月19日
ICML'21 | 五篇图神经网络论文精选
图与推荐
1+阅读 · 2021年10月15日
掌握图神经网络GNN基本,看这篇文章就够了
新智元
164+阅读 · 2019年2月14日
国家自然科学基金
1+阅读 · 2014年12月31日
国家自然科学基金
1+阅读 · 2014年12月31日
国家自然科学基金
1+阅读 · 2013年12月31日
国家自然科学基金
1+阅读 · 2012年12月31日
国家自然科学基金
0+阅读 · 2012年12月31日
国家自然科学基金
1+阅读 · 2012年12月31日
国家自然科学基金
3+阅读 · 2011年12月31日
国家自然科学基金
4+阅读 · 2010年12月31日
国家自然科学基金
0+阅读 · 2009年12月31日
国家自然科学基金
0+阅读 · 2009年12月31日
Arxiv
0+阅读 · 2022年4月20日
Arxiv
0+阅读 · 2022年4月20日
Arxiv
26+阅读 · 2022年1月3日
Directional Graph Networks
Arxiv
27+阅读 · 2020年12月10日
Arxiv
15+阅读 · 2020年2月5日
Arxiv
16+阅读 · 2019年4月4日
A Comprehensive Survey on Graph Neural Networks
Arxiv
21+阅读 · 2019年1月3日
Arxiv
26+阅读 · 2018年2月27日
VIP会员
最新内容
以色列-美国-伊朗战争中的无人机:关键要点
专知会员服务
1+阅读 · 今天14:04
《Palantir任务保障性软件安全标准(MA-S2)》
专知会员服务
5+阅读 · 今天13:49
基于声学的无人机检测技术综述
专知会员服务
4+阅读 · 今天13:37
《当代混合战争分析框架:俄乌战争经验教训》
专知会员服务
4+阅读 · 今天13:11
战略前沿人工智能的再思考(中文)
专知会员服务
7+阅读 · 5月29日
《量化地基防空系统间接效应的博弈论方法》
专知会员服务
5+阅读 · 5月29日
“史诗怒火行动”中美军损失的作战飞机
专知会员服务
6+阅读 · 5月29日
ICML 2026 | 理解上下文持续学习中的泛化与遗忘
专知会员服务
5+阅读 · 5月28日
相关VIP内容
专知会员服务
30+阅读 · 2021年2月26日
【斯坦福CS224W】图神经网络理论,77页ppt
专知会员服务
49+阅读 · 2021年2月13日
【WWW2021】用优化框架解释和统一图神经网络
专知会员服务
45+阅读 · 2021年2月1日
专知会员服务
20+阅读 · 2020年12月9日
专知会员服务
38+阅读 · 2020年11月24日
系列教程GNN-algorithms之七:《图同构网络—GIN》
专知会员服务
48+阅读 · 2020年8月9日
一份简单《图神经网络》教程,28页ppt
专知会员服务
127+阅读 · 2020年8月2日
必读的7篇 IJCAI 2019【图神经网络(GNN)】相关论文
专知会员服务
92+阅读 · 2020年1月10日
相关资讯
ICLR'22| 如何提升任意GNN的表现能力?
图与推荐
0+阅读 · 2022年4月15日
图神经网络适合做推荐系统吗?
机器学习与推荐算法
1+阅读 · 2021年12月15日
WSDM‘21 | 如何增加GNN的鲁棒性?
图与推荐
1+阅读 · 2021年12月10日
ICLR'22 | 图机器学习最近都在研究什么?
图与推荐
1+阅读 · 2021年11月19日
ICML'21 | 五篇图神经网络论文精选
图与推荐
1+阅读 · 2021年10月15日
掌握图神经网络GNN基本,看这篇文章就够了
新智元
164+阅读 · 2019年2月14日
相关基金
国家自然科学基金
1+阅读 · 2014年12月31日
国家自然科学基金
1+阅读 · 2014年12月31日
国家自然科学基金
1+阅读 · 2013年12月31日
国家自然科学基金
1+阅读 · 2012年12月31日
国家自然科学基金
0+阅读 · 2012年12月31日
国家自然科学基金
1+阅读 · 2012年12月31日
国家自然科学基金
3+阅读 · 2011年12月31日
国家自然科学基金
4+阅读 · 2010年12月31日
国家自然科学基金
0+阅读 · 2009年12月31日
国家自然科学基金
0+阅读 · 2009年12月31日
相关论文
Arxiv
0+阅读 · 2022年4月20日
Arxiv
0+阅读 · 2022年4月20日
Arxiv
26+阅读 · 2022年1月3日
Directional Graph Networks
Arxiv
27+阅读 · 2020年12月10日
Arxiv
15+阅读 · 2020年2月5日
Arxiv
16+阅读 · 2019年4月4日
A Comprehensive Survey on Graph Neural Networks
Arxiv
21+阅读 · 2019年1月3日
Arxiv
26+阅读 · 2018年2月27日
Top
微信扫码咨询专知VIP会员