识别形式语言能力不足,不完美的Transformer要克服自注意力的理论缺陷

2022 年 4 月 13 日 机器之心
选自arXiv
作者:David Chiang、Peter Cholak

机器之心编译

机器之心编辑部

最近一两年,transformer 已经在 NLP、CV 等多样化任务上实现了卓越的性能,并有一统 AI 领域的趋势。那么,推出已近五年的注意力机制真的是所有人需要的吗?近日,有论文检验了 transformer 在两种形式语言上的理论缺陷,并且设计了方法克服这种缺陷。文章还研究了可能出现的长度泛化的问题,并提出了相应的解决方案。


尽管 transformer 模型在许多任务中都非常有效,但它们对一些看起来异常简单的形式语言却难以应付。Hahn (2020) 提出一个引理 5),来试图解释这一现象。这个引理是: 改变一个输入符号只会将 transformer 的输出改变 𝑂(1/𝑛),其中 𝑛 是输入字符串的长度。

因此,对于接收(即判定某个字符串是否属于某个特定语言)只取决于单个输入符号的语言,transformer 可能会以很高的准确度接受或拒绝字符串。但是对于大的 𝑛,它必须以较低的置信度做出决策,即给接受字符串的概率略高于 ½,而拒绝字符串的概率略低于 ½。更准确地说,随着 𝑛 的增加,交叉熵接近每个字符串 1 比特,这是最坏情况的可能值。

近期,在论文《Overcoming a Theoretical Limitation of Self-Attention》中,美国圣母大学的两位研究者用以下两个正则语言(PARITY 和 FIRST)来检验这种局限性。


Hahn 引理适用于 PARITY,因为网络必须关注到字符串的所有符号,并且其中任何一个符号的变化都会改变正确答案。研究者同时选择了 FIRST 作为引理适用的最简单语言示例之一。它只需要注意第一个符号,但因为更改这个符号会改变正确答案,所以该引理仍然适用。

尽管该引理可能被解释为是什么限制了 transformer 识别这些语言的能力,但研究者展示了三种可以克服这种限制的方法。

首先,文章通过显式构造表明,以高准确度识别任意长度的语言的 transformer 确实是存在的。研究者已经实现了这些结构并通过实验验证了它们。正如 Hahn 引理所预测的那样,随着输入长度的增加,这个构建的 transformer 的交叉熵接近 1 比特(也就是,仅比随机猜测好一点)。但文章也表明,通过添加层归一化,交叉熵可以任意接近零,而与字符串长度无关。

研究者在实践中还发现,正如 Bhattamishra 等人所指出的,transformer 无法学习 PARITY。也许更令人惊讶的是,在学习 FIRST 时,transformer 可能难以从较短的字符串泛化到较长的字符串。尽管这不是 Hahn 引理的逻辑上可以推出的结果,但它是 Hahn 引理预测行为的结果。幸运的是,这个问题可以通过简单的修改来解决,即将注意力的 logit 乘以 log 𝑛。此修改还改进了机器翻译中在长度方面的泛化能力。


论文地址:https://arxiv.org/pdf/2202.12172.pdf

精确解决方案

克服 Hahn 引理所暗示的缺点的第一种方法是通过显式构造表明 transformer 可以以高精度识别出上述提到的两种语言。

针对 PARITY 的前馈神经网络(FFNN)

Rumelhart 等人表明,对于任何长度𝑛都有一个前馈神经网络 (FFNN) 可以计算长度正好为 𝑛 的字符串的 PARITY。他们还表明,随机初始化的 FFNN 可以自动学习这么做。

由于文章所提出构建方式部分基于他们的,因此详细回顾他们的构建可能会有所帮助。设𝑤为输入字符串,|𝑤| = 𝑛,𝑘是𝑤中 1 的个数。输入是一个向量 x,使得 x_𝑖 = I[𝑤_𝑖 = 1]。第一层计算 𝑘 并将其与 1,2,...,n 进行比较:


因此,


第二层将奇数元素相加并减去偶数元素:


针对 PARITY 的 transformer

命题 1. 存在一个带有 sigmoid 输出层的 transformer,它可以识别(在上述意义上)任意长度字符串的 PARITY 语言。

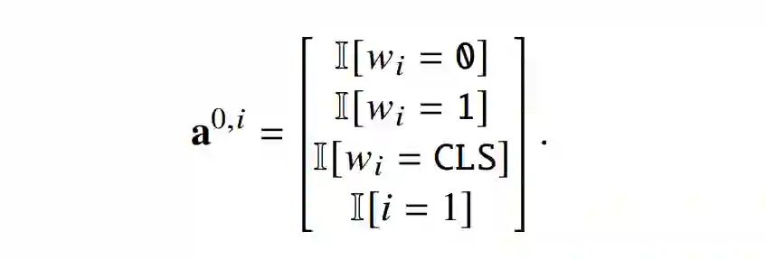
最初,研究者将构造一个没有层归一化的 transformer 编码器(即 LN(x) = x);然后展示如何添加层标准化。设 𝑘 是 1 在 𝑤 中出现的次数。网络计算的所有向量都有 𝑑 = 9 维;如果显示出较少的维度,则假设剩余的维度为零。
 
词和位置嵌入是:


研究者认为,位置编码的第五维使用余弦波是一个相当标准的选择,尽管它的周期 (2) 比标准正弦编码中的最短周期 (2𝜋) 短。第四维度诚然不是标准的;但是,研究者认为这依然是一种合理的编码,并且非常容易计算。因此,单词𝑤_𝑖的编码是:


第二个 head 不做任何事情(W^V,1,2 = 0;query 和 key 可以是任何东西)。在残差连接之后,可以得到:


在 Rumelhart 等人的构造中,下一步是使用阶跃激活函数为每个 𝑖 计算 I[𝑖 ≤ 𝑘]。文章提出的构造有两个不同之处。首先,激活函数采用 ReLU,而不是阶跃激活函数。其次,因为注意力总和必须为 1,如果 𝑛是奇数,那么偶数和奇数位置将获得不同的注意力权重,因此奇数位置减去偶数位置的技巧将不起作用。相反,我们想要计算 I[𝑖 = 𝑘](如下图 1)。


第一个 FFNN 有两层,第一层是:


由此可以得出:


第二层采用线性的方式把这三个值结合在一起得到想要的 I[𝑖 = 𝑘]。


第二个自注意力层测试位置𝑘是偶数还是奇数。它使用两个 head 来做到这一点,一个更强烈地关注奇数位置,一个更强烈地关注偶数位置;两者的平均维度大小为 8:


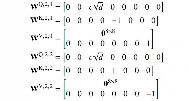
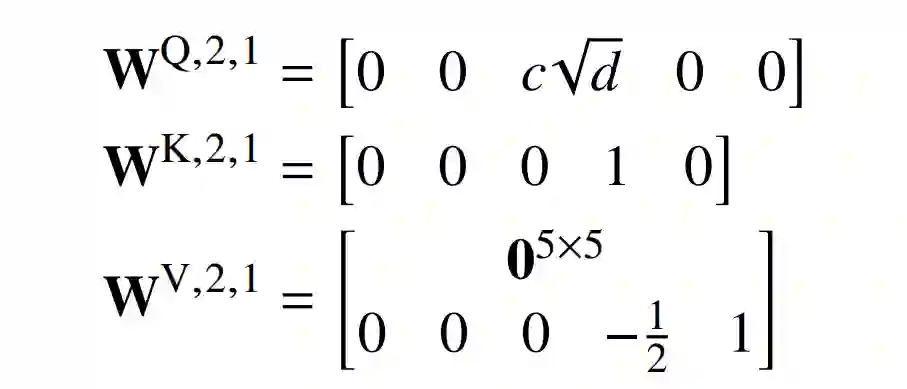
针对 FIRST 的 transformer

接下来,研究者为 FIRST 构建一个 transformer。根据学习每个位置词嵌入的常见做法(Gehring 等人,2017 年),他们使用位置编码来测试一个词是否在第 1 个位置 :


第一层 FFNN 计算一个新的组件(5)来测试是否 i = 1 以及 w_1 = 1。


第二个自注意力层只有一个单一的 head,这使得 CLS 关注于位置 1.


第二层 FFNN 什么都不做(W^F,2,1 = b^F,2,1 = W^F,2,2 = b^F,2,2 = 0)。所以在 CLS 处(位置 0 处):


最后输出层仅仅选择组件 6。


实验

文章使用 PyTorch 的 transformer 内置实现的修改版本(Paszke 等人,2019)实现了上述两种建构。这些构造对长度从 [1, 1000] 采样的字符串实现了完美的准确性。
 
然而,在下图 2 中,红色曲线(「没有做层归一化」)表明,随着字符串变长,交叉熵接近每个字符串 1 比特的最坏可能值。


层归一化

减轻或消除 Hahn 引理限制的第二种方法是层归一化 (Ba et al., 2016),对于任何向量 x,其定义为


实验中,𝛽 = 0 和𝛾 = 1,因此结果的均值近似为零和方差近似为 1。常数 𝜖 没有出现在原始定义中(Ba et al., 2016),但为了数值稳定性,我们知道的所有实现中都添加了常数𝜖。

原始的 transformer 在每个残差连接后立即执行层归一化。在本节中,研究者修改了上面的两个结构的层归一化。,这一修改有两个步骤。

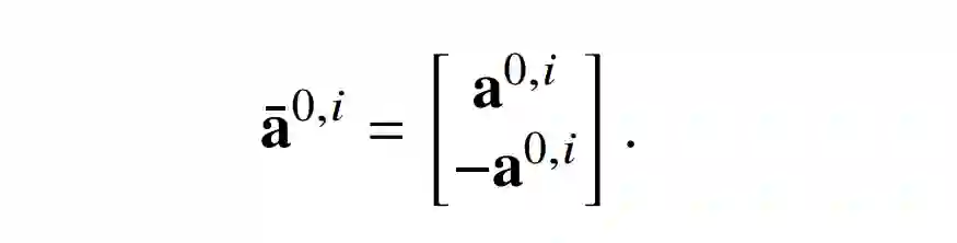
去除中心

第一个是通过使网络计算每个值𝑥以及 -𝑥来消除层归一化的中心效应。新单词的编码是根据原始结构中的编码定义的:


对于自注意力层的参数也是类似。


对于每个位置的 FFNN 参数也类似。


之后,每层的激活值为:


LN 的参数始终具有零均值,因此层标准化不会增加或减少任何内容。它确实缩放了激活,但在上面构建的两个 transformer 的情形中,任何激活层都可以按任何正数进行缩放,而不会改变最终决策。

减少交叉熵

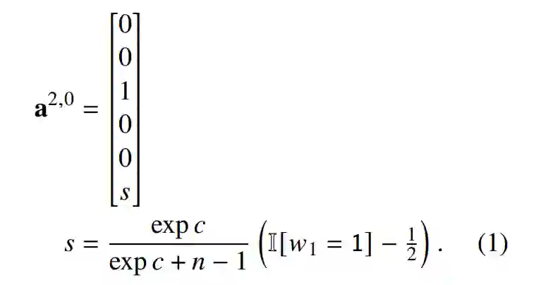
此外,在任何转换器中,我们可以在任意 transformer 中使用层归一化来将交叉熵缩小到想要的任意小,这与 Hahn 的引理 5 相反。在 Hahn 的公式中,像层归一化这样的位置相关的函数可以包含在他的 𝑓^act 中,但是 引理假设 𝑓^act 是 Lipschitz 连续的,而 ϵ = 0 的层归一化不是。

命题 2. 对于任何具有层归一化 (ϵ = 0) 并可以识别语言 L 的 transformer 𝑇,对任何 𝜂 > 0 而言,都存在一个可以以最多𝜂为交叉熵的、带有层归一化的识别语言 L 的 transformer。

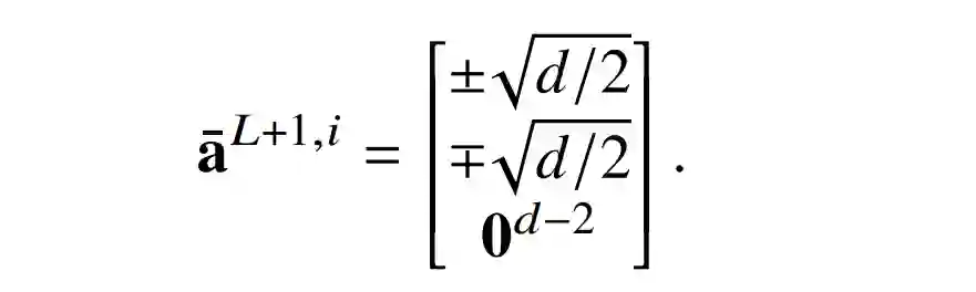
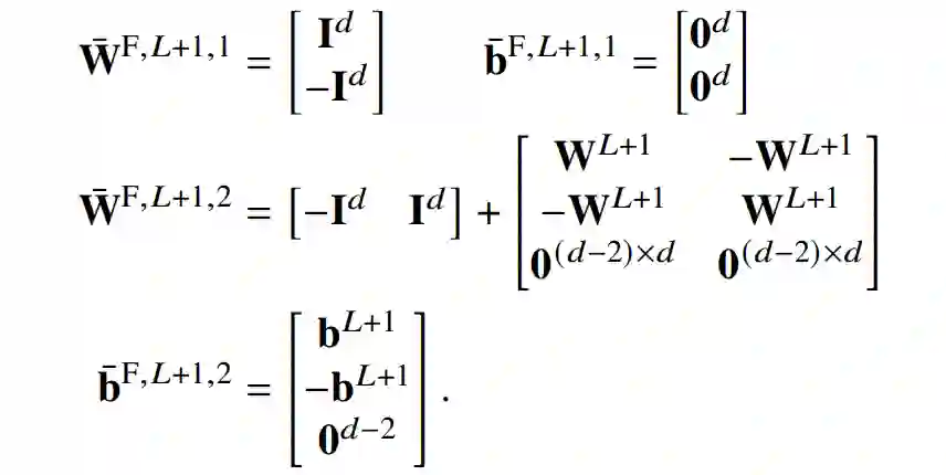
证明。让𝑑表示原始激活向量中的维数,𝐿是层数。然后添加一个新层,这个层中的自注意力不做任何事情 (W^V,𝐿+1,ℎ = 0),并且 FFNN 是根据原始输出层定义的:


这会导致残差连接除了 2 个维度外的所有维度为零,因此如果𝑠是原始输出 logit,则此新层的输出(层归一化之前)为


现在,如果 ϵ = 0,层归一化将该向量缩放到只具有单位方差,因此它变为:


新的输出层只是简单地选择第一维,并把它拓展到 c 倍。


实验

研究者测试了这一解决方案,它在层归一化时进行了如上修改。上图 2 显示 ϵ > 0 的层归一化提高了交叉熵,但它仍然随着 𝑛 增长并接近 1。

可学习性

在本节中,研究者将转向可学习性的问题,这时克服 Hahn 引理所提出的缺陷的第三种方法。

实验:标准的 transformer

研究者在 PARITY 和 FIRST 上训练 transformer。每个 transformer 都具有与对应的精确解相同的层数和头数以及相同的固定位置编码。与单词编码、自注意力相关的 FFNN 输出的𝑑_model 为 16,而与 FFNN 隐藏层相关的𝑑_FFNN 为 64。残差连接之后使用了层归一化(ϵ = 10^-5)。

实验使用 PyTorch 默认的初始化并使用 Adam (Kingma and Ba, 2015) 进行训练,学习率为 3 × 10^−4 (Karpathy, 2016)。实验没有使用 dropout,因为它似乎没有帮助。
 
FIRST 更容易学习,但坏消息是学习到的 transformer 不能很好地泛化到更长的句子。下图 4(左列)显示,当 transformer 在较短的字符串(𝑛 = 10、30、100、300)上从头开始训练并在较长的字符串(𝑛 = 1000)上进行测试时,准确度并不非常好。事实上,对于𝑛 = 10 上的训练,准确度和随机猜测类似。


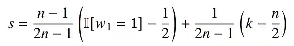
长度取对数后拓展的注意力

幸运的是,这个问题很容易通过以 log 𝑛的比例缩放每个注意力层的 logits 来解决,即将注意力重新定义为


然后使用 c = 1 下的针对 FIRST 的 Flawed transformer:


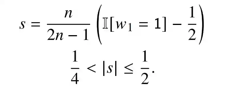
命题 3。对于任何 𝜂 > 0,都存在一个带有如公式 2 所定义的注意力的 transformer,它无论有无层归一化,都可以以最多𝜂的交叉熵来识别 FIRST 语言。

证明。当没有层归一化时,3.3 节中描绘的模型中 c 设为 1,并对注意力的权重进行对数尺度的缩放,它可以将公式(1)中的 s 从公式(1)转化为:


实验:缩放的注意力

下图 4(右栏)的 tranformer 模型使用了 log n 为缩放因子的注意力。

我们可以在稀缺资源英语 - 越南语的机器翻译任务上使用开源 transformer 模型(即 Witwicky)时看到相似的效应(如下表 1 所示)。


当训练集和测试即得长度分布一样得时候,缩放注意力的 logits 没有显著的影响,但如果仅在只有中等甚至更短(小于 20)长度的句子上训练,而测试句子长度大于中等长度(大于 20),缩放注意力则提高了 1 个 BLEU 分数,这在统计上已经很显著了(p 值小于 0.01)。

感兴趣的读者可以阅读论文原文,了解更多研究细节。


© THE END 

转载请联系本公众号获得授权

投稿或寻求报道:[email protected]

登录查看更多
1

相关内容

Transformer是谷歌发表的论文《Attention Is All You Need》提出一种完全基于Attention的翻译架构

知识荟萃

精品入门和进阶教程、论文和代码整理等

更多

查看相关VIP内容、论文、资讯等
【ICLR2022】Transformers亦能贝叶斯推断
专知会员服务
25+阅读 · 2021年12月23日
专知会员服务
22+阅读 · 2021年10月8日
专知会员服务
61+阅读 · 2021年5月28日
专知会员服务
28+阅读 · 2021年5月2日
少即是多?非参数语言模型,68页ppt
专知会员服务
24+阅读 · 2020年11月22日
【ICML2020】统一预训练伪掩码语言模型
专知会员服务
27+阅读 · 2020年7月23日
评估语言模型的句法能力
TensorFlow
1+阅读 · 2022年1月11日
我用Transformer修复代码bug
夕小瑶的卖萌屋
1+阅读 · 2021年9月9日
进一步改进GPT和BERT:使用Transformer的语言模型
机器之心
16+阅读 · 2019年5月1日
BERT-预训练的强大
微信AI
61+阅读 · 2019年3月7日
深入理解LSTM网络
深度学习
17+阅读 · 2017年6月7日
国家自然科学基金
3+阅读 · 2015年12月31日
国家自然科学基金
1+阅读 · 2015年12月31日
国家自然科学基金
1+阅读 · 2015年12月31日
国家自然科学基金
0+阅读 · 2013年12月31日
国家自然科学基金
1+阅读 · 2013年12月31日
国家自然科学基金
11+阅读 · 2012年12月31日
国家自然科学基金
0+阅读 · 2012年12月31日
国家自然科学基金
0+阅读 · 2012年12月31日
国家自然科学基金
1+阅读 · 2009年12月31日
国家自然科学基金
0+阅读 · 2009年12月31日
Arxiv
0+阅读 · 2022年4月17日
Arxiv
17+阅读 · 2021年3月29日
Arxiv
15+阅读 · 2021年2月19日
VIP会员
最新内容
战略前沿人工智能的再思考(中文)
专知会员服务
5+阅读 · 5月29日
《量化地基防空系统间接效应的博弈论方法》
专知会员服务
5+阅读 · 5月29日
“史诗怒火行动”中美军损失的作战飞机
专知会员服务
5+阅读 · 5月29日
ICML 2026 | 理解上下文持续学习中的泛化与遗忘
专知会员服务
5+阅读 · 5月28日
Agent Harness综述:大模型智能体执行器工程全景
专知会员服务
14+阅读 · 5月28日
《基于理论的威慑效能评估》
专知会员服务
8+阅读 · 5月28日
相关VIP内容
【ICLR2022】Transformers亦能贝叶斯推断
专知会员服务
25+阅读 · 2021年12月23日
专知会员服务
22+阅读 · 2021年10月8日
专知会员服务
61+阅读 · 2021年5月28日
专知会员服务
28+阅读 · 2021年5月2日
少即是多?非参数语言模型,68页ppt
专知会员服务
24+阅读 · 2020年11月22日
【ICML2020】统一预训练伪掩码语言模型
专知会员服务
27+阅读 · 2020年7月23日
相关资讯
评估语言模型的句法能力
TensorFlow
1+阅读 · 2022年1月11日
我用Transformer修复代码bug
夕小瑶的卖萌屋
1+阅读 · 2021年9月9日
进一步改进GPT和BERT:使用Transformer的语言模型
机器之心
16+阅读 · 2019年5月1日
BERT-预训练的强大
微信AI
61+阅读 · 2019年3月7日
深入理解LSTM网络
深度学习
17+阅读 · 2017年6月7日
相关基金
国家自然科学基金
3+阅读 · 2015年12月31日
国家自然科学基金
1+阅读 · 2015年12月31日
国家自然科学基金
1+阅读 · 2015年12月31日
国家自然科学基金
0+阅读 · 2013年12月31日
国家自然科学基金
1+阅读 · 2013年12月31日
国家自然科学基金
11+阅读 · 2012年12月31日
国家自然科学基金
0+阅读 · 2012年12月31日
国家自然科学基金
0+阅读 · 2012年12月31日
国家自然科学基金
1+阅读 · 2009年12月31日
国家自然科学基金
0+阅读 · 2009年12月31日
Top
微信扫码咨询专知VIP会员