图像超分辨率网络:RCAN

2019 年 8 月 18 日 极市平台

加入极市专业CV交流群,与6000+来自腾讯,华为,百度,北大,清华,中科院等名企名校视觉开发者互动交流!更有机会与李开复老师等大牛群内互动!

同时提供每月大咖直播分享、真实项目需求对接、干货资讯汇总,行业技术交流。关注 极市平台 公众号 ,回复 加群,立刻申请入群~


01 存在问题


(1)、观察到图像SR的非常深的网络更难以训练,以及简单地堆叠残差块以构建更深的网络几乎无法获得更好的改进。更深层次的网络是否能进一步促进图像SR的性能,以及如何构建非常深的可训练网络,仍有待探讨。 


(2)、图像SR可以看作是这样一个过程:试图恢复尽可能多的高频信息。LR图像包含大多数低频信息,这些信息可以直接传递到最终的HR输出,不需要太多的计算。 


(3)、基于CNN的很多方法(例如,EDSR )将从原始LR输入中提取特征,但这些信息在信道上被平等对待。这样的过程会浪费不必要的计算以获得丰富的低频特征,缺乏跨特征通道的判别性学习能力,最终阻碍了CNN的表示能力。


02 主要贡献


(1)提出了一种非常深的残差信道注意网络(RCAN),用于高精度的图像SR。RCAN的深度可以构造的比以前基于CNN的网络更深,并获得更好的SR性能。 

(2)提出了Residual in Residual结构(RIR)来构建非常深的可训练网络。RIR中的长跳和短跳连接有助于传递丰富的低频信息,使主网络学习到更有效的信息。 

(3)提出了信道注意(CA)机制,通过考虑特征信道之间的相互依赖性自适应地调整特征。这种CA机制进一步提高了网络的表达能 力。


03 网络结构



RCAN主要由四部分组成:浅特征提取、residual in residual (RIR) 深度特征提取、上采样模块和重建部分。假设I(LR)和I(SR)表示为RCAN的输入和输出。 

(1)、浅特征提取:仅使用一个卷积层(conv)从LR输入中提取浅特征F0(其中Hsf表示卷积运算,F0用于RIR模块的深度特征提取):

(2)、residual in residual (RIR) 深度特征提取(Hrir表示的是RIR模块,包括G个残差组):


(3)、上采样模块(Hup表示上采样的算法,Fup表示上采样之后得到的特征图):


有几种选择可用作上采样的模块,例如反卷积层(也称为转置卷积),最近邻上采样+ 

卷积以及ESPCN的亚像素卷神经网络。 

(4)、重建,通过一个Conv层重建升级的特征:

(5)、损失函数:超分辨loss有l1,l2,gan的loss以及纹理结构perceptual loss,为了保证有效性,选择了L1 loss:


04 网络的细节


(1)、Residual in Residual (RIR):


    RIR结构包含G个residual组(RG)和长跳跃连接(LSC),每一个RG包含B个具有短跳跃连接的残差通道注意块(RCAB),这种RIR的结构能够使高性能的图像SR算法训练的更深(超过400层)。第G组中的RG表示如下:

Hg表示的是第G个RG,Fg-1和Fg分别是第G个RG的输入和输出,作者发现,简单地堆叠多个RG将无法获得更好的性能。为了解决这个问题,在RIR中进一步引入了长跳跃连接(LSC),以稳定训练深的网络。LSC表示如下:

表达式中,Wlsc为最后一个RIR模块后接的一个conv层的权重,为了简单起见,省略了偏置项。

LSC不仅可以简化RG之间的信息流,而且可以在粗略的级别学习残差信息。在LR输入和特征包含着丰富的信息,SR网络的目标是恢复更多有用的信息。丰富的低频信息可以通过跳跃连接传输到后面。 

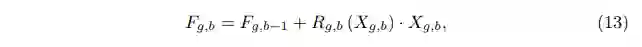
此外,每个RG中堆叠B个残差信道注意块。第g个RG中的第b个残留信道关注块(RCAB)可以表示为:

Fg,b-1和Fg,b表示的是第g个RG中的第b个RCAB的输入和输出,与RG块类似,这B个残差信道注意块也具有跳跃连接,称为短跳跃连接(SSC):

Wg是第g个RB模块尾部的一个conv的权重。LSC和SSC的存在,使更丰富的低频信息在训练过程流动到更深层。


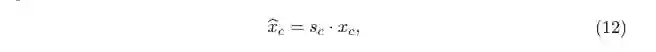
(2)、Channel Attention (CA)


    以前基于CNN的SR方法对LR信道特征的处理是相同的,这在实际情况中并不灵活。为了使网络专注于更多信息特征,利用特征信道之间的相互依赖性,形成信道注意力机制。如下图所示:

使用全局平均池来将通道的全局空间信息转换为通道描述符,也就是获取1x1xc的特征图,然后压缩成1x1xc/r的特征图,接着再恢复回1x1xc,最后再通过一个sigmoid激活函数获取1x1xc的表示每个通道的权值的描述符,最后各通道权重值分别和原特征图对应通道的二维矩阵相乘。(f表示sigmoid,δ表示relu,s是通道的权重,Xc是全局平均池化前的特征图): 



(3)、Residual Channel Attention Block (RCAB)



将CA集成到RB中并提出残余信道注意块(RCAB)(如上图)。对于第g个RG中的第b个RB,表示如下(Rg,b表示的是CA函数模块,fg,b−1与fg,b分别表示的是输入和输出,Xg,b表示的是残差块中的2个堆叠的卷积):


05实验部分


    RIR模块G=10个,每个RIR中,RCAB设为20个,对于卷积层,除了通道缩减和通道扩展中的内核大小为1×1,其他的用3x3的filter并使用零填充策略来保持大小固定, 浅层特征提取和RIR结构中的Conv层具有C = 64个filter, 通道缩减中的Conv层具有C / r = 4filter,其中缩减率r设置为16,上采样模块使用亚像素卷积,最后的卷积层有3个filter,表示输出为彩色图像。 


urban100和manga109数据集上4×SR,相关模型的效果:


urban100和manga109数据集上8×SR,相关模型的效果 :

模型定量结果。最佳和次优结果:


代码地址 


网络结构的代码详见: 

https://github.com/cswhshi/super-resolution/blob/master/RCAN.py 

欢迎大家指正和star~ 

参考: 

https://arxiv.org/pdf/1807.02758.pdf



-完-



*延伸阅读




添加极市小助手微信(ID : cv-mart),备注:研究方向-姓名-学校/公司-城市(如:目标检测-小极-北大-深圳),即可申请加入目标检测、目标跟踪、人脸、工业检测、医学影像、三维&SLAM、图像分割等极市技术交流群,更有每月大咖直播分享、真实项目需求对接、干货资讯汇总,行业技术交流一起来让思想之光照的更远吧~


△长按添加极市小助手


△长按关注极市平台


觉得有用麻烦给个在看啦~  

登录查看更多
7

相关内容

图像超分辨率(SR)是提高图像分辨率的一类重要的图像处理技术以及计算机视觉中的视频。
CVPR2020 | 商汤-港中文等提出PV-RCNN:3D目标检测新网络
专知会员服务
45+阅读 · 2020年4月17日
【CVPR2020】MSG-GAN:用于稳定图像合成的多尺度梯度GAN
专知会员服务
29+阅读 · 2020年4月6日
【ICLR-2020】网络反卷积,NETWORK DECONVOLUTION
专知会员服务
39+阅读 · 2020年2月21日
基于深度学习的超分辨率图像技术一览
极市平台
17+阅读 · 2019年8月24日
基于关系网络的视觉建模:有望替代卷积神经网络
微软研究院AI头条
10+阅读 · 2019年7月12日
CVPR 2019 | 用异构卷积训练深度CNN:提升效率而不损准确度
Heterogeneous Deep Graph Infomax
Arxiv
12+阅读 · 2019年11月19日
Deep Co-Training for Semi-Supervised Image Segmentation
Arxiv
6+阅读 · 2019年7月11日
Deep Graph Infomax
Arxiv
17+阅读 · 2018年12月21日
Arxiv
5+阅读 · 2017年7月23日
VIP会员
最新内容
ICML2026 | 重新思考顺序知识编辑中的正则化
专知会员服务
1+阅读 · 5月27日
《用于兵力发展选项优先排序的成本效益模型》
AutoResearch AI综述:迈向AI驱动的科学发现自动化
《Palantir边缘人工智能》手册
专知会员服务
20+阅读 · 5月26日
美军“国防自主作战群”(DAWG)概念解析
专知会员服务
3+阅读 · 5月26日
“史诗怒火”行动中的无人机与反无人机作战
专知会员服务
16+阅读 · 5月25日
相关论文
Heterogeneous Deep Graph Infomax
Arxiv
12+阅读 · 2019年11月19日
Deep Co-Training for Semi-Supervised Image Segmentation
Arxiv
6+阅读 · 2019年7月11日
Deep Graph Infomax
Arxiv
17+阅读 · 2018年12月21日
Arxiv
5+阅读 · 2017年7月23日
Top
微信扫码咨询专知VIP会员