梯度下降(Gradient Descent)的收敛性分析

2022 年 3 月 10 日 PaperWeekly


©作者 | 黄秋实

单位 | 香港中文大学(深圳)

研究方向 | 智能电网



梯度下降是一种简单且常用的优化方法,它可以被用来求解很多可导的凸优化问题(如逻辑回归,线性回归等)。同时,梯度下降在非凸优化问题的求解中也占有一席之地。我们常听到神经网络(neural network),也常常使用梯度下降及其变种(如随机梯度下降,Adam 等)来最小化经验误差(empirical loss)。

不妨设可导的目标函数(objective function)为f(w),其中 w 为优化变量。对于优化问题(1):



我们可以使用如下算法进行求解:

  • 随机初始化优化变量  
  • 重复如下步骤直至收敛: ,其中 为优化步长

算法收敛后得到的 即为原优化问题的一个解。显然,对于凸优化问题,梯度下降可以让带领我们找到全局的最优解(global minima);但是对于非凸优化问题,梯度下降有很大的可能只能让我们得到一个局部最优(local minima)或者鞍点(saddle point)。
1. 在什么条件下,梯度下降可以保证 更新后的目标函数值 更小?
2. 优化步长 应该如何设定?可以随意选择吗?
3. 梯度下降的优化算法为什么可以收敛?收敛的速度又是多快呢?
为了回答以上问题,我们需要先回顾一些数学知识。



多元泰勒展开(multivariate Taylor expansion)

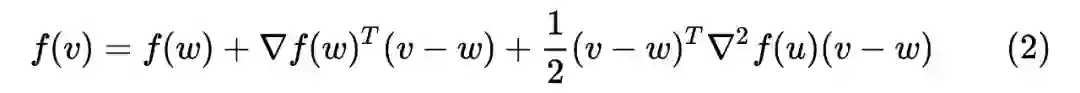
对于一个二阶可导的函数 ,它的泰勒展开可以表示为:



其中, 为函数定义域中任意两点, 众多凸组合(convex combination)中的一个( )。



Lipschitz 连续性


给定两个度量空间 是集合 X 上的测度, 是集合 Y 上的测度。一个从集合 X 到集合 Y 函数 满足 Lipschitz 连续,则存在一个常数 对于集合 X 中任意两点 有:



因此对于函数 ,若其满足 Lipschitz 连续,则对于任意两点 w 和 v,都满足:



一个函数 f(x) 满足 Lipschitz 连续,可以理解为该函数的变化速率受到了限制。这个变化速率的上界就被称为 Lipschitz 常数。函数梯度的 Lipschitz 连续性在实际情况中相对容易得到满足,因为真实世界中的数据的变化幅度并不大。这也是很多其他数据处理方法物理释义,例如应用数据低秩性与稀疏性的 Robust PCA 等用压缩感知方法。对于常用的机器学习模型,例如逻辑回归,SVM等方法,大多可以证明其损失函数的梯度在一定条件下满足 Lipschitz 连续性。但是对于深度学习模型,我们无法证明。


有了如上两个至关重要的数学知识,我们就可以开始回答最开始的问题了。我们首先去回答:在什么条件下,梯度下降可以保证 更新后的目标函数值 更小?



下降引理 (Descent Lemma)


对于一个二阶可导的函数 ,它的导数 满足 Lipschitz 连续,则它的 Hessian 矩阵满足:




我们可以从这个角度来理解式(5):首先,我们知道导数 变化最快的方向就是它的 Hessian 矩阵 绝对值最大特征值所对应的特征向量。由于 Hessian 矩阵 是对称矩阵(symmetric matrix),于是根据 Rayleigh quotient,我们就可以得到,对于任意 v 都满足:



因此,对于导数 满足 Lipschitz 连续的函数 ,它任意点 w 的 Hessian 矩阵 都满足 ,即式(5)。


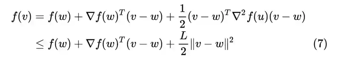
当我们对这样满足二阶可导,且导数 满足 Lipschitz 连续的函数 进行泰勒展开时,我们可以得到



式(7)就是很多梯度相关的优化算法收敛性证明中常用的下降引理。

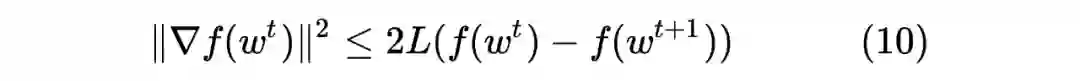
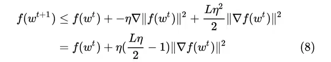
应用下降引理,我们就可以直接回答当前的问题了。我们将梯度下降的更新公式 代入式(7)中,我们就可以得到:



从式(8)中,我们可以看到,由于 ,所以当 时(即 ),我们就可以保证梯度下降算法的更新过程中,目标函数值的大小始终保持单调递减(非严格)的状态。并且当优化步长选取 时, 目标函数值缩减的速度最快(读者可以自行验证)。因此,我们可以看到选择最优的优化步长其实就是在估计目标函数的 Lipschitz 常数。



梯度下降的收敛性与收敛速度


在上面的论述中,我们已经回答了梯度下降算法为什么可以优化目标函数,让每一步优化得到的结果的目标函数的函数值更小。同时我们也给出了如何选择优化步长的指标。现在我们就来回答,为什么梯度下降的优化算法可以收敛?它的收敛速度又是多少?


梯度下降算法收敛性的证明依赖于如下三个条件:


  • 目标函数的梯度 满足 Lipschitz 连续 
  • 目标函数 ,即目标函数有一个下界 
  • 优化步长  


我们来简单分析一下这三个条件:条件(1)和条件(3)使得下降引理成立,保证了梯度下降算法在优化目标函数过程中的正确性。同时,条件(3)也使得梯度下降算法处于收敛速度最快的状态,这有助于我们对算法收敛速度进行计算。条件(2)是一个不可或缺的条件,它保证了原始的优化问题存在可行解。例如,当 时,我们可以看到这个优化问题并不存在可行解;而当 时,这个优化问题就存在唯一可行解 。

我们注意到我们平时常用的损失函数,例如交叉熵,均方误差等,在一定的范围内(部分损失函数会依赖于一个好的初始值的选择)都可以满足以上三个条件。


首先我们证明梯度下降的收敛性。对于梯度下降算法的收敛条件,我们可以遵循如下定义:



其中 为任意常数, 是对应的收敛指标。根据优化定理,我们将优化步长 代入式(8),进而可以得到:



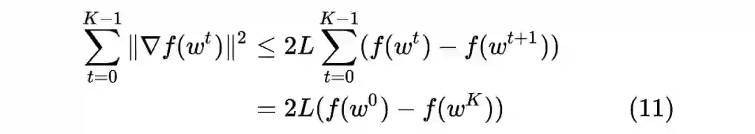
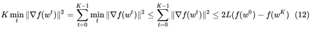
因此,当我们将前 K 步的 进行加和时,我们可以(神奇的)得到:



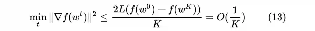
但是式(11)左侧的部分仍和 t 相关,我们可以通过放缩来去除它们与 t 之间的相关性。我们将每一个 放缩成为 进而得到:



于是,我们就得到了,从 的一共 步, 个梯度中,至少存在一个最小的梯度满足



由式(13),我们知道:虽然我们无法保证梯度下降的更新过程中每一步的 都随着算法迭代次数的增加而减小;但是对于收敛指标为 的情况下,算法可以保证在 步之内收敛。同时,对于任意给定的收敛指标 ,我们可以保证算法在 步之内收敛。

文章部分内容参考 [1] ,Lipschitz 连续性部分参考 [2]


参考文献

[1] CPSC 540 - Machine Learning (January-April, 2018) https://www.cs.ubc.ca/~schmidtm/Courses/540-W18/
[2] Lipschitz_continuity https://en.wikipedia.org/wiki/Lipschitz_continuity


更多阅读




#投 稿 通 道#

 让你的文字被更多人看到 



如何才能让更多的优质内容以更短路径到达读者群体,缩短读者寻找优质内容的成本呢?答案就是:你不认识的人。


总有一些你不认识的人,知道你想知道的东西。PaperWeekly 或许可以成为一座桥梁,促使不同背景、不同方向的学者和学术灵感相互碰撞,迸发出更多的可能性。 


PaperWeekly 鼓励高校实验室或个人,在我们的平台上分享各类优质内容,可以是最新论文解读,也可以是学术热点剖析科研心得竞赛经验讲解等。我们的目的只有一个,让知识真正流动起来。


📝 稿件基本要求:

• 文章确系个人原创作品,未曾在公开渠道发表,如为其他平台已发表或待发表的文章,请明确标注 

• 稿件建议以 markdown 格式撰写,文中配图以附件形式发送,要求图片清晰,无版权问题

• PaperWeekly 尊重原作者署名权,并将为每篇被采纳的原创首发稿件,提供业内具有竞争力稿酬,具体依据文章阅读量和文章质量阶梯制结算


📬 投稿通道:

• 投稿邮箱:[email protected] 

• 来稿请备注即时联系方式(微信),以便我们在稿件选用的第一时间联系作者

• 您也可以直接添加小编微信(pwbot02)快速投稿,备注:姓名-投稿


△长按添加PaperWeekly小编




🔍


现在,在「知乎」也能找到我们了

进入知乎首页搜索「PaperWeekly」

点击「关注」订阅我们的专栏吧



·

登录查看更多
2

相关内容

NeurIPS 2021 | 用简单的梯度下降算法逃离鞍点
专知会员服务
24+阅读 · 2021年12月6日
深度学习激活函数全面综述论文
专知会员服务
72+阅读 · 2021年10月1日
专知会员服务
19+阅读 · 2021年8月15日
专知会员服务
12+阅读 · 2021年7月4日
专知会员服务
20+阅读 · 2020年12月9日
【Google】梯度下降,48页ppt
专知会员服务
81+阅读 · 2020年12月5日
【NeurIPS2020-北大】非凸优化裁剪算法的改进分析
专知会员服务
29+阅读 · 2020年10月11日
交替方向乘子法(ADMM)算法原理详解
PaperWeekly
5+阅读 · 2022年1月21日
激活函数还是有一点意思的!
计算机视觉战队
12+阅读 · 2019年6月28日
从泰勒展开来看梯度下降算法
深度学习每日摘要
13+阅读 · 2019年4月9日
面试时让你手推公式不在害怕 | 梯度下降
计算机视觉life
14+阅读 · 2019年3月27日
详解常见的损失函数
七月在线实验室
20+阅读 · 2018年7月12日
干货 | 深度学习之损失函数与激活函数的选择
机器学习算法与Python学习
15+阅读 · 2017年9月18日
国家自然科学基金
1+阅读 · 2015年12月31日
国家自然科学基金
0+阅读 · 2015年12月31日
国家自然科学基金
0+阅读 · 2013年12月31日
国家自然科学基金
0+阅读 · 2013年12月31日
国家自然科学基金
0+阅读 · 2012年12月31日
国家自然科学基金
0+阅读 · 2012年12月31日
国家自然科学基金
2+阅读 · 2012年12月31日
国家自然科学基金
3+阅读 · 2011年12月31日
国家自然科学基金
1+阅读 · 2009年12月31日
国家自然科学基金
0+阅读 · 2008年12月31日
VIP会员
最新内容
《第四代军事特种作战部队选拔与评估》
专知会员服务
0+阅读 · 今天6:23
不对称优势上升:自主系统如何强化海上拒止
专知会员服务
0+阅读 · 今天5:51
《人工智能赋能电磁战》(报告)
专知会员服务
2+阅读 · 4月17日
【CMU博士论文】迈向可扩展的开放世界三维感知
相关VIP内容
NeurIPS 2021 | 用简单的梯度下降算法逃离鞍点
专知会员服务
24+阅读 · 2021年12月6日
深度学习激活函数全面综述论文
专知会员服务
72+阅读 · 2021年10月1日
专知会员服务
19+阅读 · 2021年8月15日
专知会员服务
12+阅读 · 2021年7月4日
专知会员服务
20+阅读 · 2020年12月9日
【Google】梯度下降,48页ppt
专知会员服务
81+阅读 · 2020年12月5日
【NeurIPS2020-北大】非凸优化裁剪算法的改进分析
专知会员服务
29+阅读 · 2020年10月11日
相关资讯
交替方向乘子法(ADMM)算法原理详解
PaperWeekly
5+阅读 · 2022年1月21日
激活函数还是有一点意思的!
计算机视觉战队
12+阅读 · 2019年6月28日
从泰勒展开来看梯度下降算法
深度学习每日摘要
13+阅读 · 2019年4月9日
面试时让你手推公式不在害怕 | 梯度下降
计算机视觉life
14+阅读 · 2019年3月27日
详解常见的损失函数
七月在线实验室
20+阅读 · 2018年7月12日
干货 | 深度学习之损失函数与激活函数的选择
机器学习算法与Python学习
15+阅读 · 2017年9月18日
相关基金
国家自然科学基金
1+阅读 · 2015年12月31日
国家自然科学基金
0+阅读 · 2015年12月31日
国家自然科学基金
0+阅读 · 2013年12月31日
国家自然科学基金
0+阅读 · 2013年12月31日
国家自然科学基金
0+阅读 · 2012年12月31日
国家自然科学基金
0+阅读 · 2012年12月31日
国家自然科学基金
2+阅读 · 2012年12月31日
国家自然科学基金
3+阅读 · 2011年12月31日
国家自然科学基金
1+阅读 · 2009年12月31日
国家自然科学基金
0+阅读 · 2008年12月31日
Top
微信扫码咨询专知VIP会员