微软旷视人脸识别100%失灵!北京十一学校校友新研究「隐身衣」,帮你保护照片隐私数据

2020 年 7 月 23 日 量子位
萧箫 鱼羊 发自 凹非寺
量子位 报道 | 公众号 QbitAI

左图,右图,你能看出区别吗?

其实,算法已经悄悄给右边的照片加上了微小的修改。

但就是这样肉眼根本看不出来的扰动,就能100%骗过来自微软、亚马逊、旷视——全球最先进的人脸识别模型!

所以意义何在?

这代表着你再也不用担心po在网上的照片被某些软件扒得干干净净,打包、分类,几毛钱一整份卖掉喂AI了。

这就是来自芝加哥大学的最新研究:给照片加上一点肉眼看不出来的修改,就能让你的脸成功「隐形」。

如此一来,即使你在网络上的照片被非法抓取,用这些数据训练出来的人脸模型,也无法真正成功识别你的脸。

给照片穿上「隐身衣」

这项研究的目的,是帮助网友们在分享自己的照片的同时,还能有效保护自己的隐私。

因此,「隐身衣」本身也得「隐形」,避免对照片的视觉效果产生影响。

也就是说,这件「隐身衣」,其实是对照片进行像素级别的微小修改,以蒙蔽AI的审视。

其实,对于深度神经网络而言,一些带有特定标签的微小扰动,就能够改变模型的「认知」。

比如,在图像里加上一点噪声,熊猫就变成了长臂猿:

Fawkes就是利用了这样的特性。

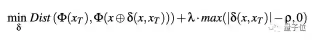
用 x 指代原始图片,xT为另一种类型/其他人脸照片,φ 则为人脸识别模型的特征提取器。

具体而言,Fawkes是这样设计的:

第一步:选择目标类型 T

指定用户 U,Fawkes的输入为用户 U 的照片集合,记为 XU

从一个包含有许多特定分类标签的公开人脸数据集中,随机选取 K 个候选目标类型机器图像。

使用特征提取器 φ 计算每个类 k=1…K 的特征空间的中心点,记为 Ck

而后,Fawkes会在 K 个候选集合中,选取特征表示中心点与 XU 中所有图像的特征表示差异最大的类,作为目标类型 T。

第二步:计算每张图像的「隐身衣」

随机选取一幅 T 中的图像,为 x 计算出「隐身衣」δ(x, xT) ,并按照公式进行优化。

其中 |δ(x, xT)| < ρ。

研究人员采用DDSIM(Structural Dis-Similarity Index)方法。在此基础上进行隐身衣的生成,能保证隐身后的图像与原图在视觉效果上高度一致。

实验结果表明,无论人脸识别模型被训练得多么刁钻,Fawkes都能提供95%以上有效防护率,保证用户的脸不被识别。

即使有一些不小心泄露的未遮挡照片被加入人脸识别模型的训练集,通过进一步的扩展设计,Fawkes也可以提供80%以上的防识别成功率。

在Microsoft Azure Face API、Amazon Rekognition和旷视Face Search API这几个最先进的人脸识别服务面前,Fawkes的「隐身」效果则达到了100%。
       

目前,Fawkes已开源,Mac、Windows和Linux都可以使用。

安装简易方便

这里以Mac系统为例,简单介绍一下软件的使用方法。使用的笔记本是MacBook Air,1.1GHz双核Intel Core i3的处理器。

首先,我们从GitHub上下载压缩安装包,并进行解压。

接下来,把想要修改的所有照片放入一个文件夹里,并记住路径。

以桌面上的一个名为test_person的图片文件夹为例,里面我们放了三张照片,其中一张图片包含两个人。

这里的图片路径是~/Desktop/test_person,根据你的图片保存位置来确定。

接下来,打开启动台中的终端,进入压缩包所在的文件夹。

注意,如果MacOS是Catalina的话,需要先修改一下权限,以管理员身份运行,sudo spctl —master-disable就可以了。

这里我们的压缩包直接放在下载的文件夹里,直接cd downloads就行。

进入下载文件夹后,输入./protection -d 文件路径(文件路径是图片文件夹所在的位置,这里输入~/Desktop/test_person),运行生成图片的「隐身衣」。

嗯?不错,看起来竟然能识别一张图中的2个人脸。

缓慢地运行……

据作者介绍说,生成一张「隐身衣」的速度平均在40秒左右,速度还是比较快的。

如果电脑配置够好,应该还能再快点。

不过,双核的就不奢求了…我们耐心地等一下。

从时间看来,处理速度还算可以接受。

Done!

图中来看,生成3张图片的「隐身衣」,电脑用了大约7分钟(一定是我的电脑太慢了)

来看看生成的结果。

可以看见,文件夹中的3张图片,都生成了带有_low_cloaked的后缀名的图片。

虽然介绍里说,生成的后缀是_mid_cloaked的图片,不过软件提供的模式有「low」、「mid」、「high」、「ultra」、「custom」几种,所以不同的模式会有不同的后缀名。

以川普为例,来看看实际效果。

两张图片几乎没有差别,并没有变丑,川普脸上的皱褶看起来还光滑了一点。

这样,我们就能放心地将经过处理后的人脸照片放到网上了。

即使被某些不怀好意的有心之人拿去使用,被盗用的数据也并不是我们的人脸数据,不用再担心隐私被泄露的问题。

不仅如此,这个软件还能「补救」一下你在社交网站上晒出的各种人脸数据。

例如,你曾经是一名冲浪达人,之前会将大量的生活照po到社交网站上——

照片可能已经被软件扒得干干净净了……

不用担心。

如果放上这些经过处理后的图片,这些自动扒图的人脸识别模型会想要添加更多的训练数据,以提高准确性。

这时候,穿上「隐身衣」图片在AI看来甚至「效果更好」,就会将原始图像作为异常值放弃。

华人一作

论文的一作是华人学生单思雄,高中毕业于北京十一学校,目前刚拿到了芝加哥大学的学士学位,将于9月份入学攻读博士学位,师从赵燕斌教授和Heather Zheng教授。

作为芝加哥大学SAND Lab实验室的一员,他的研究主要侧重于机器学习和安全的交互,像如何利用不被察觉的轻微数据扰动,去保护用户的隐私。

从单同学的推特来看,他一直致力于在这个「透明」的世界中,为我们争取一点仅存的隐私。

论文的共同一作Emily Wenger同样来自芝加哥大学SAND Lab实验室,正在攻读CS博士,研究方向是机器学习与隐私的交互,目前正在研究神经网络的弱点、局限性和可能对隐私造成的影响。

项目链接:
https://github.com/Shawn-Shan/fawkes/tree/master/fawkes

论文链接:
http://people.cs.uchicago.edu/~ravenben/publications/pdf/fawkes-usenix20.pdf

参考链接:
https://www.theregister.com/2020/07/22/defeat_facial_recognition/

本文系网易新闻•网易号特色内容激励计划签约账号【量子位】原创内容,未经账号授权,禁止随意转载。

“天问一号”今天发射,中国首个自主火星探测任务启动啦!

重磅推荐全网唯一给孩子的火星课,这个暑假,跟随航天专家和天问一号,深入火星,从探索史到航天知识全面了解。

限时折扣49元

周末截止,不要错过

👇👇👇


量子位 QbitAI · 头条号签约作者


վ'ᴗ' ի 追踪AI技术和产品新动态


喜欢就点「在看」吧 !


登录查看更多
0

相关内容

人脸识别,特指利用分析比较人脸视觉特征信息进行身份鉴别的计算机技术。广义的人脸识别实际包括构建人脸识别系统的一系列相关技术,包括人脸图像采集、人脸定位、人脸识别预处理、身份确认以及身份查找等;而狭义的人脸识别特指通过人脸进行身份确认或者身份查找的技术或系统。人脸识别是一项热门的计算机技术研究领域,它属于生物特征识别技术,是对生物体(一般特指人)本身的生物特征来区分生物体个体。生物特征识别技术所研究的生物特征包括脸、指纹、手掌纹、虹膜、视网膜、声音(语音)、体形、个人习惯(例如敲击键盘的力度和频率、签字)等...
专知会员服务
127+阅读 · 2020年8月7日
对抗样本生成技术综述
专知会员服务
67+阅读 · 2020年7月21日
【CVPR2020-北京大学】自适应间隔损失的提升小样本学习
专知会员服务
85+阅读 · 2020年6月9日
【SIGIR2020】用于冷启动推荐的内容感知神经哈希
专知会员服务
23+阅读 · 2020年6月2日
【浙江大学】对抗样本生成技术综述
专知会员服务
92+阅读 · 2020年1月6日
专知会员服务
38+阅读 · 2019年12月13日
生成式对抗网络GAN异常检测
专知会员服务
120+阅读 · 2019年10月13日
【学界】带了个对抗图像块,YOLOv2竟然无法识别我是人……
GAN生成式对抗网络
4+阅读 · 2019年4月24日
计算机视觉方向简介 | 人脸识别中的活体检测算法综述
计算机视觉life
9+阅读 · 2018年9月26日
AAAI 2018 行为识别论文概览
极市平台
18+阅读 · 2018年3月20日
Deflecting Adversarial Attacks
Arxiv
8+阅读 · 2020年2月18日
Foreground-aware Image Inpainting
Arxiv
4+阅读 · 2019年1月17日
Arxiv
3+阅读 · 2018年12月18日
Arxiv
3+阅读 · 2017年11月21日
Arxiv
3+阅读 · 2017年5月14日
VIP会员
最新内容
《第四代军事特种作战部队选拔与评估》
专知会员服务
1+阅读 · 今天6:23
不对称优势上升:自主系统如何强化海上拒止
专知会员服务
1+阅读 · 今天5:51
《人工智能赋能电磁战》(报告)
专知会员服务
2+阅读 · 4月17日
【CMU博士论文】迈向可扩展的开放世界三维感知
相关VIP内容
专知会员服务
127+阅读 · 2020年8月7日
对抗样本生成技术综述
专知会员服务
67+阅读 · 2020年7月21日
【CVPR2020-北京大学】自适应间隔损失的提升小样本学习
专知会员服务
85+阅读 · 2020年6月9日
【SIGIR2020】用于冷启动推荐的内容感知神经哈希
专知会员服务
23+阅读 · 2020年6月2日
【浙江大学】对抗样本生成技术综述
专知会员服务
92+阅读 · 2020年1月6日
专知会员服务
38+阅读 · 2019年12月13日
生成式对抗网络GAN异常检测
专知会员服务
120+阅读 · 2019年10月13日
Top
微信扫码咨询专知VIP会员