透过现象看本质,图解支持向量机

2019 年 11 月 30 日 机器之心

选自towardsdatascience

作者:Rohit Pandey

机器之心编译

参与:魔王、张倩

作者说:我以前一直没有真正理解支持向量机,直到我画了一张图。

1. 问题


支持向量机(SVM)旨在解决「分类」问题。数据通常包含一定数量的条目/行/点。现在,我们想对每个数据点进行分类。为简单起见,我们假设两个类别:「正类」和「负类」。这或许可以帮助解答以下问题:


  • 基于图像的像素数据,判断这张图像中是否有猫(有猫则标签为正类);

  • 基于邮件的主题、发送者、文本等,判断该邮件是否为垃圾邮件;

  • 判断某个病人是否患有某种疾病。


其精髓在于,当我们知道正确答案时,我们会想到一些将数据分为两类的规则(对于支持向量机而言,「规则」是画一个平面,一侧的所有点均为「正」,另一侧的所有点均为「负」)。当我们遇到不知道类别的新数据点时,我们使用规则对其进行分类。分类问题严重依赖约束优化,同时也是约束优化的一个直观示例。大家可以参考以下博客或吴恩达的文章。

  • 博客地址:https://towardsdatascience.com/lagrange-multipliers-with-pictures-and-code-ace8018dac5e

  • 吴恩达文章地址:http://cs229.stanford.edu/notes/cs229-notes3.pdf


1.1 图解


我以前一直没有真正理解支持向量机,直到我画了一张图。


我们可以看到特征空间中有一些点。为方便可视化,我们使用一个可在屏幕上观看的 2D 特征空间。该空间中散落着一些数据点,每个点具备二元标签((1/-1)。如下图所示,我们将绿色点看作正类,红色点看作负类,黄色点类别未知。如果让你猜测黄色点的标签,你会怎么选?你可能会发现其中一些点并不是那么容易确认类别。


图 1:2-D 分类问题。绿色点是正类,红色点是负类。你可以猜出黄色点的标签吗?(绘图工具:https://github.com/ryu577/pyray)


现在,如果我画一条紫色线将两个类别分割开,那么黄色点属于哪个类别就清晰多了(紫色线上方是绿色点,下方是红色点)。


图 2:画一条线,作为将正类标签和负类标签分割开来的「规则」。现在,我们可以使用该规则标注每个黄色点的类别。


然而,这条线并非唯一。有很多条紫色线可以将绿色点和红色点完美分割(见下图)。随着下图中紫色线的移动,某些黄色点就显得很微妙了(它们处于紫色线的不同侧,因此它们的类别取决于你选择使用哪条紫色线)。


图 3: 将红色点和绿色点完美分割的线有很多条。 那么我们应该选择哪一条呢?


问题在于,所有候选线中,哪一条是「最优」的?有一点很清楚:当上图中的紫色线接近右下角的红色点(critical point)时,其泛化效果不好,而当它远离那个点时,其分割效果要好得多。因此,这个红色点可以说明紫色线的分类效果,因此它是「关键点」。我们可以说,远离该红色点的线同样远离所有训练样本,而靠近该红色点的线最终的分类效果并不好。因此,离最近的训练样本较远的线才是优秀的分类器。


接下来,我们来看如何利用数学知识绘制分割线。


2. 绘制分割线


现在我们要(在 2D 空间中)画一条分割线(在更高维度的空间中,则为分割面)。那么这条线是什么呢?它是具备某种共性的点的无限集合。这些点满足一个特定公式。为了找到这个公式,我们先从最简单的线 x 轴开始。x 轴上所有点的位置向量存在什么共性?v_x = [x,0],即它们对应的 y 坐标均为 0。


也就是说,x 轴上每个点的位置向量与指向 y 轴方向的向量是正交(垂直)的。


这个说法可能看起来比较晦涩难懂,但是我们必须这么说,因为这种现象其实对所有线都成立,而并非只适用于 x 轴。我们希望将此说法泛化至任意线。现在每次挪动一小步,我们来看看穿过原点的线(如 x 轴)。如下图所示,只需将 x 轴旋转一定角度,就可以得到这些线。


图 4: 旋转 x 轴可以得到穿过原点的任意线。 这些线上的每个点都与橙色向量相垂直。


随着线的变化,与线相垂直的向量也在变化,但是所有线上每个点的位置向量都与某个向量垂直。我们把这个与线垂直的向量叫做 w。当我们改变 w 时,就可以捕捉到所有此类线。


注意,对于任意给定线而言,存在多个 w 值。如果我们将向量 w 扩展或缩小一定数值,该线上每个点的位置向量仍与向量 w 垂直。


图 5: 扩大或缩小正交 w 向量。


为什么不把 w 向量限制在大小为 1 呢?下文中,我们将 w 向量的大小设为 1。


现在我们已经将穿过原点的所有线都参数化了。那么那些没有穿过原点的线呢?我们将穿过原点的线移动一定量,即在该线法向量 w 的方向上移动 b。现在,w 与该线上每个点的位置向量的点积不为零,而是常量 b(参见下图)。w 向量是从原点指向紫色线的单位向量,且与紫色线垂直。A 即紫色线上与原点最接近的点。假设 OA 的距离是 -b。现在,考虑两个随机点 B 和 C(分别是图中绿色点和橙色点)。将 OB 或 OC 与单位向量 w 相乘,分别得到三角形 OAB 和 OAC 的底。

在这两种情况中,OA 为 -b。由于这两个点只是紫色线上的任意点,我们可以推断出,紫色线上的所有点均满足 w^T x+b=0(其中 x 表示紫色线上点的位置向量)。


图 6: 未穿过原点的线。


如果我们将不在该线上的点应用于上述公式呢?得到的结果不是零,而是从该点到紫色线的垂直距离(对于紫色线上的点而言也是如此,所以它们所对应的公式结果为零)。我们需要注意:这个结论仅适用于 |w|=1 的情况。下图清晰说明了这一结果。B 为不属于紫色线的任意点,B』』 为从 B 到紫色线的垂点,B』 为从 B 到 w 向量的垂点。从 B 到紫色线的垂直距离为 BB』』。但是由于 A-B』-B-B』』 是一个矩形,因此该垂直距离等于 AB』=OB』-OA。现在,OB』 是 B 的位置向量与 w 的点积。因此,如果 x 是 B 的位置向量,则 |OB』| = w^T x。这意味着 |AB』|=w^T x-(-b)(OA=-b)。因此从点 B 到紫色线的距离是:|AB』|=w^T x+b(该公式恰好是紫色线的公式)。


图 7: 将不在紫色线上的点应用于紫色线公式会发生什么? 我们得到该点与紫色线之间的垂直距离。


注意,在 w 指向方向一侧的所有点(如图 7 中的点 B)到紫色线的垂直距离为正值,而另一侧点的垂直距离为负值。


在 w 指向方向一侧的所有点均得到正类标签 (t_i=1),而另一侧的所有点均得到负类标签 (t_i=-1)。因此,如果我们将这些标签与垂直距离相乘,则所有点调整后的垂直距离均为正,前提是这些点均被紫色线正确分类(即具备正类标签的点在线一侧,具备负类标签的点在另一侧)。


3. 最佳分割线


现在到了 SVM 的重点了。我们将任意点到分割线的调整后垂直距离叫做「间距」(margin)。那么,对于任意给定分割线,所有点均具备间距(如果点被分割线正确分类,则间距为正,反之则间距为负)。我们想获取将正类和负类完美分割的线。也就是说,间距越大越好,即使是对于邻近界限(分割平面)的点。


那么,最大化所有间距(甚至是最接近分割线的点的间距)的分割平面应该能够很好地分割这些点。现在,给出 (w,b),第 i 个点的间距为:


间距公式。


其中 x_i 表示特征空间中的位置向量,t_i 表示标签:1 为正类,-1 为负类。


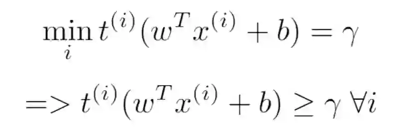
所有点中的最小间距为:


公式 1: 所有点中的最小间距。


我们想让 (w,b) 最大化上述最小间距。也就是:


即我们想让 (w,b) 满足 |w|=1,且最大化间距:


公式 2: SVM 目标函数。


注意:如果这条线没有分离数据,那么对于 (w,b),某些点的间距


间距公式。


为负。且这些点中的其中一个会在第一次最小化中「脱颖而出」,这意味着 (w,b) 无法在第二次 arg max 时胜出。因此,该公式保证了胜出的 (w,b) 能够分割数据。


公式 2 是一个优化问题,涉及最小化和最大化(mini-max)。解决一级优化总比二级优化要简单。因此,我们尝试将公式 2 转化为约束优化问题。


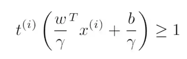
我们用 γ 表示所有点的最小间距。


公式 3: 约束。


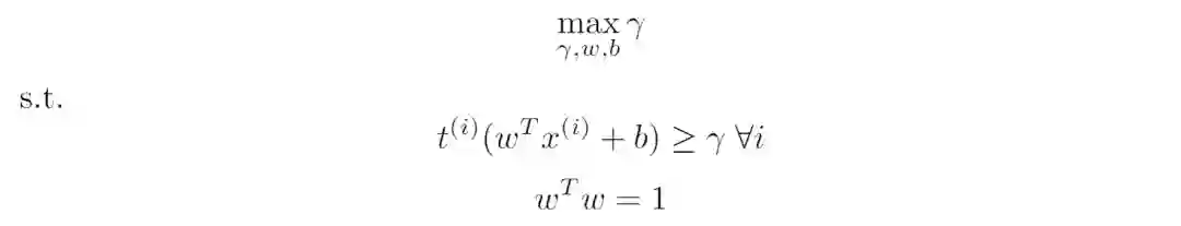
最终得到的优化问题为:


公式 4: SVM 优化问题。


上述优化问题具备二次/线性约束和线性目标函数。我们可以使用二次规划求解器(quadratic programming solver)和最优分割线/平面 (w,b) 解决该问题。


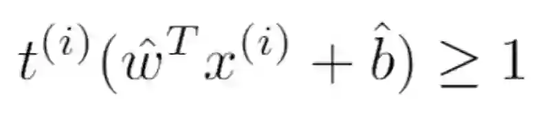
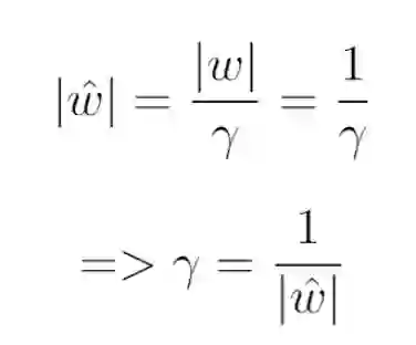
现在,我们来试着进一步简化该问题。我们发现可以去除 γ。其代价是,我们必须放弃 w^T w = 1 这一要求。但这是值得的。我们使用 γ 将约束分割为两部分,得到:


公式 5: 使用 γ 分割分割平面公式。


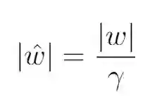
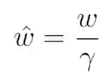
现在,使


引入新的 w 变量。


为两侧取绝对值:


取绝对值。


我们之前要求 |w|=1。这意味着:


因此,公式 3 变成了:


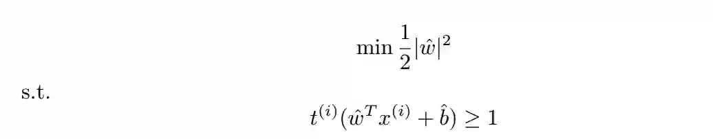
公式 5 和公式 6 使公式 4 中的优化问题变成了:


现在,优化问题有了一个丑陋的目标函数。但是最大化 1/|w| 等同于最小化 |w|,等同于最小化 |w|²。添加 1/2 使得计算更加简单。


因此,上述优化问题变为:


公式 7


现在,该优化问题具备二次目标函数和线性约束(线性约束二次规划,LCQP)。使用二次规划求解器即可解决该问题。


现在,我们知道如何通过解决优化问题找出最优分割线了。透过表面查看解决这类优化问题的真正机制,会帮助我们对该问题了解更多,具备更强大的洞察和见解。


文为机器之心编译,转载请联系本公众号获得授权
✄------------------------------------------------
加入机器之心(全职记者 / 实习生):[email protected]
投稿或寻求报道:content @jiqizhixin.com
广告 & 商务合作:[email protected]
登录查看更多
1

相关内容

最新《自动微分手册》77页pdf
专知会员服务
105+阅读 · 2020年6月6日
【ICML2020-哈佛】深度语言表示中可分流形
专知会员服务
13+阅读 · 2020年6月2日
斯坦福2020硬课《分布式算法与优化》
专知会员服务
123+阅读 · 2020年5月6日
干货书《数据科学数学系基础》2020最新版,266页pdf
专知会员服务
326+阅读 · 2020年3月23日
【经典书】Python数据数据分析第二版,541页pdf
专知会员服务
199+阅读 · 2020年3月12日
从零推导支持向量机 (SVM)
AI科技评论
10+阅读 · 2019年2月7日
知识点 | 全面理解支持向量机
机器学习算法与Python学习
10+阅读 · 2019年1月2日
【收藏】支持向量机原理详解+案例+代码!【点击阅读原文下载】
机器学习算法与Python学习
10+阅读 · 2018年9月13日
从示例中理解SVM算法(附代码)
论智
10+阅读 · 2018年5月10日
图解机器学习的常见算法
机器学习算法与Python学习
5+阅读 · 2018年4月2日
图解机器学习
深度学习世界
3+阅读 · 2017年11月24日
机器学习(27)【降维】之主成分分析(PCA)详解
机器学习算法与Python学习
9+阅读 · 2017年11月22日
机器学习(18)之支持向量机原理(三)线性不可分支持向量机与核函数
机器学习算法与Python学习
3+阅读 · 2017年9月23日
机器学习(16)之支持向量机原理(二)软间隔最大化
机器学习算法与Python学习
6+阅读 · 2017年9月8日
机器学习(15)之支持向量机原理(一)线性支持向量机
机器学习算法与Python学习
6+阅读 · 2017年9月1日
Arxiv
7+阅读 · 2019年10月6日
Arxiv
4+阅读 · 2018年9月6日
W-net: Bridged U-net for 2D Medical Image Segmentation
Arxiv
20+阅读 · 2018年7月12日
VIP会员
最新内容
超越网格:作战环境对炮兵的影响
专知会员服务
1+阅读 · 今天15:35
KDD 2026 | MixRAGRec:面向LLM推荐的混合专家KG-RAG框架
BES:让语言模型通过双向进化搜索自我改进
专知会员服务
4+阅读 · 5月30日
以色列-美国-伊朗战争中的无人机:关键要点
专知会员服务
4+阅读 · 5月30日
《Palantir任务保障性软件安全标准(MA-S2)》
专知会员服务
14+阅读 · 5月30日
基于声学的无人机检测技术综述
专知会员服务
8+阅读 · 5月30日
《当代混合战争分析框架:俄乌战争经验教训》
相关VIP内容
最新《自动微分手册》77页pdf
专知会员服务
105+阅读 · 2020年6月6日
【ICML2020-哈佛】深度语言表示中可分流形
专知会员服务
13+阅读 · 2020年6月2日
斯坦福2020硬课《分布式算法与优化》
专知会员服务
123+阅读 · 2020年5月6日
干货书《数据科学数学系基础》2020最新版,266页pdf
专知会员服务
326+阅读 · 2020年3月23日
【经典书】Python数据数据分析第二版,541页pdf
专知会员服务
199+阅读 · 2020年3月12日
相关资讯
从零推导支持向量机 (SVM)
AI科技评论
10+阅读 · 2019年2月7日
知识点 | 全面理解支持向量机
机器学习算法与Python学习
10+阅读 · 2019年1月2日
【收藏】支持向量机原理详解+案例+代码!【点击阅读原文下载】
机器学习算法与Python学习
10+阅读 · 2018年9月13日
从示例中理解SVM算法(附代码)
论智
10+阅读 · 2018年5月10日
图解机器学习的常见算法
机器学习算法与Python学习
5+阅读 · 2018年4月2日
图解机器学习
深度学习世界
3+阅读 · 2017年11月24日
机器学习(27)【降维】之主成分分析(PCA)详解
机器学习算法与Python学习
9+阅读 · 2017年11月22日
机器学习(18)之支持向量机原理(三)线性不可分支持向量机与核函数
机器学习算法与Python学习
3+阅读 · 2017年9月23日
机器学习(16)之支持向量机原理(二)软间隔最大化
机器学习算法与Python学习
6+阅读 · 2017年9月8日
机器学习(15)之支持向量机原理(一)线性支持向量机
机器学习算法与Python学习
6+阅读 · 2017年9月1日
Top
微信扫码咨询专知VIP会员