字节跳动Deep Retrieval召回模型笔记

2020 年 11 月 18 日 AINLP

今天讲讲字节的一个召回的文章:《Deep Retrieval: An End-to-End Learnable Structure Model for Large-Scale Recommendations》

召回因为候选集个数多,一般用MIPS的思路做,这样的问题在于:

1、向量最大内积模型表达 能力有限,缺少特征交互;

2、ANN的时候会通过聚类减小候选集(IVFAQ),但是这个聚类建立索引的过程,跟召回模型的训练是分开的,效果肯定不好;可能存在召回模型学好了,但是检索不出来的情况。

召回的时间复杂度:T*N <= Bound,目前的思路是在inference阶段减小候选集N(如TDM,beam search),这样就需要确定一个item的空间划分结构,这个结构是和模型训练阶段做joint learning的。因为空间结构是离散的,所以joint learning其实是一种EM算法,将空间结构当做是latent variable。细看,其实TDM也是这种范式,M step训练item embedding,E step通过聚类得到空间结构。

回到字节这篇paper DR上来

DR在item空间结构划分上,字节的DR用了一种矩阵结构,矩阵里面的路径对应item。

结构

使用一个D x K维的矩阵来作为索引结构。模型预测需要走D步,每一步有K种选择。走到最后会有K^D可能的路径(也可以叫做编码),每一条路径可以代表一个包含多个item的集合,每个item反过来也可以同时在多条路径的集合里面。路径可以看做是一个聚类结果。

不同的路径之间可能有交叉(有交叉的应该比较类似)

Objective

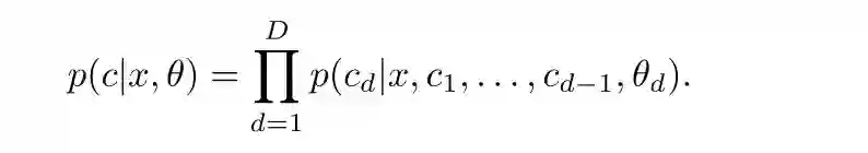
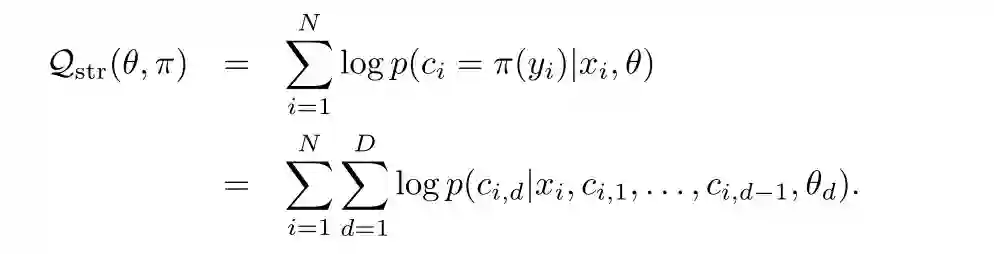
1、Structure Objective

每一层是一个MLP,输出K个概率,表示包含这个节点的概率,假设每个item对应的路径π固定。

1、emb(x)输入第一层MLP,生成K维的概率;

2、将路径上所有的embedding 全部concatenate起来,扔进去第d层的MLP内;

最后的概率是路径上所有概率的乘积:

如果每个节点表示一个类别,多个类别乘起来,不过这不是独立的,所以怪怪的。

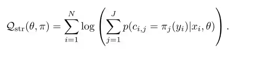
损失函数是log likehood,这里用(xi, yi)表示user,item,用π表示item->K^D条路径的映射。Π(yi)表示item yi对应的path

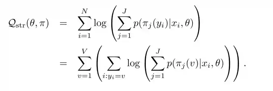
2、Multi-path structure Objective

每个节点属于多个路径,而不是单个,这是因为很多item都会被归到多个类里面去。比如巧克力和cake,既是food也是gift。而在TDM中,每个叶子节点只能表示一个item,一个item也只能包含在一个内部节点中。

DR将一个item对应J个path去。这个看到后面就很清楚了,其实一个item在EM算法的框架里面是可以对应K^D的路径的,但是每条路径对应的概率不同,现在是截断,取top J条。这里的π也表示item->path的路径,只不过现在有J个映射

Learning

这里面item对应的路径是离散的,无法通过梯度下降去优化。Item->path的映射可以与聚类有点类似。所以用EM算法 train

下面是一个整体流程:

其中:

表示item在这个路径上所有概率的加权(item对应所有user加权)

每个item v, 通过beam search,在每一层选出J个node,最后得到J个路径。遍历所有item后就得到了item->path的map π

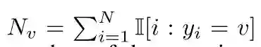
这里,将multi-path objective变换为遍历所有的item v,里面是item v对应的所有user->item pair

为了保证数值稳定性,这里用凸函数求了一个上界

其中

表示item v对应的user->item总数

正则化

DR这里的EM step貌似和我理解的是反的。我理解E step是得到隐含变量的概率(也就是item对应的top J path的概率);而M step是优化参数。字节的DR在E step是优化参数,M step是得到隐含变量的概率。在E step,优化的structure model可能出现overfit,导致某个path的概率很大;所以在M step,所有的item都到这个path去,导致无法聚类。所以在M step引入了path对应的item总数作为正则。

讨论

其实有几点的还是比较迷惑的,作者最后也说了

1、structure model的probability只是用了user侧的特征,没有用item的特征;

2、只是用了positive example来做;

还有一点是这个模型没法用item侧的特征,类似于YouTubeDNN,属于单侧建模


由于微信平台算法改版,公号内容将不再以时间排序展示,如果大家想第一时间看到我们的推送,强烈建议星标我们和给我们多点点【在看】。星标具体步骤为:

(1)点击页面最上方"AINLP",进入公众号主页。

(2)点击右上角的小点点,在弹出页面点击“设为星标”,就可以啦。

感谢支持,比心

欢迎加入推荐系统交流群
进群请添加AINLP小助手微信 AINLPer(id: ainlper),备注推荐系统

推荐阅读

这个NLP工具,玩得根本停不下来

征稿启示| 200元稿费+5000DBC(价值20个小时GPU算力)

完结撒花!李宏毅老师深度学习与人类语言处理课程视频及课件(附下载)

从数据到模型,你可能需要1篇详实的pytorch踩坑指南

如何让Bert在finetune小数据集时更“稳”一点

模型压缩实践系列之——bert-of-theseus,一个非常亲民的bert压缩方法

文本自动摘要任务的“不完全”心得总结番外篇——submodular函数优化

Node2Vec 论文+代码笔记

模型压缩实践收尾篇——模型蒸馏以及其他一些技巧实践小结

中文命名实体识别工具(NER)哪家强?

学自然语言处理,其实更应该学好英语

斯坦福大学NLP组Python深度学习自然语言处理工具Stanza试用

关于AINLP

AINLP 是一个有趣有AI的自然语言处理社区,专注于 AI、NLP、机器学习、深度学习、推荐算法等相关技术的分享,主题包括文本摘要、智能问答、聊天机器人、机器翻译、自动生成、知识图谱、预训练模型、推荐系统、计算广告、招聘信息、求职经验分享等,欢迎关注!加技术交流群请添加AINLPer(id:ainlper),备注工作/研究方向+加群目的。


阅读至此了,分享、点赞、在看三选一吧🙏

登录查看更多
7

相关内容

专知会员服务
38+阅读 · 2020年11月24日
专知会员服务
41+阅读 · 2020年10月17日
《常微分方程》笔记,419页pdf
专知会员服务
77+阅读 · 2020年8月2日
【论文推荐】文本摘要简述
专知会员服务
69+阅读 · 2020年7月20日
最全推荐系统Embedding召回算法总结
凡人机器学习
30+阅读 · 2020年7月5日
【论文笔记】基于强化学习的句子摘要排序
【论文笔记】基于LSTM的问答对排序
专知
12+阅读 · 2019年9月7日
赛尔笔记 | 一文读懂图神经网络
哈工大SCIR
84+阅读 · 2019年7月12日
推荐召回算法之深度召回模型串讲
AINLP
22+阅读 · 2019年6月14日
基于深度交叉特征的推荐系统
微信AI
9+阅读 · 2019年2月1日
Cascade R-CNN 论文笔记
统计学习与视觉计算组
8+阅读 · 2018年6月28日
深度学习入门笔记
论智
7+阅读 · 2018年3月31日
【干货】卷积神经网络CNN学习笔记
机器学习研究会
15+阅读 · 2017年12月17日
Arxiv
16+阅读 · 2021年1月27日
A survey on deep hashing for image retrieval
Arxiv
15+阅读 · 2020年6月10日
Arxiv
5+阅读 · 2018年5月1日
VIP会员
最新内容
美陆军设想无人系统司令部
专知会员服务
2+阅读 · 4月15日
【博士论文】已对齐人工智能系统的持久脆弱性
扭曲还是编造?视频大语言模型幻觉研究综述
专知会员服务
0+阅读 · 4月15日
《采用系统思维应对混合战争》125页
专知会员服务
5+阅读 · 4月15日
战争机器学习:数据生态系统构建(155页)
专知会员服务
7+阅读 · 4月15日
内省扩散语言模型
专知会员服务
6+阅读 · 4月14日
国外反无人机系统与技术动态
专知会员服务
4+阅读 · 4月14日
相关资讯
最全推荐系统Embedding召回算法总结
凡人机器学习
30+阅读 · 2020年7月5日
【论文笔记】基于强化学习的句子摘要排序
【论文笔记】基于LSTM的问答对排序
专知
12+阅读 · 2019年9月7日
赛尔笔记 | 一文读懂图神经网络
哈工大SCIR
84+阅读 · 2019年7月12日
推荐召回算法之深度召回模型串讲
AINLP
22+阅读 · 2019年6月14日
基于深度交叉特征的推荐系统
微信AI
9+阅读 · 2019年2月1日
Cascade R-CNN 论文笔记
统计学习与视觉计算组
8+阅读 · 2018年6月28日
深度学习入门笔记
论智
7+阅读 · 2018年3月31日
【干货】卷积神经网络CNN学习笔记
机器学习研究会
15+阅读 · 2017年12月17日
Top
微信扫码咨询专知VIP会员