封城明显见效!北大陈宝权团队面向新冠疫情的数据可视化分析与模拟预测

2020 年 2 月 11 日 新智元



  新智元推荐  

来源:PKU VisualComputingAndLearning

编辑:张佳

【新智元导读】新冠施虐近两月,是应该对疫情进行“回头看”的时候了;其实更重要的是“向前看”。北大陈宝权教授带着几位学生一起做了针对疫情的可视化分析,并采用传染病动力学模型对不同的防控措施与手段做了效果预测,该预测挑战了最近的《柳叶刀》论文和《Science》报道。戳右边链接上 新智元小程序 了解更多!


指导教师:陈宝权

模拟仿真:倪星宇、阮良旺、姚贺源、王梦迪

数据可视化:史明镒、蒋鸿达、宋振华、周强、葛彤

关键词:2019-nCov NCP 新冠疫情 数据可视化 疫情模拟


目录


导言


1. 疫情传播可视化总览

2. 疫情传播特点分析

    人口流动与疫情的不同阶段

    各省市传播差异

3. 疫情传播模拟

    基础的SEIR模型

    C-SEIR模型及其模拟分析

4. 总结


导言


2019年在武汉爆发的新型冠状病毒肺炎(国家卫健委简称NCP)传播迅猛,已被世界卫生组织(WHO)定为“国际关注的突发公共卫生事件”。对疫情的控制,自1月24日武汉宣布封城之后,各个省市也陆续通过启动重大突发公共卫生事件一级响应来控制人口流动;同时,各省市医疗队伍驰援武汉,武汉的防控措施也急速加强;但全国疫情,特别是湖北省的状况依然让人揪心。公众非常关心疫情的发展趋势,期待“拐点”的出现;疫情防控部门希望不断总结经验教训,评估现有措施的有效性。该疫情的发展成为了涉及到我国政治经济民生的一件大事。


此次病毒的传播到底如何从武汉向外传播?不同省市疫情的发展呈现怎样的差别?封城、社区化隔离等一系列措施对减缓疾病传播起到了多大的作用;更为重要的是,拐点何时出现?


我们的报告首先从已有数据的可视化来展示疫情传播特点,然后通过建立传染病动力学模型,评估疫情防控措施,提出建议并预警,同时预测疫情疾病走势,给疫情防控决策和大众行为作为参考。


1. 疫情传播可视化总览


通过热度图的方式,我们使用国家及各省市地区卫健委公布的地级市每日确诊数据[1],在图1.1中重现了NCP疫情的传播。容易发现,疫情的传播主要以武汉为中心向周围扩散,通过人口流动将病情传播至中心城市,北京、上海、广州等地,成为二级传播中心。


图1.1. 各省市疫情传播热度图( 1月21日至2月9日)


我们对全国、湖北及湖北以外的省市的新增感染人数可视化,容易发现,湖北以外各省,在1月31日前新增仍在不断增长,然后增速放缓,从2月4日开始有下降的趋势。而湖北省的新增人数仍没有明显的下降趋势,加上检测的瓶颈,报告的数据可能和实际的情况相比存在较大的噪声,疫情防控形势依然严峻。即使是湖北之外的其它省市,情况也各不相同,有些省市的情况亦不容小视,后面会展开分析。


图1.2. 湖北及湖北以外省市新增确诊人数的变化(1月24日至2月9日)


2. 疫情传播特点分析


人口流动与疫情的不同阶段


人口流动是疫情发展第一阶段输入型传染的主要因素,为了具体描述其影响,我们使用百度迁移所提供的人口流动数据[2],通过可视化春运期间从武汉流向全国各省市的人口规模(不包含港澳台数据)和全国感染病毒人数的分布,直观地观察两者间的联系。


疫情由湖北武汉华南海鲜市场开始传播,逐渐蔓延至全国。中国大陆各省份的颜色,反映了该省的确诊人数及来自武汉市的输入人流量。


图2.1. (左) 由武汉市流向各省市的输入人流量,(中) 1月31日各省市确诊感染总人数,(右) 2月9日各省市确诊感染总人数


通过对比图2.1(左)和图2.1(中),我们可以看到,在疫情初期,各省市感染总人数与春运期间由武汉市的输入人流量呈现强相关性;需要指出的是,武汉1月24日封城,考虑平均潜伏期7天,1月31日湖北外省市的确诊人群应该基本为输入型感染。但随着时间的推移,确诊人数分布图则发生了一定的变化(2.1(右))。我们推断,武汉封城之后,二次传染所造成的病毒传播越来越占主导地位,和各省市的人口密度,以及管控措施等密切相关。


各省市传播差异


为了更具体分析各省市之间的疫情传播差异,首先,我们针对湖北以外的省市,以从武汉输入人流规模为基准,与当地截止到2月9日的确诊人数进行对比。见图2.2:


图2.2. 湖北以外省市的武汉人口流入规模(相对值)与其确诊感染人数


从图2.2可以发现,各省市的武汉输入人流量规模与其确诊人数之间存在正相关,如图2.1(中)一样,验证了人口流动是疫情初期传播的主要原因之一。然而,有些异常值出现,代表了疫情传播比较特殊的几个省份。


为了更好地观察这些差异,我们对确诊人数做数据归一化,将每个省市确诊总人数分别除以武汉输入人数规模和该省市总人口,得到两个曲线,见图2.3:


图2.3.截止2月9日,各省市确诊人数分别除以武汉输入人数规模以及该省市总人口数


对于单人感染率较高的省市(图2.3 蓝色曲线),如浙江省、北京市、上海市、广东省,虽然确诊人数不是最多,但是发病率却相对较高,原因是这些省市都属于商务旅游集中、人流密集、流动性大的城市,因此造成传染性高于其他地区。有些省份公布了二次传播人数,黑龙江省的二次传染比例最高,有报道表示,至2月6日,黑龙江发生48起聚集性疫情传播,共导致发病193例。


二次传播在疫情传播第二阶段中占主导地位,对于目前聚集性传播的高发地区,采用更严格的隔离措施避免疫情的爆发型增长,是行之有效的方法。但后续疫情传播的走向具体如何,哪些因素更为关键,我们接下来采用传染病传播模型来做数字模拟和分析。


3. 疫情传播模拟 


基础的SEIR模型


1月31日,国际知名医学期刊《柳叶刀》发表了中国香港科学家的工作[3]。在该文中,作者采用了传染病动力学中经典的SEIR模型来进行模拟。该模型将人群分为易感人群(Susceptible)、已被感染但无症状处于潜伏期的人群(Exposed)、已表现出症状但未被隔离的患病人群(Infectious)、康复人群(Recovered)四类(模型把死亡人数也归到R中)。并假设他们之间按一定概率转移。其状态转移图如下:


图3.1.SEIR传染病动力模型


该模型所涉及的参数主要为:可再生数R0、平均潜伏期时间DE和平均收治时间DI。其中,后两种参数均可直接从官方发布中获得,而R0,即一名被感染者平均每天传染到的人数,其值较难估计。文章使用了2019年12月31日至2020年1月28日的感染人数数据,并根据境外(除香港)受感染人数及国际航班从武汉出境人数反推得R0为2.68,采用如上模型推算出截止1月25日,武汉地区受感染人数约为75815人,预测疫情的拐点将在五月到来,并得出封城手段的采取对加快疫情缓解的作用不显著的判断。我们的观察是,该项工作的模型与参数选取存在不合理性,主要是:


  1. 境外确诊数据样本量较小,且使用飞机这一交通工具的人群在总人口中并非均匀分布,据此假设泊松过程来估计R0偏差较大;
  2. 考虑到政府防控措施的实施与升级,R0的取值不应设为定值。尽管论文中假设戴口罩可以使R0减半并进行了一定的讨论,但这样的设置依然较为粗糙。
  3. 封城作为非常严厉的防控手段执行得非常彻底,必须在参数设置中有效的反映。
  4. 社区隔离措施作为后来使用的控疫手段也必须考虑。


最后一点(社区隔离)在现有的SEIR模型中无法模拟,为此,我们引入C-SEIR模型。


C-SEIR模型及模拟分析


C-SEIR模型[4]相比于SEIR模型主要有以下两点改进:


  1. 考虑政府的隔离措施,将人群进一步划分出隔离患者和未隔离患者,隔离患者不具备传播能力;
  2. 考虑政府措施的加强和群众防护意识上升,病毒的基本可再生系数(R0)应该随时间变化而不是一个固定值,因此通过真实数据拟合出病毒的传染率曲线代替R0。


针对第一点,C-SEIR在SEIR的四类人群基础上增加了两类新的人群:被隔离疑似感染人群(P),已确诊并被隔离的患病人群(Q)。注意在P类中的人包括新冠状病毒的患者,也包括了症状相似但未感染新型肺炎的人群,可以假设这一部分人群不具备向外传染病毒的能力,即病毒的传染能力只与I和E有关。同时,在考虑湖北省之外的省市时还需要考虑来自武汉的人群输入。


图3.2. C-SEIR传染病动力模型


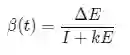
对于第二点,首先定义病毒的传染率函数β(t)为每日新增的被传染人数ΔE除以未被收治的患病人数I,考虑到新冠病毒在潜伏期可能也有一定的传染能力,可以写成公式为:


其中k取0.1,表示潜伏期传染能力是表现症状时的0.1倍。为了确定β(t)的具体形式,我们首先使用卫健委公布的每日确诊人数以及估算的潜伏期时长反推每日的潜伏期人数和感染人数来计算β(t)的估计值,再选取函数对数据进行拟合。


为了估计β(t),需要计算每天的感染人数E和发病人数I。由于只能获得新增确诊人数的数据,所以需要以此为基础,对E和I进行估计。我们按照论文[4]中的方法,假定病毒的传代期和收治期和SARS相近,分别为9天和3天,也就是说,可以大致认为,第t天感染的人会在第t+6天发病,第t+9天被收治。由此即可估计:t ~ t+9期间的总收治人数等于第t天的总感染人数,t ~ t+3期间的总收治人数等于第t天的总发病人数,从而计算出β(t)公式中的各项,进而估计出β(t)。


在大部分传染病的传播过程中,传染率β(t)会随时间指数衰减。我们使用指数函数,拟合逐日估计的β(t)散点值。以北京市为例,拟合结果如下:

图3.3. 北京市的感染率变化拟合曲线


可见,指数衰减的假设基本符合实际情况,能较好地描绘传染率的变化。我们将全国各地的曲线画在一张图上,到2月7日24时,累积感染人数超过200的各省份的拟合结果如图所示:

图3.4. 疫情相对严重的省市的感染率变化曲线


从图中可以看出,各省病毒传染率的下降均非常快,反映了控疫措施的成效。其中,黑龙江与湖北两省的曲线离群,黑龙江的感染率收敛值偏高,而湖北的感染率下降速率偏慢。黑龙江的情况可参考前面的分析;湖北作为疫情源头,其感染率下降速度反映了该地区医疗资源的制约,控疫任务的艰巨性。


C-SEIR模型中的其他参数依赖于病毒的特性,如潜伏期长度、病程、死亡率、治愈率,还依赖于政府措施的实施情况,如隔离人员的数量、发病到确诊所用的时间。我们使用与论文[4]类似的方法进行模型参数的确定,对湖北省确诊人数变化的数据进行拟合,并预测其未来的发展,如图3.5所示。

图3.5. C-SEIR模型预测曲线(基于湖北省确诊数据拟合)


这里,我们作出了两条不同的预测曲线(蓝色/绿色),其中实线为当天确诊人数,虚线为累计确诊人数。从图中可以看出,尽管两种参数选择在前期都与实际确诊人数(米黄色点)近似曲线吻合,并且拐点时间的预测非常接近,但是最终累计感染人数的预测相差非常大。这反映了一个事实:在发病初期尝试对疫情走向进行预测往往十分不准确,不能因为模型的预测而过分乐观或恐慌。


考虑到各地疫情的新增确诊人数慢慢出现了拐点,我们也以北京市为例对新增确诊人数进行了拟合,如图3.6所示,采用了乐观(绿色)和保守(蓝线)两组参数来预测。首先新增确诊人数波动较大,因为考虑到上报的延迟可能导致新增确诊病例出现聚集,平均来看可以看到新增确诊病例确实有下降趋势。值得注意的是,新增病例出现拐点并不意味着疫情会马上消退,累计确诊依然会保持增长趋势,疫情的真正缓和由新增确诊的长尾来决定。随着生产活动的逐渐恢复,广大民众应该依然保持防护意识,不能掉以轻心

图3.6. C-SEIR模型预测曲线(据北京市新增确诊拟合)


同β一样,模型中的其它参数也可能在不停地变化,并且极易受到突发事件的影响。鉴于以上因素,利用该模型预测疫情峰值的具体日期只有参考价值。但是,通过半定量地分析具体参数,依然能够为今后政府的防控和个人行为提供参考。


首先我们考察隔离措施的持续对疫情变化的影响。图3.7对比了当确诊人数达到峰值后,是否立即取消对密切接触者的隔离对疫情的变化的不同效果。从图中可以看出,如果立即取消隔离,会大大降低疫情缓解的速度,甚至出现第二个峰值,因此,保持高压防控不动摇,是接下来疫情防控的重中之重

图3.7. C-SEIR模型预测对比:当疫情达到拐点后是否取消隔离


其次,每日新增被感染者中,已经被隔离者所占的比例也具有重要的意义。我们动态地调整该值,如图3.8所示。从该图中我们看出,尽管对疫情峰值时间的影响并不显著,但隔离比例降低会使得累积患病的人数成倍的增长。因此,为了更快控制疫情,我们需要保持积极响应与配合各种有效的隔离措施

图3.8. C-SEIR模型预测对比:已隔离人员占患病者的不同比例


最后,我们试图复盘武汉封城这一控疫措施的有效性。我们利用该模型分析了武汉采取封城措施的时间点对疫情变化的影响,参见图3.9。从中不难看出,在采取隔离等办法的情形下,封城的提前或推迟不会对疫情拐点的到来时刻产生大的影响,但却会造成感染确诊人数的大幅度变化。考虑到现实生活中有限的医疗资源,尽早地实施封城的措施是很有必要的。

图3.9. C-SEIR模型预测对比:在不同时间点实施封城手段的疫情的影响


近日的《Science》报道[5]引用了柳叶刀的论文[3],针对武汉封城的有效性提出质疑,所说的原因是武汉封城只将对其它城市的扩散延后2.9天。我们认为这不是正确的推理。首先,从我们的模型预测,封城并不改变峰值的时间,而是感染人数的总量,另外,不封城将造成对全国乃至全球更多的感染人群输出,会更快更强的加大病毒的传播


4. 总结


我们基于现有公布的数据,借助于传染病动力学模型,得到下列结论:


  1. 武汉的封城举措,对于降低病毒感染人数具有重要的意义;
  2. 自政府采取相关防疫措施以来,全国各省市的病毒传染率均得到了较好的控制;
  3. 对疑似感染者的隔离观察是疫情防控的重要手段;
  4. 即使部分地区疫情似乎出现了拐点,但控疫思维和手段不可松懈,要避免二次高峰。


我们的模型验证了隔离的重要性,但如何有效的隔离是一个需要进一步探讨的问题。严格来讲,隔离只是针对疑似感染人群。所以,如果检测设备足够灵敏便捷,人们的自我检测与隔离的意识足够强,理论上来讲,社会的工作和生活秩序可以基本恢复正常而不会影响疫情的变化。从公共管理来讲,如何进一步提高公共卫生水平,加强基础设施建设;如何针对公共交通和重点公共场所做有效的疏导,都值得相关政府部门提前筹划


疫情不同于病情,不仅关乎人们的身体健康,更是涉及到政治、经济、文化、教育,以及人们的心理健康与生活质量等各个方面。疫情防控手段与社会各要素之间的平衡关系恐怕需要一个更复杂的计算模型来评测;如何在有效控疫与全社会利益之间找到一个平衡点,是一个更大的课题


由于篇幅有限,更多的数据和可视化会持续在

https://github.com/NCP-VIS中更新,欢迎关注。



引用:

[1] 2019新型冠状病毒(2019-nCoV)疫情状况的时间序列数据仓库 https://github.com/BlankerL/DXY-2019-nCoV-Data

[2] 百度地图慧眼-百度迁移 http://qianxi.baidu.com/

[3] Joseph T Wu, Kathy Leung, Gabriel M Leung. Nowcasting and forecasting the potential domestic and international spread of the 2019-nCoV outbreak originating in Wuhan, China: a modelling study. The Lancet (online first), January 31, 2020.

[4] Zhang J , Lou J , Ma Z , et al. A compartmental model for the analysis of SARS transmission patterns and outbreak control measures in China. Applied Mathematics and Computation, 2005, 162(2):909-924.

[5] Jon Cohen, Scientists are racing to model the next moves of a coronavirus that's still hard to predict. Science, Feb. 7, 2020

登录查看更多
0

相关内容

陈宝权,山东大学计算科学与技术学院与软件学院院长、国家“万人计划”领军人才,长江特聘教授,兼中国科学院深圳先进技术研究院研究员,博士生导师。获电子工程学士(91年西安电子科技大学)、硕士(94 年清华大 学),和计算机科学博士(99 年纽约州立大学石溪分校)。研究领域为计算机图形学与可视化,主要研究方向为基于车载移动激光扫描的大规模城市场景三维建模及海量数据可视化,入选973项目“城市大数据计算理论与方法”首席科学家。在 ACM SIGGRAPH 、 IEEE VIS、ACM TOG等国际会议和刊物发表论文 100 余篇。现任ACM Transactions on Graphics(TOG)编委,并多次任图形与可视化领域几乎所有重要国际会议的PC成员;现任SIGGRAPH ASIA 2014会议主席、SIGGRAPH ASIA指导委员会委员、和IEEE VIS指导委员会委员;曾任IEEE 可视化会议 2005 年主席和 2004 年程序委员会主席。获 2003 美国 NSF CAREER Award, 2005 年 IEEE可视化国际会议最佳论文奖;2008 年入选中科院“百人计划”; 2010 年获国家杰出青年科学基金资助;2013年入选国家“百千万人才”工程计划和“中青年领军人才”,2014年获得"中国计算机图形学大会杰出奖"。任CCF(中国计算机学会)常务理事,第七届教育部科技委信息学部委员,曾任CCF青工委主任。
计算机视觉用于新冠病毒COVID-19的控制综述,25页pdf
专知会员服务
53+阅读 · 2020年4月22日
专知会员服务
29+阅读 · 2020年3月6日
广东疾控中心《新型冠状病毒感染防护》,65页pdf
专知会员服务
19+阅读 · 2020年1月26日
北京市通勤出行特征与典型区域分析
智能交通技术
29+阅读 · 2019年7月19日
5G全产业链发展分析报告
行业研究报告
12+阅读 · 2019年6月7日
2019中国养老产业发展剖析与发展趋势分析报告
行业研究报告
8+阅读 · 2019年5月18日
盘点2017年度AI领域大事件
大数据文摘
5+阅读 · 2017年12月9日
Arxiv
5+阅读 · 2020年3月26日
Advances in Online Audio-Visual Meeting Transcription
Arxiv
4+阅读 · 2019年12月10日
Arxiv
8+阅读 · 2019年5月20日
Feature Selection Library (MATLAB Toolbox)
Arxiv
7+阅读 · 2018年8月6日
VIP会员
最新内容
《第四代军事特种作战部队选拔与评估》
专知会员服务
1+阅读 · 今天6:23
不对称优势上升:自主系统如何强化海上拒止
专知会员服务
1+阅读 · 今天5:51
《人工智能赋能电磁战》(报告)
专知会员服务
2+阅读 · 4月17日
【CMU博士论文】迈向可扩展的开放世界三维感知
相关资讯
北京市通勤出行特征与典型区域分析
智能交通技术
29+阅读 · 2019年7月19日
5G全产业链发展分析报告
行业研究报告
12+阅读 · 2019年6月7日
2019中国养老产业发展剖析与发展趋势分析报告
行业研究报告
8+阅读 · 2019年5月18日
盘点2017年度AI领域大事件
大数据文摘
5+阅读 · 2017年12月9日
Top
微信扫码咨询专知VIP会员