【平面向量/点积】图解高等数学-下 01

2017 年 11 月 26 日 遇见数学 公理

[遇见数学] 继续图解高等数学系列, 下半部所用参考书籍为《托马斯微积分》第10版,  希望各位老师和朋友多提宝贵意见, 帮助我改进这个系列, 感谢关注!


向量

9.1 平面向量

测量某些事物的大小, 如质量, 长度和时间, 只需要一个数和一个测量单位. 相关实数为标量.

向量(vector, 或称矢量)是指一个同时具有大小和方向的几何对象, 可以用来描述力, 位移或速度.

只要向量的大小和方向相同, 即视为相等的向量. 另外如果向量 v 的起点在原点, 则称之为是 v 的标准位置. 观察如下图所示在二维平面(Two-dimensional)下, 当移动一个向量, 所留下轨迹上都视为相同的向量:

向量的分量形式:如果平面上的一个向量 v 等于起点在原点 (0,0) 终点在 ( v 1 v 2 ) 的向量, 则 v 的分量形式是  v=( v 1 , v 2 )

向量 v 的长度表示成 |v| 或 ||v||.

任何长度为 1 的向量 v 为单位向量. 如果 v= ( v 1 , v 2 )  与正 x 轴成角 θ , 则  v=(cos θ , sin θ )  . 当 θ 从 0 到 2π 时, 单位向量取遍所有可能方向, 则绘制出单位圆.

向量的代数运算

设  u=( u 1 , u 2 )  和  v=( v 1 , v 2 )  是向量, k 是一个标量(实数).加法:  u + v = ( u 1 + v 1 u 2 + v 2 ) 数乘:  k u = (k  u 1 , k  u 2 )

向量加法的定义几何解释如下动画, 图中一个向量的起点置于两一个向量的终点.

向量加法的另一种表示称为加法的平行四边形定律, 其中的和称为合成向量, 是平行四边形的对角线. 再物理学中, 力, 速度以及加速度等都是按向量的方式相加. 观察下图两个向量之和(红色箭头).一个标量 k 和向量 u 的乘积动画显示如下. 如果 k >0, 则 k u 与 u 有相同的方向; 若 k<0, 则 k u 和 u 有相反的方向.

两个向量的差 u - v 意义是 u - v = u + (-v)

标准单位向量

任何平面向量 v=(a,b) 都可以写成标准单位向量 i=(1,0) 和 j=(0,1) 的如下的线性组合:v = (a,b) = (a,0) + (0,b) = a(1,0) + b(0,1) = a i + b j

长度和方向

在研究运动时, 经常想要知道一个物体朝什么方向和运行有多快. 向量  v 0  , 则  v | v |  是一个和 v 同方向的单位向量.

切线和法线

当一个物体沿平面(或空间)内的一个路径运动时, 它的速度是路径的一个切向量.

一个向量是一条曲线再一个点 P 的切向量法向量, 如果它分别平行垂直于曲线再点 P 的切线. 请观察下图动画:

点积

如果一个力 F 作用再一个路径运动的质点上. 我们经常需要知道力再运动方向的大小.

点积

两个非零向量  u=( u 1 , u 2 )  和  v=( v 1 , v 2 )  的点积(或内积)是数  u v =  u 1 v 1 + u 2 v 2


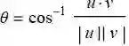
向量间的夹角

两个非零向量  u=( u 1 , u 2 )  和  v=( v 1 , v 2 )  的夹角由下面式子给出:

特别注意: 向量 u 和 v 是正交的, 当且仅当  u v = 0


向量投影

下面看看向量 u 在 v 上的向量投影动画:

如果 u 和 v 之间的夹角 θ 是锐角,  u proj v  有长度  | u | cos θ  和方向  v | v |  ; θ 是钝角,  u proj v  有长度  - | u | cos θ  和方向  v | v |

把一个向量写成正交向量的和

在研究一个质点沿平面上(或空间中)的一个路径的运动时, 加速度向量就可以写成它的切向分量和法向分量之和.

从图中可以看到对向量 u 和 v 而言, 从上图可以看到  u- proj v u  正交于投影向量  u proj v , 于是  u =  proj v u + (u -  proj v u)  , 就把 u 表示成了正交向量的和.(完)

「予人玫瑰, 手留余香」

转发既是支持, 我们会努力走的更远! 

登录查看更多
0

相关内容

【斯坦福CS520】向量空间中嵌入的知识图谱推理,48页ppt
专知会员服务
104+阅读 · 2020年6月11日
 第八届中国科技大学《计算机图形学》暑期课程课件
专知会员服务
62+阅读 · 2020年3月4日
麻省理工学院MIT-ICLR2020《神经网络能推断出什么?》
专知会员服务
51+阅读 · 2020年2月19日
专知会员服务
27+阅读 · 2020年2月15日
特征方程的物理意义
算法与数学之美
7+阅读 · 2019年5月13日
可视化理解四元数,愿你不再掉头发
计算机视觉life
31+阅读 · 2019年1月2日
博客 | MIT—线性代数(下)
AI研习社
6+阅读 · 2018年12月20日
博客 | MIT—线性代数(上)
AI研习社
10+阅读 · 2018年12月18日
深度学习入门必须理解这25个概念
AI100
7+阅读 · 2018年6月6日
【干货】​深度学习中的线性代数
专知
21+阅读 · 2018年3月30日
【直观详解】支持向量机SVM
机器学习研究会
18+阅读 · 2017年11月8日
图解高等数学|线性代数
遇见数学
39+阅读 · 2017年10月18日
Word2Vec还可以这样图解
人工智能头条
9+阅读 · 2017年8月23日
【基础数学】- 01
遇见数学
20+阅读 · 2017年7月25日
Arxiv
3+阅读 · 2019年9月5日
Arxiv
10+阅读 · 2018年4月19日
Arxiv
3+阅读 · 2018年4月18日
Arxiv
6+阅读 · 2018年4月4日
VIP会员
最新内容
不对称优势上升:自主系统如何强化海上拒止
专知会员服务
0+阅读 · 31分钟前
《人工智能赋能电磁战》(报告)
专知会员服务
2+阅读 · 4月17日
【CMU博士论文】迈向可扩展的开放世界三维感知
前馈式三维场景建模
专知会员服务
1+阅读 · 4月17日
相关资讯
特征方程的物理意义
算法与数学之美
7+阅读 · 2019年5月13日
可视化理解四元数,愿你不再掉头发
计算机视觉life
31+阅读 · 2019年1月2日
博客 | MIT—线性代数(下)
AI研习社
6+阅读 · 2018年12月20日
博客 | MIT—线性代数(上)
AI研习社
10+阅读 · 2018年12月18日
深度学习入门必须理解这25个概念
AI100
7+阅读 · 2018年6月6日
【干货】​深度学习中的线性代数
专知
21+阅读 · 2018年3月30日
【直观详解】支持向量机SVM
机器学习研究会
18+阅读 · 2017年11月8日
图解高等数学|线性代数
遇见数学
39+阅读 · 2017年10月18日
Word2Vec还可以这样图解
人工智能头条
9+阅读 · 2017年8月23日
【基础数学】- 01
遇见数学
20+阅读 · 2017年7月25日
Top
微信扫码咨询专知VIP会员