目标检测:Nms-Free时代

2022 年 1 月 10 日 极市平台
↑ 点击 蓝字  关注极市平台

作者丨半日闲心@知乎(已授权)
来源丨https://zhuanlan.zhihu.com/p/453773468
编辑丨极市平台

极市导读

 

过去,无需nms的目标检测,很美很纯粹,但几乎没人想过应用到业务上。然而经过近些年的发展,性能甚至超过了nms-base。站在2021年的尾巴,回顾nms-free的发展,期待2022有更好的发展。 >>加入极市CV技术交流群,走在计算机视觉的最前沿

本文脉络

什么是nms,为什么需要nms

什么是nms-free,有啥好处?

nms-free的发展历程

nms-free的现状与未来

什么是nms,为什么需要nms

nms是柠檬树的简称,懂得都懂,不懂请退出吧。nms原理请自行搜索。为啥需要柠檬树呢?

因为CNN做预测的时候,往往会对同一个目标产生多个proposal,因此需要nms过滤掉多余的预测框。

产生duplicate bbox的原因有CNN自身结构的原因,有时候feature map上很难决定相邻的两个特征点谁表示目标谁表示背景。尤其在一些目标边缘比较模糊的时候,如下图。另一方面,既然会产生duplicate bbox,还不如拥抱duplicate,通过规则让一个目标匹配多个proposal来增加正样本数量,使训练的前景与背景更加均衡,最后理直气壮用nms过滤就好了。Bounding Box Regression with Uncertainty for Accurate Object Detection. CVPR2019

图片来源:Bounding Box Regression with Uncertainty for Accurate Object Detection. CVPR2019[1]

此处统一术语。模型输出的框是候选框(proposal)。proposal会预测一个目标称为instance。人工标注的框为GT。训练阶段,如何让具体哪个proposal与哪个GT匹配的策略称为label assign,上面提到一个GT只跟一个proposal匹配称为one-to-one(o2o),一个GT匹配多个proposal的方法称为many-to-one(m2o)。

so,要想实现nms-free,label assign必须是one-to-one的。

什么是nms-free,有啥好处?

nms-free就是不需要nms的目标检测,甚至可以认为没有后处理的目标检测。优势1.整体框架简洁,更少超参数。2.目标之间重叠严重的话就无法用了。

但目前的主流依然存在nms,足以说明nms的优势大于劣势。很多场景的目标检测,目标是稀疏的,此时many-to-one + nms组合简直不要太爽。

出现重叠怎么办?忽略就行,出现概率很低啦。教育甲方不能这样玩。甲方要退钱了?RotateAnchor[2]改一波。

Nice。甲方说不可描述场景依然漏检,还发来了图片[色迷迷]。

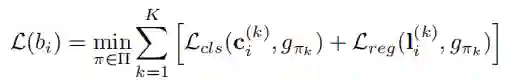
此时,nms党不慌不忙的掏出了《Detection in Crowded Scenes: One Proposal, Multiple Predictions》[3]。每个proposal预测K个instance,意思是该proposal预测的地方可能有K个instance高度重叠。上图K>=2即可。

是不是有点类似anchor-base一个特征点有k个anchor,但anchor形状差异很大,人工匹配规则也无法解决高度重叠场景。一个proposal预测k个instance可看作对anchor做了修改。匹配的规则也做了修改:

b_i是第i个proposal,L_cls和L_reg分别是label交叉熵和bbox回归的loss。L(b_i)可以看作是EMDLoss(推土机距离),距离最小就是匹配方案。

由于一个proposal包含了多个instance,所以nms也做了相应的修改,称为set-nms,出自同一个proposal的k个instance必然非同一目标,iou再高也不能干掉。

等等,nms-base好像没啥毛病了,增加后处理算啥毛病。标题起错了,”who care nms-free”。

有一说一,nms使检测算法不够直观、简单,更像tradeoff的行为[挽尊]。nms-free简单的结构,降低了det学习的门槛。

nms-free的发展历程

此处挑比较有意思的论文介绍。如有遗漏或指正,欢迎留言。

《End-to-end people detection in crowded scenes》CVPR2016[4]

在Faster-rcnn、YOLOv1问世的2015年,这篇LSTM跨界搞目标检测的论文显得有些默默无闻。

该论文的主要思路是CNN作为enconder,LSTM作为decoder,把目标检测看成序列一个instance一个instance输出,每个instance包含置信度和bbox,当输出的置信度<0.5,则看作停止符停止往下预测。

那如何训练?label assign如何做?由于LSTM decoder的机制,instance按顺序输出,而GT无顺序。作者尝试了让GT按照从左到右等不同规则排序,并与排序的instance做匹配。

最后作者使用更好的策略,把instances与GTs匹配看成二分图匹配问题,并通过匈牙利算法确定最佳的匹配。具体算法自行搜索。简单的解析是:instance与GT做one-to-one匹配并求instance与GT的IoU,统计IoU之和。不同的匹配方案,IoU之和不同。通过匈牙利算法找到IoU之和最大的匹配方案,也就是本论文的最终方案。此算法后来几乎成了nms-free做label assign的标准解法。

《Relation Networks for Object Detection》CVPR2018[5]

作者借鉴了隔壁NLP的《attention is all your need》的思想,在backbone里面融合self-attention,思路是每个proposal通过attention了解图片中存在什么proposal,从而知道自身处于什么场景,提升准确率。例如一个屏幕,在沙发旁边是电视,在键盘旁边是显示器。如今没人会怀疑self-attention在cv的作用。

另外,论文提出了Duplicate removal network(DRN)代替nms,实现端到端训练。参考下图,DRN的思路是匹配到同一个GT的proposal,只取iou最大的,其他都是duplicate。DRN模块里面有个attention,让匹配到同一个GT的proposal只有iou最大的那个s1是1,其余是0。score是前景置信度,0-1之间,这里做了rank embed,根据score的大小降序排序,赋值范围是[1,N]。

《End-to-End Object Detection with Transformers》ECCV2020[6]

鼎鼎大名的DETR,借鉴了隔壁NLP的transformer,跟上文提到的《End-to-end people detection in crowded scenes》基于一样的方式,基本就是把LSTM部分改成了transformer。由于transformer同时输出结果的特性,作者默认DETR固定输出100个预测结果,如果没有那么多目标,则多出来的预测结果为空。同样通过匈牙利算法做label assignment。

后面基于transformer的XXDert/SwinXX不一一介绍了。coco的最高记录不断被刷新,可见transformer之强悍。

《Pix2seq: A Language Modeling Framework for Object Detection》[7]

此处不得不提pix2seq,已经不是借鉴隔壁NLP了,是把det套在NLP上。把GT的类别,坐标都看作词汇,一个一个输出。把bbox的位置离散化成“词汇表”,例如x方向的位置,离散成600个词汇,每个词汇表示图片中x方向的特定位置。Loss函数统一只用交叉熵。

表现虽然一般,但更加表明了序列模型的通用性,不同属性构造成序列进行预测。

上面几篇论文都是从NLP借鉴过来,LSTM - attention - transformer。他们都有一个特点,backbone能捕获全局特征,one-to-one做label assign没有任何违和感。而CNN这边many-to-one的label assign做了这么多年,看到transformer搞det效果不错,结构还优雅。也做了类似的尝试。

《End-to-End Object Detection with Fully Convolutional Network》CVPR2021[8]

从标题就看出对DETR的致敬,简称DeFCN。many2one的匹配策略是无法摆脱nms的关键,只有采用one2one的匹配策略才能摆脱nms。

POTO(Prediction-aware One-To-One)的label assign与DETR设计几乎一样。

Π是所有预测instance与GT的one2one匹配方案的集合,Π_hat是这个集合里面是Q之和最大的方案。Spatial prior是GT外接框所对应的feature map区域=1,其他区域=0,人为的限定了匹配的proposal必须在GT框内找。classification是预测类别的交叉熵,regression是定位的iou值。α是超参数。通过匈牙利算法找到最佳的Π_h。

然而融合spatial prior、classification、regression做label assignment并不是本论文的首次提出,AutoAssign就曾融合多种信息做many2one的label assign,效果让人十分惊艳。

作者意识到卷积网络结构天然更适合many2one,因为one2one的匹配让feature map变得sharp,激活的feature与其四周有明显的变化,不然容易出现duplicated predictions,显然attention结构更加擅长。针对CNN不够sharp,作者提出了3D Max Filtering(3DMF),通过max pooling抑制周围Q得分也很高的proposal。

另外one2one带来更少的正样本使更难收敛,作者增加了一个one-to-many auxiliary loss(Aux Loss)。

类似基于FCN的nms-free的工作还有OneNet[9],PSS[10]这里不展开介绍了。

nms-free的现状与未来

nms-free已经不单单只有结构简单,精度也追上来了。det的工程研发变得越来越简单。从结构上,类似模板匹配的CNN,天然不适用于one2one的匹配方法,本文介绍了RelationNet和DeFCN对此问题的两个解决方案。基于Transformer的模型天然没有这样的问题。没有后处理的det未来,也许FCN已经支撑不起来了,也许未来更多是CNN + transformer/MLP/XX的方法,CNN慢慢成为特征提取或者筛选的手段。

考虑工程落地,transformer频繁reshape对一些硬件不太友好。纯CNN的模型结构依然是首选,而纯CNN的det,nms还是很难被取代。

参考

  • ^Bounding Box Regression with Uncertainty for Accurate Object Detection. CVPR2019 https://readpaper.com/paper/2962677013

  • ^Arbitrary-Oriented Scene Text Detection via Rotation Proposals https://readpaper.com/paper/3106228955

  • ^Detection in Crowded Scenes: One Proposal, Multiple Predictions .CVPR2020 https://readpaper.com/paper/3035323039

  • ^End-to-end people detection in crowded scenes. CVPR2016 https://readpaper.com/paper/607748843

  • ^Relation Networks for Object Detection. CVPR2018 https://readpaper.com/paper/2964080601

  • ^End-to-End Object Detection with Transformers. ECCV2020 https://readpaper.com/paper/3096609285

  • ^Pix2seq: A Language Modeling Framework for Object Detection https://readpaper.com/paper/3199245537

  • ^End-to-End Object Detection with Fully Convolutional Network. CVPR2021 https://readpaper.com/paper/3111272232

  • ^What Makes for End-to-End Object Detection?. ICML2021 https://readpaper.com/paper/3179092682

  • ^Object Detection Made Simpler by Eliminating Heuristic NMS https://readpaper.com/paper/3125728987

如果觉得有用,就请分享到朋友圈吧!

△点击卡片关注极市平台,获取 最新CV干货

公众号后台回复“transformer”获取最新Transformer综述论文下载~


极市干货
课程/比赛: 珠港澳人工智能算法大赛 保姆级零基础人工智能教程
算法trick 目标检测比赛中的tricks集锦 从39个kaggle竞赛中总结出来的图像分割的Tips和Tricks
技术综述: 一文弄懂各种loss function 工业图像异常检测最新研究总结(2019-2020)


CV技术社群邀请函 #

△长按添加极市小助手
添加极市小助手微信(ID : cvmart4)

备注:姓名-学校/公司-研究方向-城市(如:小极-北大-目标检测-深圳)


即可申请加入极市目标检测/图像分割/工业检测/人脸/医学影像/3D/SLAM/自动驾驶/超分辨率/姿态估计/ReID/GAN/图像增强/OCR/视频理解等技术交流群


每月大咖直播分享、真实项目需求对接、求职内推、算法竞赛、干货资讯汇总、与 10000+来自港科大、北大、清华、中科院、CMU、腾讯、百度等名校名企视觉开发者互动交流~



觉得有用麻烦给个在看啦~   
登录查看更多
0

相关内容

基于深度学习的图像目标检测算法综述
专知会员服务
100+阅读 · 2022年4月15日
CVPR2022 | 一种适用于密集场景的渐进式端到端目标检测器
【AAAI2022】锚框排序知识蒸馏的目标检测
专知会员服务
27+阅读 · 2022年2月10日
专知会员服务
61+阅读 · 2021年5月11日
专知会员服务
30+阅读 · 2021年4月5日
专知会员服务
16+阅读 · 2021年4月3日
【CVPR2021】用于目标检测的通用实例蒸馏
专知会员服务
24+阅读 · 2021年3月22日
【CVPR2021】用Transformers无监督预训练进行目标检测
专知会员服务
58+阅读 · 2021年3月3日
深度学习目标检测方法及其主流框架综述
专知会员服务
148+阅读 · 2020年6月26日
目标检测之殇—小目标检测
极市平台
5+阅读 · 2021年11月3日
CVPR 2019:精确目标检测的不确定边界框回归
AI科技评论
13+阅读 · 2019年9月16日
最全综述 | 图像目标检测
计算机视觉life
31+阅读 · 2019年6月24日
目标检测:Anchor-Free时代
极市平台
42+阅读 · 2019年4月17日
综述 | CVPR2019目标检测方法进展
计算机视觉life
15+阅读 · 2019年4月3日
CVPR2019目标检测方法进展综述
极市平台
45+阅读 · 2019年3月20日
Mask R-CNN 论文笔记
统计学习与视觉计算组
11+阅读 · 2018年3月22日
目标检测技术之Faster R-CNN详解
论智
13+阅读 · 2018年1月25日
基于深度学习的图像目标检测(下)
机器学习研究会
12+阅读 · 2018年1月1日
国家自然科学基金
1+阅读 · 2015年12月31日
国家自然科学基金
5+阅读 · 2015年12月31日
国家自然科学基金
3+阅读 · 2015年12月31日
国家自然科学基金
0+阅读 · 2015年12月31日
国家自然科学基金
0+阅读 · 2014年12月31日
国家自然科学基金
1+阅读 · 2014年12月31日
国家自然科学基金
0+阅读 · 2012年12月31日
国家自然科学基金
0+阅读 · 2012年12月31日
国家自然科学基金
0+阅读 · 2011年12月31日
Arxiv
0+阅读 · 2022年4月18日
Arxiv
10+阅读 · 2021年11月10日
Arxiv
12+阅读 · 2021年11月1日
VIP会员
最新内容
人工智能在战场行动中的演进及伊朗案例
专知会员服务
7+阅读 · 4月18日
美AI公司Anthropic推出网络安全模型“Mythos”
专知会员服务
4+阅读 · 4月18日
【博士论文】面向城市环境的可解释计算机视觉
大语言模型的自改进机制:技术综述与未来展望
《第四代军事特种作战部队选拔与评估》
专知会员服务
3+阅读 · 4月18日
相关VIP内容
基于深度学习的图像目标检测算法综述
专知会员服务
100+阅读 · 2022年4月15日
CVPR2022 | 一种适用于密集场景的渐进式端到端目标检测器
【AAAI2022】锚框排序知识蒸馏的目标检测
专知会员服务
27+阅读 · 2022年2月10日
专知会员服务
61+阅读 · 2021年5月11日
专知会员服务
30+阅读 · 2021年4月5日
专知会员服务
16+阅读 · 2021年4月3日
【CVPR2021】用于目标检测的通用实例蒸馏
专知会员服务
24+阅读 · 2021年3月22日
【CVPR2021】用Transformers无监督预训练进行目标检测
专知会员服务
58+阅读 · 2021年3月3日
深度学习目标检测方法及其主流框架综述
专知会员服务
148+阅读 · 2020年6月26日
相关资讯
目标检测之殇—小目标检测
极市平台
5+阅读 · 2021年11月3日
CVPR 2019:精确目标检测的不确定边界框回归
AI科技评论
13+阅读 · 2019年9月16日
最全综述 | 图像目标检测
计算机视觉life
31+阅读 · 2019年6月24日
目标检测:Anchor-Free时代
极市平台
42+阅读 · 2019年4月17日
综述 | CVPR2019目标检测方法进展
计算机视觉life
15+阅读 · 2019年4月3日
CVPR2019目标检测方法进展综述
极市平台
45+阅读 · 2019年3月20日
Mask R-CNN 论文笔记
统计学习与视觉计算组
11+阅读 · 2018年3月22日
目标检测技术之Faster R-CNN详解
论智
13+阅读 · 2018年1月25日
基于深度学习的图像目标检测(下)
机器学习研究会
12+阅读 · 2018年1月1日
相关基金
国家自然科学基金
1+阅读 · 2015年12月31日
国家自然科学基金
5+阅读 · 2015年12月31日
国家自然科学基金
3+阅读 · 2015年12月31日
国家自然科学基金
0+阅读 · 2015年12月31日
国家自然科学基金
0+阅读 · 2014年12月31日
国家自然科学基金
1+阅读 · 2014年12月31日
国家自然科学基金
0+阅读 · 2012年12月31日
国家自然科学基金
0+阅读 · 2012年12月31日
国家自然科学基金
0+阅读 · 2011年12月31日
Top
微信扫码咨询专知VIP会员