支持向量机分类实战

2017 年 10 月 18 日 全球人工智能 Mubaris NK

“全球人工智能”拥有十多万AI产业用户,10000多名AI技术专家。主要来自:北大,清华,中科院,麻省理工,卡内基梅隆,斯坦福,哈佛,牛津,剑桥...以及谷歌,腾讯,百度,脸谱,微软,阿里,海康威视,英伟达......等全球名校和名企。


——免费加入AI技术专家社群>>

——免费加入AI高管投资者群>>

——申请成为AI高校推广大使>>

摘要: 对于机器学习者来说,SVM是非常重要的监督式学习模型之一,本文通过几个小例子,通俗的介绍了SVM的基本思想和关键信息,值得尝试。(文中源码)


支持向量机(SVM)是一个非常强大和灵活的机器学习模型,能够执行线性或非线性的分类,回归,甚至异常值检测。它是机器学习中最受欢迎的有监督学习模式之一,任何对ML感兴趣的人都应该对其有所了解,并且能够掌握其使用方法。SVM特别适用于复杂但数据集属于中小型的分类。

SVM主要的思想可以概括为两点:

1, 它是针对线性可分情况进行分析,对于线性不可分的情况,通过使用非线性映射算法将低维输入空间线性不可分的样本转化为高维特征空间使其线性可分,从而使得高维特征空间采用线性算法对样本的非线性特征进行线性分析成为可能。

2, 它基于结构风险最小化理论之上在特征空间中构建最优超平面,使得学习器得到全局最优化,并且在整个样本空间的期望以某种概率满足一定上界。

在这篇文章中,我们将探讨如何用Python实现分类的SVM模型。

线性SVM

假设我们有两类数据,我们要使用SVM进行分类,如图所示:

这两个类数据可以用直线(线性分离)轻松分离。左图显示了2个可能的线性分类器的决策边界。SVM模型其实就是关于生成正确的分界线(在较高维度称为Hyperplane)。在左图中,我们可以看到数据分类非常好,尽管红线对数据进行了分类,但在新的数据实例中可能无法很好地执行。我们可以画出许多对这些数据进行分类的线,但是在所有这些线中,蓝线可以分隔最多的数据。如果将相同的蓝线显示在右图,这条线(超平面)不仅分离了两个类,而且还保持了最远的相近的训练实例的距离。我们称之为大间距分类器(Large Margin Classification)。

这个最好的决策边界是由位于分界线边缘的实例确定(或“支持”)的。这些实例称为支持向量两条线边缘之间的距离称为边距

软间距分类器(soft Margin Classification)

如果我们严格把我们所用的例子放在这两条虚线上(如下图),并且在正确的一边,这就是所谓的硬间距分类,硬间距分类有2个问题。

1)只有数据线性分离才有效。

2)对异常值非常敏感。

在上面的数据类中,有一个蓝色的异常值。如果我们对该数据集应用硬间距分类器,我们将获得左边图所示的小边距的决策边界。为了避免这些问题,最好使用更灵活的模型。目的是在保持两条线之间距离尽可能大的情况下找到一个良好的平衡,并限制边际违规(即,最终在两条线中间的距离甚至错误的一面的情况),这称为软间距分类器。如果我们对该数据集应用软间距分类,我们将获得比硬间距分类更大的确定边界,这在右图中显示。

非线性SVM

虽然线性SVM分类器是有效的,并且在许多情况下令人惊奇地工作,但是许多数据集是不能接近线性分离。处理非线性数据集的一个简单方法是添加更多的特征,例如多项式特征,有时这可以导致线性可分离的数据集。通过生成多项式特征,我们将具有一个新特征矩阵,该特征矩阵由具有小于或等于指定度数的特征的所有多项式组合组成。以下图像是使用多项式特征进行SVM的示例。


核心技巧

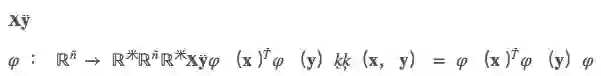
内核是计算两个向量X,Y的点积的一种方法和在某些(可能非常高的维度)特征空间中,这就是为什么内核函数有时被称为“广义点积分”。假设我们有一个映射:φ:RnRm,这使我们的矢量在Rn到某些特征空间Rm。然后数量积X,Y在这个空间里面是 φ(x)(y)。一个内核是一个函数K相当于数量积:k(x,y)=φ(x)Tφ(y)。内核提供了一种方法来计算某些特征空间中的点积,甚至不知道这个空间是什么。

多项式内核

添加多项式特征非常简单。但是低度多项式不能处理复杂的数据集,并且具有较高的多项式度将会产生大量的特征,使得模型太慢。在这种情况下,我们可以使用多项式内核来避免这个问题。多项式内核具有以下格式:

这里的D是多项式的次数。

高斯RBF内核

高斯RBF(径向基函数)是SVM模型中使用的另一种流行的内核方法。高斯内核具有以下格式:

xy)= eγx - y |2γ0

如果我们有如下的数据集,则RBF内核非常有用。


超参数

在SVM模型中有2个重要的超参数:

1.C参数

C参数决定SVM分类器的边距宽度,而且它的分类器严格,因此边缘宽度较小。对于值大的C,如果该超平面更好地将所有训练点归类正确,则该模型将选择较小余量的超平面。相反,C的非常小的值将导致模型寻找更大的边缘从而分离超平面。对于非常小的C值,你应该得到错误分类的例子,通常即使你的训练数据是线性分离的。

2.γ参数

这个γ参数定义了每个训练示例,γ参数对于scikit-learning中的线性内核是无效的。


应用scikit实现SVM

在这部分中,我们将使用scikit学习来实现SVM,我们将使用人工数据集。

线性内核:

import numpy as npimport pandas as pd
from matplotlib import style
from sklearn.svm import SVCimport matplotlib.pyplot as plt
plt.rcParams['figure.figsize'] = (12, 6)style.use('ggplot')# Import Datasetdata = pd.read_csv('data.csv', header=None)X = data.values[:, :2]y = data.values[:, 2]# A function to draw hyperplane and the margin of SVM classifierdef draw_svm(X, y, C=1.0):    # Plotting the Points
    plt.scatter(X[:,0], X[:,1], c=y)
        # The SVM Model with given C parameter
    clf = SVC(kernel='linear', C=C)
    clf_fit = clf.fit(X, y)
        # Limit of the axes
    ax = plt.gca()
    xlim = ax.get_xlim()
    ylim = ax.get_ylim()
        # Creating the meshgrid
    xx = np.linspace(xlim[0], xlim[1], 200)
    yy = np.linspace(ylim[0], ylim[1], 200)
    YY, XX = np.meshgrid(yy, xx)
    xy = np.vstack([XX.ravel(), YY.ravel()]).T
    Z = clf.decision_function(xy).reshape(XX.shape)
    # Plotting the boundary
    ax.contour(XX, YY, Z, colors='k', levels=[-1, 0, 1], 
                        alpha=0.5, linestyles=['--', '-', '--'])
    ax.scatter(clf.support_vectors_[:, 0], 
                clf.support_vectors_[:, 1], 
                s=100, linewidth=1, facecolors='none')
    plt.show()
    # Returns the classifier
    return clf_fit
clf_arr = []clf_arr.append(draw_svm(X, y, 0.0001))clf_arr.append(draw_svm(X, y, 0.001))clf_arr.append(draw_svm(X, y, 1))clf_arr.append(draw_svm(X, y, 10))for i, clf in enumerate(clf_arr):    # Accuracy Score
    print(clf.score(X, y))
    pred = clf.predict([(12, 32), (-250, 32), (120, 43)])
    print(pred)


你可以看到具有不同边距宽度的相同超平面,这取决于C超参数。


多项式内核:

import numpy as npimport pandas as pd
from matplotlib import style
from sklearn.svm import SVCimport matplotlib.pyplot as plt
plt.rcParams['figure.figsize'] = (12, 6)style.use('ggplot')data = pd.read_csv('polydata2.csv', header=None)X = data.values[:, :2]y = data.values[:, 2]def draw_svm(X, y, C=1.0):
    plt.scatter(X[:,0], X[:,1], c=y)
    clf = SVC(kernel='poly', C=C)
    clf_fit = clf.fit(X, y)
    ax = plt.gca()
    xlim = ax.get_xlim()
    ylim = ax.get_ylim()
    xx = np.linspace(xlim[0], xlim[1], 200)
    yy = np.linspace(ylim[0], ylim[1], 200)
    YY, XX = np.meshgrid(yy, xx)
    xy = np.vstack([XX.ravel(), YY.ravel()]).T
    Z = clf.decision_function(xy).reshape(XX.shape)
    ax.contour(XX, YY, Z, colors='k', levels=[-1, 0, 1], 
                        alpha=0.5, linestyles=['--', '-', '--'])
    ax.scatter(clf.support_vectors_[:, 0], 
                clf.support_vectors_[:, 1], 
                s=100, linewidth=1, facecolors='none')
    plt.show()
    return clf_fit
clf = draw_svm(X, y)score = clf.score(X, y)pred = clf.predict([(-130, 110), (-170, -160), (80, 90), (-280, 20)])print(score)print(pred)

高斯内核:

import numpy as npimport pandas as pd
from matplotlib import style
from sklearn.svm import SVC
from sklearn.datasets import make_classification, make_blobs, make_moonsimport matplotlib.pyplot as plt
plt.rcParams['figure.figsize'] = (12, 6)style.use('ggplot')X, y = make_moons(n_samples=200)# Auto gamma equals 1/n_featuresdef draw_svm(X, y, C=1.0, gamma='auto'):
    plt.scatter(X[:,0], X[:,1], c=y)
    clf = SVC(kernel='rbf', C=C, gamma=gamma)
    clf_fit = clf.fit(X, y)
    ax = plt.gca()
    xlim = ax.get_xlim()
    ylim = ax.get_ylim()
    xx = np.linspace(xlim[0], xlim[1], 200)
    yy = np.linspace(ylim[0], ylim[1], 200)
    YY, XX = np.meshgrid(yy, xx)
    xy = np.vstack([XX.ravel(), YY.ravel()]).T
    Z = clf.decision_function(xy).reshape(XX.shape)
    ax.contour(XX, YY, Z, colors='k', levels=[-1, 0, 1], 
                        alpha=0.5, linestyles=['--', '-', '--'])
    ax.scatter(clf.support_vectors_[:, 0], 
                clf.support_vectors_[:, 1], 
                s=100, linewidth=1, facecolors='none')
    plt.show()
    return clf_fit
clf_arr = []clf_arr.append(draw_svm(X, y, 0.01))clf_arr.append(draw_svm(X, y, 0.1))clf_arr.append(draw_svm(X, y, 1))clf_arr.append(draw_svm(X, y, 10))for i, clf in enumerate(clf_arr):
    print(clf.score(X, y))


import numpy as npimport pandas as pd
from matplotlib import style
from sklearn.svm import SVC
from sklearn.datasets import make_gaussian_quantilesimport matplotlib.pyplot as plt
plt.rcParams['figure.figsize'] = (12, 6)style.use('ggplot')X, y = make_gaussian_quantiles(n_samples=200, n_features=2, n_classes=2, cov=3)# Auto gamma equals 1/n_featuresdef draw_svm(X, y, C=1.0, gamma='auto'):
    plt.scatter(X[:,0], X[:,1], c=y)
    clf = SVC(kernel='rbf', C=C, gamma=gamma)
    clf_fit = clf.fit(X, y)
    ax = plt.gca()
    xlim = ax.get_xlim()
    ylim = ax.get_ylim()
    xx = np.linspace(xlim[0], xlim[1], 200)
    yy = np.linspace(ylim[0], ylim[1], 200)
    YY, XX = np.meshgrid(yy, xx)
    xy = np.vstack([XX.ravel(), YY.ravel()]).T
    Z = clf.decision_function(xy).reshape(XX.shape)
    ax.contour(XX, YY, Z, colors='k', levels=[-1, 0, 1], 
                        alpha=0.5, linestyles=['--', '-', '--'])
    ax.scatter(clf.support_vectors_[:, 0], 
                clf.support_vectors_[:, 1], 
                s=100, linewidth=1, facecolors='none')
    plt.show()
    return clf_fit
clf_arr = []clf_arr.append(draw_svm(X, y, 0.1))clf_arr.append(draw_svm(X, y, 1))clf_arr.append(draw_svm(X, y, 10))clf_arr.append(draw_svm(X, y, 100))for i, clf in enumerate(clf_arr):
    print(clf.score(X, y))

γ参数对RBF SVM模型非常重要。在第一个例子中,γ低值导致非线性分类几乎接近线性分类。

代码示例和数据集:https://github.com/mubaris/studious-eureka

系统学习,进入全球人工智能学院

热门文章推荐

汤晓鸥教授:人工智能让天下没有难吹的牛!

英伟达发布全球首款人工智能全自动驾驶平台

未来 3~5 年内,哪个方向的机器学习人才最紧缺?

中科院步态识别技术:不看脸 50米内在人群中认出你!

厉害|黄仁勋狂怼CPU:摩尔定律已死 未来属于GPU!

干货|7步让你从零开始掌握Python机器学习!

华裔女科学家钱璐璐,发明仅20纳米的DNA机器人!

Geoffrey Hinton提出capsule 概念,推翻反向传播!

2017年7大最受欢迎的AI编程语言:Python第一!

重磅|中国首家人工智能技术学院在京揭牌开学!

登录查看更多
4

相关内容

在机器学习中,支持向量机(SVM,也称为支持向量网络)是带有相关学习算法的监督学习模型,该算法分析用于分类和回归分析的数据。支持向量机(SVM)算法是一种流行的机器学习工具,可为分类和回归问题提供解决方案。给定一组训练示例,每个训练示例都标记为属于两个类别中的一个或另一个,则SVM训练算法会构建一个模型,该模型将新示例分配给一个类别或另一个类别,使其成为非概率二进制线性分类器(尽管方法存在诸如Platt缩放的问题,以便在概率分类设置中使用SVM)。SVM模型是将示例表示为空间中的点,并进行了映射,以使各个类别的示例被尽可能宽的明显间隙分开。然后,将新示例映射到相同的空间,并根据它们落入的间隙的侧面来预测属于一个类别。

知识荟萃

精品入门和进阶教程、论文和代码整理等

更多

查看相关VIP内容、论文、资讯等
【2020新书】监督机器学习,156页pdf,剑桥大学出版社
专知会员服务
154+阅读 · 2020年6月27日
【实用书】Python机器学习Scikit-Learn应用指南,247页pdf
专知会员服务
270+阅读 · 2020年6月10日
干货书《数据科学数学系基础》2020最新版,266页pdf
专知会员服务
326+阅读 · 2020年3月23日
【干货书】机器学习Python实战教程,366页pdf
专知会员服务
347+阅读 · 2020年3月17日
【经典书】精通机器学习特征工程,中文版,178页pdf
专知会员服务
360+阅读 · 2020年2月15日
【新书】Pro 机器学习算法Python实现,379页pdf
专知会员服务
204+阅读 · 2020年2月11日
从零推导支持向量机 (SVM)
AI科技评论
10+阅读 · 2019年2月7日
【收藏】支持向量机原理详解+案例+代码!【点击阅读原文下载】
机器学习算法与Python学习
10+阅读 · 2018年9月13日
K近邻算法入门
论智
5+阅读 · 2018年3月18日
免费|机器学习算法Python实现
全球人工智能
6+阅读 · 2018年1月2日
机器学习(30)之线性判别分析(LDA)原理详解
机器学习算法与Python学习
11+阅读 · 2017年12月6日
动手写机器学习算法:SVM支持向量机(附代码)
七月在线实验室
12+阅读 · 2017年12月5日
10分钟搞懂Tensorflow 逻辑回归实现手写识别
全球人工智能
5+阅读 · 2017年10月19日
机器学习(18)之支持向量机原理(三)线性不可分支持向量机与核函数
机器学习算法与Python学习
3+阅读 · 2017年9月23日
机器学习(16)之支持向量机原理(二)软间隔最大化
机器学习算法与Python学习
6+阅读 · 2017年9月8日
A Probe into Understanding GAN and VAE models
Arxiv
9+阅读 · 2018年12月13日
Arxiv
4+阅读 · 2018年2月19日
Arxiv
5+阅读 · 2016年12月29日
VIP会员
最新内容
超越网格:作战环境对炮兵的影响
专知会员服务
1+阅读 · 今天15:35
KDD 2026 | MixRAGRec:面向LLM推荐的混合专家KG-RAG框架
BES:让语言模型通过双向进化搜索自我改进
专知会员服务
4+阅读 · 5月30日
以色列-美国-伊朗战争中的无人机:关键要点
专知会员服务
4+阅读 · 5月30日
《Palantir任务保障性软件安全标准(MA-S2)》
专知会员服务
14+阅读 · 5月30日
基于声学的无人机检测技术综述
专知会员服务
8+阅读 · 5月30日
《当代混合战争分析框架:俄乌战争经验教训》
相关VIP内容
相关资讯
从零推导支持向量机 (SVM)
AI科技评论
10+阅读 · 2019年2月7日
【收藏】支持向量机原理详解+案例+代码!【点击阅读原文下载】
机器学习算法与Python学习
10+阅读 · 2018年9月13日
K近邻算法入门
论智
5+阅读 · 2018年3月18日
免费|机器学习算法Python实现
全球人工智能
6+阅读 · 2018年1月2日
机器学习(30)之线性判别分析(LDA)原理详解
机器学习算法与Python学习
11+阅读 · 2017年12月6日
动手写机器学习算法:SVM支持向量机(附代码)
七月在线实验室
12+阅读 · 2017年12月5日
10分钟搞懂Tensorflow 逻辑回归实现手写识别
全球人工智能
5+阅读 · 2017年10月19日
机器学习(18)之支持向量机原理(三)线性不可分支持向量机与核函数
机器学习算法与Python学习
3+阅读 · 2017年9月23日
机器学习(16)之支持向量机原理(二)软间隔最大化
机器学习算法与Python学习
6+阅读 · 2017年9月8日
Top
微信扫码咨询专知VIP会员