最新综述:跨语言语音合成方法的发展趋势与方向

2021 年 10 月 8 日 PaperWeekly


©PaperWeekly 原创 · 作者音月




引言

语音合成(Text-to-Speech, TTS)是指文字转语音相关技术。随着人工智能技术的发展,TTS 的声学模型和声码器模型效果都在不断提高,单一语言在数据量足够的情况下已经可以合成较高品质的语音。研究人员们也逐渐开始关注跨语言语音合成领域,本文主要介绍了近年来跨语言语音合成方法的发展趋势与方向。



背景

早期人们为了合成跨语言的发音只能用多个语音合成系统来合成不同语言的文本,这样会导致不同语言发音时的音色差异较大,影响使用体验。为了改善这种问题,出现了双语语料库,即让同一个说话人录制多种语言的语音数据。虽然一定程度解决了这种问题,但是双语语料库的制作成本较高,音色数量也较难扩展。

另外也有研究人员根据各语言发音特点设计了源语言到目标语言的音素映射表,用于模仿目标语言的发音,但大多数语言常用的音素集不完全一致,依旧会存在一些无法发音或者发音错误的问题。研究人员开始考虑如何对不同语言的数据进行建模,以达到让目标说话人可以合成其他语言的语音。

下面介绍近年来的一些跨语言语音合成方法。



跨语言的中间特征

Statistical parametric speech synthesis based on speaker and language factorization(IEEE Trans 2012)[1] 中提出将说话人信息与语言信息分开建模的方法。

Learning cross-lingual information with multilingual BLSTM for speech synthesis of low-resource languages(ICASSP 2016)[2]

该论文使用了普通话、英语和粤语三种语料,每种语料为 1 个女性说话人。论文将不同 language 的语言学特征拼接起来后,输入共享的中间层得到中间特征作为跨语言特征表示,经过 language-dependent 的输出层得到声学特征。

作者假设输入输出层的特征是 language-dependent 的,而中间层如果选择合适的训练方式可以得到 language-independent 的特征表示。实验表明共享的 BLSTM 网络可以学习跨语言信息,能得到比单语言语料训练的 BLSTM 更好的声学特征,从而合成出更高质量的语音。

Speaker and language factorization in DNN-based TTS synthesis(ICASSP 2016)[3]

该论文使用了类似的方法分别构造了 language-dependent 相关和 speaker-dependent 的 DNN 网络。

实验涉及了普通话和英语,总共 3 个说话人(两女一男)。论文对比了不同网络拓扑结构后发现使用 2 个 language-dependent 相关网络、1 个共享网络、1 个 speaker-dependent 网络能取得最接近多说话人模型的效果,与 [1] 不同的是,论文的主观评测结果表明跨语言合成的自然程度和相似度的 MOS 值都出现了下降。

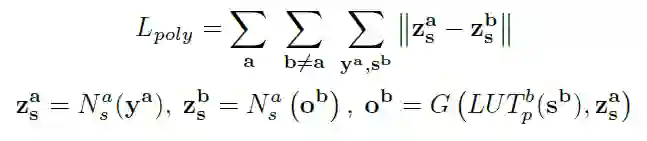
Unsupervised polyglot text to speech(ICASSP 2019)[4]

该论文为了改善跨语言合成说话人相似度的问题,除了 language-dependent 的 text encoder,还加入了 language-dependent 的 speaker encoder 来提取说话人 embedding。论文实验了 VCTK 数据集(109 个英语说话人),DIMEx100 数据集(100 个西班牙语说话人),PhonDat1(201 个德语说话人)。

为了进一步改善说话人相似度,论文提出了一种新的损失函数及多阶段训练方法,即在模型初步收敛后使用:语言 a 的语音 y经过 a 语言的 speaker encoder 提取的 embedding1(说话人 a 的音色信息),与语言 b 的文本 s 生成语音 ob,最小化 o经过 a 语言的 speaker encoder 提取的 embedding2(语言 b 语音的音色信息)的 L1 loss,以期望该 speaker encoder 只提取说话人音色信息而不包含语言信息,该阶段只训练各个语言的 speaker encoder。

其中 y表示语言 a 的语音,用于提取说话人音色信息,s表示语言 b 的文本,LUT 为 look-up table,N表示语言 a 的 speaker encoder,G 表示 TTS 生成模型,

虽然训练比较麻烦,有点类似回译训练的方法,但论文实验结果表明使用了这种多阶段训练方法后可以有效提高跨语言语音的相似度。

End-to-end Code-switched TTS with Mix of Monolingual Recordings(ICASSP 2019)[5]

该论文使用了 character embedding,将普通话中的拼音及英语均表示为字母表字符,但直接使用这种 embedding 构造的 tacotron 模型在合成不同语言的语音时会出现音色不一致的情况,因为论文加入 language embedding,并对比了两种嵌入 language embedding 方法对跨语言语音合成效果的影响。

一种是在共享的 text encoder 中嵌入 language embedding表示(LDE),第二种是使用 language-dependent 的 text encoder 结合 language id 进行特征选择(SPE)。训练阶段某一语音的 mask 均为 1,推理阶段根据句子中 language id 的不同进行选择得到跨语言的特征表示。

实验使用了普通话和英文数据集各 5000 句,两个说话人均为女性,实验表明两种 language embedding 嵌入方法都能提高跨语言发音的相似度,在自然程度上第二种方法更好,但两种系统还不能完全用普通话说话人的音色合成英语。同时论文还尝试通过控制 0-1 的控制系数 α 来控制合成语音的口语程度,第二种对控制系数 α 更为敏感。



跨语言的文本表示

除了跨语言的中间特征,一些研究工作也在探索使用跨语言的文本表示来改善跨语言发音问题。

Multi-Language Multi-Speaker Acoustic Modeling for LSTM-RNN based Statistical Parametric Speech Synthesis(Interspeech 2016) [6]
该论文使用了国际音标 IPA 作为跨语言的文本表示,定义了跨语言的语言学特征,代替了 [2] 中 language-dependent 的语言学特征,同样实验了 speaker dependent 的输出网络。实验涉及英语、法语、德语、西班牙语、印度语等多语种及多说话人数据,总体来说论文提出的跨语言 TTS 系统性能与单语言相近,同时,作者还将该方法用于 fine-tune 波兰语和葡萄牙语语料,也取得了明显优于 scratch 训练的效果。

Learning to Speak Fluently in a Foreign Language: Multilingual Speech Synthesis and Cross-Language Voice Cloning(Interspeech 2019)[7]

该论文汇总了 utf-8 编码比特的通用文本表示方法、端到端语音合成技术及对抗式训练方法,并将其应用在了跨语言语音合成领域,对后续跨语言语音合成的发展趋势及方向有较大的影响。

文中 utf-8 编码的 byte 表示方法是将文本字符转为 utf-8 编码,input tokens 为 256,像英语这种单比特字符,byte 表示和 grapheme 表示是一样的,不过对应普通话汉字则会映射得到多比特 utf-8 编码,这种 byte 表示对各种语言的处理方法都是一致的,这种方法的 input tokens 降维到了256(普通话至少有 4500 个常用汉字),可能会得到更好的通用表示。

论文主要基于 tacotron2 框架实现,为了更好的建模 TTS 中文本到语音一对多的问题,论文还加入了 residual encoder。另外,前文中的跨语言中间表示特征基本是通过共享中间网络参数实现的,并没有显式去除 language-dependent 的信息,论文除了在 tacotron2 的 decoder 部分加入 [5][6] 中使用的 language embedding,结合了对抗式训练方法引入了梯度反传层(GRL)来去除 text encoder 输出特征中 language-dependent 的信息。

论文主要涉及了英语(EN)、普通话(CN)、西班牙语(ES),对比了不同表示方法(byte、characters/graphemes、phonemes)在单语言模型和多语言模型的自然程度 MOS 指标。相同数据集情况下,phonemes 的效果均优于其他方法。

论文对比了加入对抗式训练后对跨语言发音自然程度及相似度的影响(EN ES CN各使用一个说话人),论文提到加入对抗训练的说话人分类模型后可以让 EN 说话人以很高的说话人相似度合成 CN 句子,但是使用 byte 表示时无法合成可懂的中文语音,评测人员表示合成语音的语言不是中文,phoneme 表示时合成的中文语音也有一种外国人说中文的感觉,合成西班牙语时也有种英语母语在学习说西班牙语的感觉。

论文在考虑了不同文本表示的实验效果后,选用了基于 phoneme 表示和全部说话人数据(84EN 3ES 5CN)来进行跨语言 TTS 模型的训练,实验指标表示模型均能合成较好的 EN 和 ES 语音,但是合成 CN 语音时自然程度有所下降,同时 CN 说话人合成其他语言的文本时都表现出最低的说话人相似度,这可能是 CN 说话人相比 EN 说话人数量较少且与其他语言差异较大导致的。

最后论文对比了加入 residual encoder 的影响,总体来说加入 residual encoder 可以提高模型输出的稳定性,部分跨语言发音效果有较明显的提升,同时还有减少漏字及改善停顿的作用。

当然除了 byte 作为通用表示,也有研究工作继续尝试基于国际音标 IPA 作为跨语言的文本表示方法:

论文名称

主要思路

Cross-lingual, Multi-speaker Text-To-Speech Synthesis Using Neural Speaker Embedding (Interspeech 2019) [8]

IPA表示+speaker encoder提取speaker embedding

End-to-End Adversarial Text-to-Speech(ICLR 2021)[9]

IPA表示+soft dynamic time warping alignment

Dynamic Soft Windowing and Language Dependent Style Token for Code-Switching End-to-End Speech Synthesis (Interspeech 2020) [10]

IPA表示+Dynamic SoftWindowing Mechanism+language embedding

Hierarchical Transfer Learning for Multilingual, Multi-Speaker, and Style Transfer DNN-Based TTS on Low-Resource Languages (EEE Access 2020) [11]

IPA表示+reference encoder+language embedding

Improve Cross-Lingual Text-To-Speech Synthesis on Monolingual Corpora with Pitch Contour Information (Interspeech 2021) [12]

IPA表示+音高起伏特征

Phonological Features for 0-shot Multilingual Speech Synthesis (Interspeech 2020) [13]

IPA表示衍生的语音学特征

Cross-lingual Low Resource Speaker Adaptation Using Phonological Features (Interspeech 2021) [14]

IPA表示衍生的语音学特征在小数据合成的应用



对抗式训练
也有相当一部分研究工作基于 [7] 的对抗式训练方法继续相关的研究。

论文名称

主要思路

One Model, Many Languages: Meta-learning for Multilingual Text-to-Speech (Interspeech 2020) [15]

char表示+对抗训练

Cross-lingual Text-To-Speech Synthesis via Domain Adaptation and Perceptual Similarity Regression in Speaker Space (Interspeech 2020) [16]

将对抗训练方法运用在speaker encoder

Cross-lingual Speaker Adaptation using Domain Adaptation and Speaker Consistency Loss for Text-To-Speech Synthesis (Interspeech 2021) [17]

在 [16] 的基础加入语言无关的SRE模型及类似 [4] 的Adaptation方法

Incorporating Cross-speaker Style Transfer for Multi-language Text-to-Speech (Interspeech 2021) [18]

style encoder+对抗训练


其他方法

论文名称

主要思路

End-to-end Text-to-speech for Low-resource Languages by Cross-Lingual Transfer Learning (Interspeech 2019) [19]

使用ASR系统来自动学习源语言与目标语言的发音映射关系

Building a mixed-lingual neural TTS system with only monolingual data (Interspeech 2019) [20]

使用平均音色模型fine-tune+phoneme-informed attention机制+speaker embedding位置选择

Multi-Lingual Multi-Speaker Text-to-Speech Synthesis for Voice Cloning with Online Speaker Enrollment (Interspeech 2020) [21]

设计了一套新的共享的phoneme set

Tone Learning in Low-Resource Bilingual TTS (Interspeech 2020) [22]

加入了声调分类模型

On Improving Code Mixed Speech Synthesis with Mixlingual Grapheme-to-Phoneme Model [23] (Interspeech 2020)

使用跨语言的G2P模型

Code-Switched Speech Synthesis Using Bilingual Phonetic Posteriorgram with Only Monolingual Corpora (ICASSP 2020) [24]

使用ASR系统提取跨语言的PPG+Lf0+VUV声学特征+speaker embedding生成Mel频谱

End-to-End Code-Switching TTS with Cross-Lingual Language Model (ICASSP 2020) [25]

训练跨语言的语言模型提取跨语言的word embedding

Towards Natural Bilingual and Code-Switched Speech Synthesis Based on Mix of Monolingual Recordings and Cross-Lingual Voice Conversion (Interspeech 2020) [26]

使用ASR系统提取跨语言的PPG特征进行语音转换生成多语言训练跨语言TTS模型



参考文献

[1] Statistical parametric speech synthesis based on speaker and language factorization

[2] Learning cross-lingual information with multilingual BLSTM for speech synthesis of low-resource languages

[3] Speaker and language factorization in DNN-based TTS synthesis

[4] Unsupervised polyglot text to speech

[5] End-to-end Code-switched TTS with Mix of Monolingual Recordings

[6] Multi-Language Multi-Speaker Acoustic Modeling for LSTM-RNN based Statistical Parametric Speech Synthesis

[7] Learning to Speak Fluently in a Foreign Language: Multilingual Speech Synthesis and Cross-Language Voice Cloning

[8] Cross-lingual, Multi-speaker Text-To-Speech Synthesis Using Neural Speaker Embedding

[9] End-to-End Adversarial Text-to-Speech

[10] Dynamic Soft Windowing and Language Dependent Style Token for Code-Switching End-to-End Speech Synthesis

[11] Hierarchical Transfer Learning for Multilingual, Multi-Speaker, and Style Transfer DNN-Based TTS on Low-Resource Languages

[12] Improve Cross-Lingual Text-To-Speech Synthesis on Monolingual Corpora with Pitch Contour Information

[13] Phonological Features for 0-shot Multilingual Speech Synthesis

[14] Cross-lingual Low Resource Speaker Adaptation Using Phonological Features

[15] One Model, Many Languages: Meta-learning for Multilingual Text-to-Speech

[16] Cross-lingual Text-To-Speech Synthesis via Domain Adaptation and Perceptual Similarity Regression in Speaker Space

[17] Cross-lingual Speaker Adaptation using Domain Adaptation and Speaker Consistency Loss for Text-To-Speech Synthesis

[18] Incorporating Cross-speaker Style Transfer for Multi-language Text-to-Speech

[19] End-to-end Text-to-speech for Low-resource Languages by Cross-Lingual Transfer Learning

[20] Building a mixed-lingual neural TTS system with only monolingual data

[21] Multi-Lingual Multi-Speaker Text-to-Speech Synthesis for Voice Cloning with Online Speaker Enrollment

[22] Tone Learning in Low-Resource Bilingual TTS

[23] On Improving Code Mixed Speech Synthesis with Mixlingual Grapheme-to-Phoneme Model

[24] Code-Switched Speech Synthesis Using Bilingual Phonetic Posteriorgram with Only Monolingual Corpora

[25] End-to-End Code-Switching TTS with Cross-Lingual Language Model

[26] Towards Natural Bilingual and Code-Switched Speech Synthesis Based on Mix of Monolingual Recordings and Cross-Lingual Voice Conversion


特别鸣谢

感谢 TCCI 天桥脑科学研究院对于 PaperWeekly 的支持。TCCI 关注大脑探知、大脑功能和大脑健康。



更多阅读




#投 稿 通 道#

 让你的文字被更多人看到 



如何才能让更多的优质内容以更短路径到达读者群体,缩短读者寻找优质内容的成本呢?答案就是:你不认识的人。


总有一些你不认识的人,知道你想知道的东西。PaperWeekly 或许可以成为一座桥梁,促使不同背景、不同方向的学者和学术灵感相互碰撞,迸发出更多的可能性。 


PaperWeekly 鼓励高校实验室或个人,在我们的平台上分享各类优质内容,可以是最新论文解读,也可以是学术热点剖析科研心得竞赛经验讲解等。我们的目的只有一个,让知识真正流动起来。


📝 稿件基本要求:

• 文章确系个人原创作品,未曾在公开渠道发表,如为其他平台已发表或待发表的文章,请明确标注 

• 稿件建议以 markdown 格式撰写,文中配图以附件形式发送,要求图片清晰,无版权问题

• PaperWeekly 尊重原作者署名权,并将为每篇被采纳的原创首发稿件,提供业内具有竞争力稿酬,具体依据文章阅读量和文章质量阶梯制结算


📬 投稿通道:

• 投稿邮箱:[email protected] 

• 来稿请备注即时联系方式(微信),以便我们在稿件选用的第一时间联系作者

• 您也可以直接添加小编微信(pwbot02)快速投稿,备注:姓名-投稿


△长按添加PaperWeekly小编




🔍


现在,在「知乎」也能找到我们了

进入知乎首页搜索「PaperWeekly」

点击「关注」订阅我们的专栏吧



·

登录查看更多
1

相关内容

多语言语音识别声学模型建模方法最新进展
专知会员服务
36+阅读 · 2022年2月7日
专知会员服务
82+阅读 · 2021年10月15日
微软《神经语音合成》综述论文,63页pdf530篇文献
专知会员服务
30+阅读 · 2021年7月3日
专知会员服务
74+阅读 · 2021年5月21日
专知会员服务
62+阅读 · 2021年5月4日
多模态视觉语言表征学习研究综述
专知会员服务
195+阅读 · 2020年12月3日
稀缺资源语言神经网络机器翻译研究综述
专知会员服务
27+阅读 · 2020年12月2日
专知会员服务
28+阅读 · 2020年9月9日
最新《多任务学习》综述,39页pdf
专知会员服务
266+阅读 · 2020年7月10日
机器翻译深度学习最新综述
专知会员服务
99+阅读 · 2020年2月20日
语音合成:模拟最像人类声音的系统
PaperWeekly
2+阅读 · 2021年11月30日
多模态视觉语言表征学习研究综述
专知
27+阅读 · 2020年12月3日
最新《多任务学习》综述,39页pdf
专知
28+阅读 · 2020年7月10日
【综述】迁移自适应学习十年进展
专知
41+阅读 · 2019年11月26日
神经机器阅读理解最新综述:方法和趋势
PaperWeekly
15+阅读 · 2019年7月25日
SFFAI分享 | 连政:端到端语音合成【附PPT与视频资料】
人工智能前沿讲习班
14+阅读 · 2019年6月16日
迁移自适应学习最新综述,附21页论文下载
生成对抗网络的研究进展与趋势
中国计算机学会
35+阅读 · 2018年11月14日
国家自然科学基金
5+阅读 · 2015年12月31日
国家自然科学基金
4+阅读 · 2013年12月31日
国家自然科学基金
0+阅读 · 2013年12月31日
国家自然科学基金
0+阅读 · 2012年12月31日
国家自然科学基金
0+阅读 · 2012年12月31日
国家自然科学基金
2+阅读 · 2011年12月31日
国家自然科学基金
1+阅读 · 2009年12月31日
国家自然科学基金
0+阅读 · 2009年12月31日
国家自然科学基金
1+阅读 · 2009年12月31日
国家自然科学基金
0+阅读 · 2009年12月31日
Simple and Effective Unsupervised Speech Synthesis
Arxiv
2+阅读 · 2022年4月20日
Arxiv
28+阅读 · 2021年10月1日
How to Fine-Tune BERT for Text Classification?
Arxiv
13+阅读 · 2019年5月14日
VIP会员
最新内容
战略前沿人工智能的再思考(中文)
专知会员服务
4+阅读 · 5月29日
《量化地基防空系统间接效应的博弈论方法》
专知会员服务
4+阅读 · 5月29日
“史诗怒火行动”中美军损失的作战飞机
专知会员服务
4+阅读 · 5月29日
ICML 2026 | 理解上下文持续学习中的泛化与遗忘
专知会员服务
5+阅读 · 5月28日
Agent Harness综述:大模型智能体执行器工程全景
专知会员服务
14+阅读 · 5月28日
《基于理论的威慑效能评估》
专知会员服务
8+阅读 · 5月28日
相关VIP内容
多语言语音识别声学模型建模方法最新进展
专知会员服务
36+阅读 · 2022年2月7日
专知会员服务
82+阅读 · 2021年10月15日
微软《神经语音合成》综述论文,63页pdf530篇文献
专知会员服务
30+阅读 · 2021年7月3日
专知会员服务
74+阅读 · 2021年5月21日
专知会员服务
62+阅读 · 2021年5月4日
多模态视觉语言表征学习研究综述
专知会员服务
195+阅读 · 2020年12月3日
稀缺资源语言神经网络机器翻译研究综述
专知会员服务
27+阅读 · 2020年12月2日
专知会员服务
28+阅读 · 2020年9月9日
最新《多任务学习》综述,39页pdf
专知会员服务
266+阅读 · 2020年7月10日
机器翻译深度学习最新综述
专知会员服务
99+阅读 · 2020年2月20日
相关资讯
语音合成:模拟最像人类声音的系统
PaperWeekly
2+阅读 · 2021年11月30日
多模态视觉语言表征学习研究综述
专知
27+阅读 · 2020年12月3日
最新《多任务学习》综述,39页pdf
专知
28+阅读 · 2020年7月10日
【综述】迁移自适应学习十年进展
专知
41+阅读 · 2019年11月26日
神经机器阅读理解最新综述:方法和趋势
PaperWeekly
15+阅读 · 2019年7月25日
SFFAI分享 | 连政:端到端语音合成【附PPT与视频资料】
人工智能前沿讲习班
14+阅读 · 2019年6月16日
迁移自适应学习最新综述,附21页论文下载
生成对抗网络的研究进展与趋势
中国计算机学会
35+阅读 · 2018年11月14日
相关基金
国家自然科学基金
5+阅读 · 2015年12月31日
国家自然科学基金
4+阅读 · 2013年12月31日
国家自然科学基金
0+阅读 · 2013年12月31日
国家自然科学基金
0+阅读 · 2012年12月31日
国家自然科学基金
0+阅读 · 2012年12月31日
国家自然科学基金
2+阅读 · 2011年12月31日
国家自然科学基金
1+阅读 · 2009年12月31日
国家自然科学基金
0+阅读 · 2009年12月31日
国家自然科学基金
1+阅读 · 2009年12月31日
国家自然科学基金
0+阅读 · 2009年12月31日
Top
微信扫码咨询专知VIP会员