香水有“毒”

2019 年 5 月 25 日 中科院之声


 图片来自网络


对于女生来说,香水一直是梦幻般的存在,不同的香水可以给自己不同的心境,不同的香水也显示出不同气质。恋爱女生喜欢香甜果味儿,职场女性更倾向于优雅木香,前调中调后调,每种味道都散发着无限的魅力,让女生们欲罢不能。   


只是,在这些香气萦绕之中,通常会有一位叫做“邻苯二甲酸酯(phthalate esters, PAEs)”的家伙却并不令人十分愉悦。


PAEs的日常使用和人群暴露


邻苯二甲酸酯(phthalate esters, PAEs),是由邻苯二甲酸与烷烃醇形成的酯,由于侧链结构不同导致PAEs种类繁多(图1)。

 

图1 PAEs分子结构


除了香水,我们平时用的沐浴活液、洗手液、爽肤水等个人护理品中通常都含有微量的邻苯二甲酸酯PAEs,在使用过程中可以通过皮肤接触直接吸收PAEs。PAEs其主要作为个人护理品、涂料、杀虫剂的溶剂成分以及作为增塑剂被添加至PVC等塑料制品(图2)。

 

图2 PAEs的日常添加使用


2018版《塑化剂化学品经济学手册》调查显示,2017年全球PAEs消费量达到700多万吨,中国的消费量占全球总量的42%左右。正常人群能够通过皮肤吸收(个人护理品使用)和饮食(食品、饮料包装)等途径接触PAEs。暴露调查发现,正常人群的尿液、血液、精液、羊水中均能检测到多种类型的PAEs残留。


环境低剂量的PAEs能够促进男性类固醇激素分泌


此前研究显示,PAEs对人体和动物内分泌激素具有明显的干扰作用。日前,中科院城市环境研究所申河清研究团队就针对有典型内分泌干扰效应的PAEs开展了系列研究。


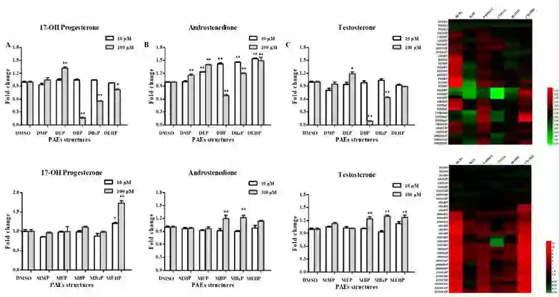
研究发现,普通男性人群的日常接触的PAEs可能与其体内的类固醇性激素升高有关。由于睾丸是男(雄)性性激素的主要合成器官,通过小鼠睾丸细胞模型发现:低水平PAEs处理能够促进睾丸细胞性激素合成,高剂量PAEs则抑制激素分泌(图3);PAEs对性激素分泌的这种双相作用模式类似毒物的毒物兴奋效应(图4)。

 

图3 低剂量PAEs暴露诱导人群和体外睾丸细胞模型类固醇激素水平


图4 PAEs内分泌干扰效应的非单调性剂量-效应特征(Hormesis效应)


这项研究结果显示,尽管是普通的日常接触PAEs已经能够影响到机体的正常内分泌激素代谢,可能当前青少年性早熟与PAEs等内分泌干扰物的日常接触息息相关。


PAEs科学合理使用


除了PAEs的剂量效应关系,研究人员还针对不同类型的PAEs的生殖毒性作了甄别研究。发现PAEs的侧链化学结构直接影响其内分泌干扰效应。长链结构PAEs生殖毒性要强于短链结构,特别是添加于个人护理品的含四个碳原子的DBP(邻苯二甲酸二丁酯)和含有支链结构的DEHP(邻苯二甲酸二(2-乙基)己酯)毒性尤为明显(图5)。同时,研究证实高剂量下的PAEs暴露,酯键水解代谢过程有利于减弱其内分泌干扰效应(图6)。本研究为PAEs合理使用和潜在风险干预提供了科学参考。


图5 PAEs内分泌干扰的结构效应


图6 PAEs水解代谢过程与其内分泌干扰效应的耦联


PAEs日常防护


本研究调查的人群中,尿液DEHP代谢物浓度范围在24.38-42.75ng/ml时即可观察到明显的激素干扰效应。由于DEHP特殊的支链结构使其具有较强的挥发性和脂溶性等特征,较强的挥发性导致DEHP容易从香水等介质中挥发出,通过呼吸途径被人体吸入。


因此,日常生活中尽量避免过度使用含PAEs相关的个人护理品,并选择正规合格产品,同时保持居中环境的通风和洁净能有效减小呼吸暴露量。由于DEHP的高脂溶性,避免使用塑料餐饮具长期存放油脂类食品,从而减小饮食暴露途径。

 

相关论文发表在Chemosphere, 2019, 220:459-467、Toxicology letters, 2019, 308: 56-64、Environ. Sci. Technol. Lett. 2018, 5:232-236。


来源:中国科学院城市环境研究所



温馨提示:近期,微信公众号信息流改版。每个用户可以设置 常读订阅号,这些订阅号将以大卡片的形式展示。因此,如果不想错过“中科院之声”的文章,你一定要进行以下操作:进入“中科院之声”公众号 → 点击右上角的 ··· 菜单 → 选择「设为星标」







登录查看更多
0

相关内容

基于视觉的三维重建关键技术研究综述
专知会员服务
166+阅读 · 2020年5月1日
德勤:2020技术趋势报告,120页pdf
专知会员服务
194+阅读 · 2020年3月31日
专知会员服务
29+阅读 · 2020年3月6日
报告 | 2020中国5G经济报告,100页pdf
专知会员服务
99+阅读 · 2019年12月29日
2019中国硬科技发展白皮书 193页
专知会员服务
86+阅读 · 2019年12月13日
外泌体行业规模2030年预计将达22.8亿美元
外泌体之家
18+阅读 · 2019年3月26日
【Blood】去甲基化治疗失败后,MDS应如何治疗?
外泌体相比干细胞的优势是什么?
外泌体之家
43+阅读 · 2018年11月15日
AI情绪识别技术背后:一场悄然来袭的“暴政”
大数据文摘
7+阅读 · 2018年10月11日
青光眼,哪里跑!
中科院之声
4+阅读 · 2018年7月9日
Generating Rationales in Visual Question Answering
Arxiv
5+阅读 · 2020年4月4日
Arxiv
6+阅读 · 2019年2月28日
Implicit Maximum Likelihood Estimation
Arxiv
7+阅读 · 2018年9月24日
Learning to Importance Sample in Primary Sample Space
Viewpoint Estimation-Insights & Model
Arxiv
3+阅读 · 2018年7月3日
Arxiv
4+阅读 · 2018年5月4日
VIP会员
最新内容
美陆军设想无人系统司令部
专知会员服务
2+阅读 · 4月15日
【博士论文】已对齐人工智能系统的持久脆弱性
扭曲还是编造?视频大语言模型幻觉研究综述
专知会员服务
1+阅读 · 4月15日
《采用系统思维应对混合战争》125页
专知会员服务
5+阅读 · 4月15日
战争机器学习:数据生态系统构建(155页)
专知会员服务
8+阅读 · 4月15日
内省扩散语言模型
专知会员服务
6+阅读 · 4月14日
相关VIP内容
基于视觉的三维重建关键技术研究综述
专知会员服务
166+阅读 · 2020年5月1日
德勤:2020技术趋势报告,120页pdf
专知会员服务
194+阅读 · 2020年3月31日
专知会员服务
29+阅读 · 2020年3月6日
报告 | 2020中国5G经济报告,100页pdf
专知会员服务
99+阅读 · 2019年12月29日
2019中国硬科技发展白皮书 193页
专知会员服务
86+阅读 · 2019年12月13日
相关资讯
Top
微信扫码咨询专知VIP会员