从动力学角度看优化算法:为什么学习率不宜过小?

2020 年 11 月 27 日 PaperWeekly


©PaperWeekly 原创 · 作者|苏剑林

单位|追一科技

研究方向|NLP、神经网络


本文的主题是“为什么我们需要有限的学习率”,所谓“有限”,指的是不大也不小,适中即可,太大容易导致算法发散,这不难理解,但为什么太小也不好呢?一个容易理解的答案是,学习率过小需要迭代的步数过多,这是一种没有必要的浪费,因此从“节能”和“加速”的角度来看,我们不用过小的学习率。

但如果不考虑算力和时间,那么过小的学习率是否可取呢?Google 最近发布在 Arxiv 上的论文 Implicit Gradient Regularization [1] 试图回答了这个问题,它指出有限的学习率隐式地给优化过程带来了梯度惩罚项,而这个梯度惩罚项对于提高泛化性能是有帮助的,因此哪怕不考虑算力和时间等因素,也不应该用过小的学习率。

对于梯度惩罚,笔者已有过多次讨论,在文章对抗训练浅谈:意义、方法和思考(附 Keras 实现)泛化性乱弹:从随机噪声、梯度惩罚到虚拟对抗训练中,我们就分析了对抗训练一定程度上等价于对输入的梯度惩罚,而文章《我们真的需要把训练集的损失降低到零吗?》[2] 介绍的 Flooding 技巧则相当于对参数的梯度惩罚。

总的来说,不管是对输入还是对参数的梯度惩罚,都对提高泛化能力有一定帮助。


降得最快的方向

该论文跟这个系列的文章一样,将优化过程看成是求解微分方程。回顾之前的文章从动力学角度看优化算法:一个更整体的视角,设损失函数为 ,我们将 看成是看成是沿着某种时间参数 t 变化的轨迹 ,现在我们考虑它的变化率:

我们希望 随着时间的变化是递减的(Loss 越小越好),所以希望上式小于 0,当模长 固定时,上式右端的最小值在梯度的反方向 取到,所以我们说梯度的负方向下降得最快方向。简单期间,我们可以直接令:

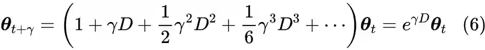
那么求解参数 就转化为求解上述常微分方程组,这也是“从动力学角度看优化算法”这个系列的基本出发点。


藏在学习率中的正则

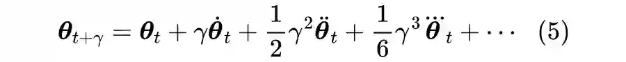
然而,实际的问题是,我们没法真正去求解微分方程组(2),我们只能用数值迭代,比如采用最简单的欧拉法,得到:

这其实就是最朴素的梯度下降法,其中 也就是我们常说的学习率。上式本质上就是一个差分方程。
可以想象,从 出发,得到的点 与方程组(2)的精确解 会有一定的出入。
如何衡量出入到什么程度呢?不妨这样想象, 其实也是某个类似(2)的微分方程组的精确解,只不过对应的 换成了某个新的 ,我们比较 的差异就好了。
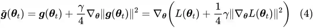
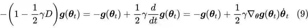
经推导,如果仅保留到 的一阶项,那么有:

推导过程我们放在下一节。可以看到,其实就相当于往损失函数里边加入了梯度惩罚形式的正则项 ,而梯度惩罚项有助于模型到达更加平缓的区域,有利于提高泛化性能。
这也就是说,离散化的迭代过程隐式地带来了梯度惩罚项,反而是对模型的泛化是有帮助的,而如果 ,这个隐式的惩罚则会变弱甚至消失。
因此,结论就是学习率不宜过小,较大的学习率不仅有加速收敛的好处,还有提高模型泛化能力的好处。当然,可能有些读者会想,我直接把梯度惩罚加入到 loss 中,是不是就可以用足够小的学习率了?理论上确实是的,原论文将梯度惩罚加入到 loss 中的做法,称为“显式梯度惩罚”。


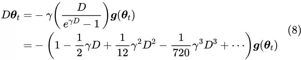
差分方程到微分方程

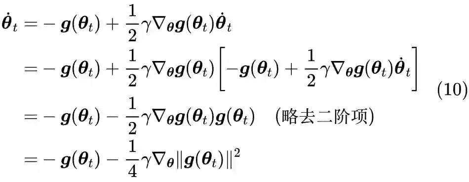
对于差分方程到微分方程的转换,我们可以用普通的“摄动法”来求解,笔者也有过简单介绍(可以查看标签“摄动” [3] )。不过更漂亮的解法是直接利用算符的级数运算来做,参考之前的文章《算符的艺术:差分、微分与伯努利数》[4]

我们用泰勒级数展开

如果将对 t 求导的运算记为 D,那么上式实际上是:

所以差分方程(3)可以写为:

跟常规的代数运算一样,我们有:

等号左端就是 ,因此等号右端就是 的表达式了,保留到一阶项为:

也就是:

所以一阶的 ,推导完毕。


例行公事的小总结

深度学习的发展和普及离不开基于梯度下降的优化器的成功应用,而梯度下降为何能如此成功,依然还没得到深刻的解释。众多研究人员在“炼丹”过程中,多多少少也能总结出一些不知道为什么有效的“奇技淫巧”出来,诸如 batch_size 该取多大、学习率该怎么调,估计每个人也有自己的经验。

对于“学习率不能过小”这个现象,大家应该都有所体会,很多时候可能已经默认作为一个“常识”使用,而懒得思考背后的原理了。

Google 的这篇论文则为理解这个现象提供了一个可能的解释:适当而不是过小的学习率能为优化过程带来隐式的梯度惩罚项,有助于收敛到更平稳的区域。笔者认为其分析过程还是值得参考学习的。


参考文献

[1] https://arxiv.org/abs/2009.11162
[2] https://kexue.fm/archives/7643
[3] https://kexue.fm/tag/%E6%91%84%E5%8A%A8/
[4] https://kexue.fm/archives/3018


更多阅读




#投 稿 通 道#

 让你的论文被更多人看到 



如何才能让更多的优质内容以更短路径到达读者群体,缩短读者寻找优质内容的成本呢?答案就是:你不认识的人。


总有一些你不认识的人,知道你想知道的东西。PaperWeekly 或许可以成为一座桥梁,促使不同背景、不同方向的学者和学术灵感相互碰撞,迸发出更多的可能性。 


PaperWeekly 鼓励高校实验室或个人,在我们的平台上分享各类优质内容,可以是最新论文解读,也可以是学习心得技术干货。我们的目的只有一个,让知识真正流动起来。


📝 来稿标准:

• 稿件确系个人原创作品,来稿需注明作者个人信息(姓名+学校/工作单位+学历/职位+研究方向) 

• 如果文章并非首发,请在投稿时提醒并附上所有已发布链接 

• PaperWeekly 默认每篇文章都是首发,均会添加“原创”标志


📬 投稿邮箱:

• 投稿邮箱:[email protected] 

• 所有文章配图,请单独在附件中发送 

• 请留下即时联系方式(微信或手机),以便我们在编辑发布时和作者沟通



🔍


现在,在「知乎」也能找到我们了

进入知乎首页搜索「PaperWeekly」

点击「关注」订阅我们的专栏吧



关于PaperWeekly


PaperWeekly 是一个推荐、解读、讨论、报道人工智能前沿论文成果的学术平台。如果你研究或从事 AI 领域,欢迎在公众号后台点击「交流群」,小助手将把你带入 PaperWeekly 的交流群里。



登录查看更多
1

相关内容

【WWW2021】用优化框架解释和统一图神经网络
专知会员服务
45+阅读 · 2021年2月1日
专知会员服务
75+阅读 · 2020年12月7日
专知会员服务
203+阅读 · 2020年9月1日
《常微分方程》笔记,419页pdf
专知会员服务
77+阅读 · 2020年8月2日
模型压缩究竟在做什么?我们真的需要模型压缩么?
专知会员服务
28+阅读 · 2020年1月16日
深度神经网络模型压缩与加速综述
专知会员服务
130+阅读 · 2019年10月12日
从动力学角度看优化算法:GAN的第三个阶段
PaperWeekly
11+阅读 · 2019年5月13日
从信息论的角度来理解损失函数
深度学习每日摘要
17+阅读 · 2019年4月7日
从动力学角度看优化算法:一个更整体的视角
黑龙江大学自然语言处理实验室
8+阅读 · 2019年1月28日
从动力学角度看优化算法:自适应学习率算法
PaperWeekly
8+阅读 · 2018年12月27日
从零开始学习「张氏相机标定法」(五)优化算法正传
计算机视觉life
5+阅读 · 2018年3月25日
算法优化|梯度下降和随机梯度下降 — 从0开始
全球人工智能
8+阅读 · 2017年12月25日
如何找到最优学习率?
AI研习社
11+阅读 · 2017年11月29日
【教程】如何估算深度神经网络的最优学习率
GAN生成式对抗网络
5+阅读 · 2017年11月18日
教程 | 如何估算深度神经网络的最优学习率
机器之心
3+阅读 · 2017年11月17日
Optimizing $αμ$
Arxiv
0+阅读 · 2021年1月29日
Selfish Sparse RNN Training
Arxiv
0+阅读 · 2021年1月28日
Generative Adversarial Networks: A Survey and Taxonomy
Arxiv
7+阅读 · 2019年5月31日
Arxiv
11+阅读 · 2018年4月25日
VIP会员
最新内容
《自动化战略情报管控》
专知会员服务
0+阅读 · 37分钟前
得失评估:审视对伊朗战争的轨迹(简报)
专知会员服务
0+阅读 · 49分钟前
【CMU博士论文】迈向可解释机器学习的理论基础
专知会员服务
0+阅读 · 今天12:23
基于数据优化的人机协同与机器人僚机
专知会员服务
4+阅读 · 今天2:08
相关VIP内容
【WWW2021】用优化框架解释和统一图神经网络
专知会员服务
45+阅读 · 2021年2月1日
专知会员服务
75+阅读 · 2020年12月7日
专知会员服务
203+阅读 · 2020年9月1日
《常微分方程》笔记,419页pdf
专知会员服务
77+阅读 · 2020年8月2日
模型压缩究竟在做什么?我们真的需要模型压缩么?
专知会员服务
28+阅读 · 2020年1月16日
深度神经网络模型压缩与加速综述
专知会员服务
130+阅读 · 2019年10月12日
相关资讯
从动力学角度看优化算法:GAN的第三个阶段
PaperWeekly
11+阅读 · 2019年5月13日
从信息论的角度来理解损失函数
深度学习每日摘要
17+阅读 · 2019年4月7日
从动力学角度看优化算法:一个更整体的视角
黑龙江大学自然语言处理实验室
8+阅读 · 2019年1月28日
从动力学角度看优化算法:自适应学习率算法
PaperWeekly
8+阅读 · 2018年12月27日
从零开始学习「张氏相机标定法」(五)优化算法正传
计算机视觉life
5+阅读 · 2018年3月25日
算法优化|梯度下降和随机梯度下降 — 从0开始
全球人工智能
8+阅读 · 2017年12月25日
如何找到最优学习率?
AI研习社
11+阅读 · 2017年11月29日
【教程】如何估算深度神经网络的最优学习率
GAN生成式对抗网络
5+阅读 · 2017年11月18日
教程 | 如何估算深度神经网络的最优学习率
机器之心
3+阅读 · 2017年11月17日
Top
微信扫码咨询专知VIP会员