成为VIP会员查看完整内容
VIP会员码认证
首页
主题
会员
服务
注册
·
登录
0
推荐系统(一):推荐系统基础
专知AI搜索
2019 年 9 月 2 日
菜鸟的机器学习
作者:文哥的学习笔记
链接:https://www.jianshu.com/p/a0770d03e13f
说明:用于学习记录,若有不妥,请及时联系。
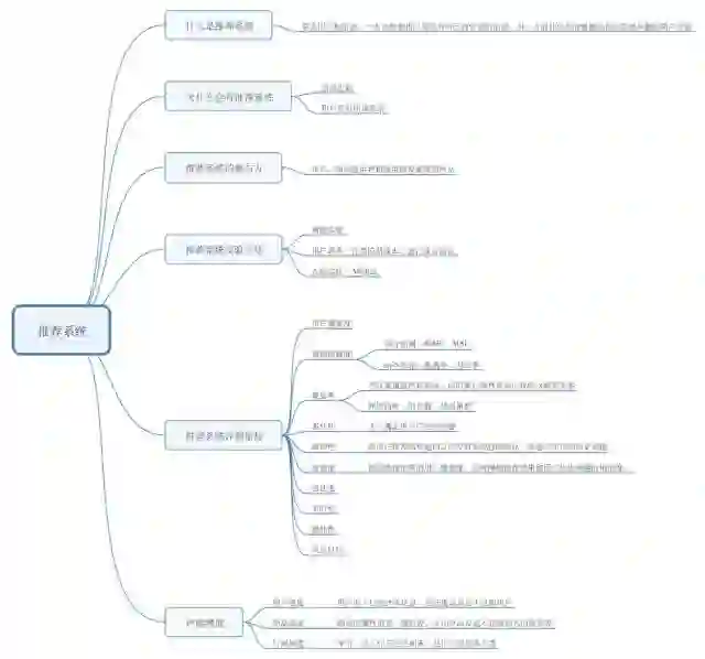
本文的思维导图如下:
1、什么是推荐系统
在这个时代,无论是信息消费者还是信息生产者都遇到了很大的挑战:作为信息消费者,如何从大量信息中找到自己感兴趣的信息是一件非常困难的事情;作为信息生产者, 如何让自己生产的信息脱颖而出,受到广大用户的关注,也是一件非常困难的事情。推荐系统就是解决这一矛盾的重要工具。推荐系统的任务就是联系用户和信息,一方面帮助用户发现对自己有价值的信息,另一方面让信息能够展现在对它感兴趣的用户面前,从而实现信息消费者和信息 生产者的双赢。和搜索引擎不同的是,推荐系统不需要用户提供明确的需求,而是通过分析用户的历史行为给用 户的兴趣建模,从而主动给用户推荐能够满足他们兴趣和需求的信息。
个性化推荐的成功应用需要两个条件。第一是存在
信息过载
,因为如果用户可以很容易地从所有物品中找到喜欢的物品,就不需要个性化推荐了。第二是
用户大部分时候没有特别明确的需求
,因为用户如果有明确的需求,可以直接通过搜索引擎找到感兴趣的物品。
一个完整的推荐系统一般存在3个参与方:
用户、物品提供者和提供推荐系统的网站
。以图书推荐为例, 首先,推荐系统需要满足用户的需求,给用户推荐那些令他们感兴趣的图书。其次,推荐系统要让各出版社的书都能够被推荐给对其感兴趣的用户,而不是只推荐几个大型出版社的书。最后, 好的推荐系统设计,能够让推荐系统本身收集到高质量的用户反馈,不断完善推荐的质量,增加 用户和网站的交互,提高网站的收入。因此在评测一个推荐算法时,需要同时考虑三方的利益, 一个好的推荐系统是能够令三方共赢的系统。
好的推荐系统不仅仅能够准确预测用户的行为,而且能够扩展用户的视野,帮助用户发现那些他们可能会感兴趣,但却不那么容易发现的东西。同时,推荐系统还要能够帮助商家将 那些被埋没在长尾中的好商品介绍给可能会对它们感兴趣的用户。
2、推荐系统实验方法
推荐系统中,主要有3种评测推荐效果的实验方法,即离线实验(offline experiment)、用户调查(user study)和在线实验(online experiment)。
2.1 离线实验
离线实验的方法一般由如下几个步骤构成:
(1) 通过日志系统获得用户行为数据,并按照一定格式生成一个标准的数据集;
(2) 将数据集按照一定的规则分成训练集和测试集;
(3) 在训练集上训练用户兴趣模型,在测试集上进行预测;
(4) 通过事先定义的离线指标评测算法在测试集上的预测结果。
从上面的步骤可以看到,推荐系统的离线实验都是在数据集上完成的,也就是说它不需要一个实际的系统来供它实验,而只要有一个从实际系统日志中提取的数据集即可。这种实验方法的 好处是不需要真实用户参与,可以直接快速地计算出来,从而方便、快速地测试大量不同的算法。它的主要缺点是无法获得很多商业上关注的指标,如点击率、转化率等,而找到和商业指标非常相关的离线指标也是很困难的事情。
2.2 用户调查
用户调查是推荐系统评测的一个重要工具,很多离线时没有办法评测的与用户主观感受有关的指标都可以通过用户调查获得。在用户调查中,有一些需要注意的事项:
(1) 成本控制:用户调查成本很高,需要用户花大量 时间完成一个个任务,并回答相关的问题。有些时候,还需要花钱雇用测试用户。因此,大多 数情况下很难进行大规模的用户调查,而对于参加人数较少的用户调查,得出的很多结论往往 没有统计意义。因此,我们在做用户调查时,一方面要控制成本,另一方面又要保证结果的统计.
意义。
(2) 双盲实验:即不要让实验人员和用户事先知道测试的目标,以免用户的回答和实验人员的测试受主观成分的影响。
(3) 相同分布:测试用户需要尽量保证测试用户的分布和真实用户的分布相同,比如男女各半,以及年龄、活跃度的分布都和真实用户分布尽量相同。
用户调查的优缺点也很明显。它的优点是可以获得很多体现用户主观感受的指标,相对在线实验风险很低,出现错误后很容易弥补。缺点是招募测试用户代价较大,很难组织大规模的测试 用户,因此会使测试结果的统计意义不足。此外,在很多时候设计双盲实验非常困难,而且用户 在测试环境下的行为和真实环境下的行为可能有所不同,因而在测试环境下收集的测试指标可能在真实环境下无法重现。
2.3 在线实验
在完成离线实验和必要的用户调查后,可以将推荐系统上线做AB测试,将它和旧的算法进行比较。
AB测试是一种很常用的在线评测算法的实验方法。它通过一定的规则将用户随机分成几组,并对不同组用户采取不同的算法,然后通过统计不同组用户的各种不同的评测指标比较不同算法的好坏。
AB测试的优点是可以公平获得不同算法实际在线时的性能指标,包括商业上关注的指标。AB测试的缺点主要是周期比较长,必须进行长期的实验才能得到可靠的结果。因此一般不会用 AB测试测试所有的算法,而只是用它测试那些在离线实验和用户调查中表现很好的算法。其次, 一个大型网站的AB测试系统的设计也是一项复杂的工程。
一般来说,一个新的推荐算法最终上线,需要完成上面所说的3个实验。
1)首先,需要通过离线实验证明它在很多离线指标上优于现有的算法。
2)然后,需要通过用户调查确定它的用户满意度不低于现有的算法。
3)最后,通过在线的AB测试确定它在我们关心的指标上。
3、评测指标
本节将介绍各种推荐系统的评测指标。这些评测指标可用于评价推荐系统各方面的性能。这 些指标有些可以定量计算,有些只能定性描述,有些可以通过离线实验计算,有些需要通过用户 调查获得,还有些只能在线评测。
3.
1
用户满意度
用户作为推荐系统的重要参与者,其满意度是评测推荐系统的最重要指标。但是,用户满意度没有办法离线计算,只能通过用户调查或者在线实验获得。
在在线系统中,用户满意度主要通过一些对用户行为的统计得到。比如在电子商务网站中,用户如果购买了推荐的商品,就表示他们在一定程度上满意。因此,我们可以利用购买率度量用 户的满意度。此外,有些网站会通过设计一些用户反馈界面收集用户满意度。比如在视频网站中,都有对推荐结果满意或者不满意的反馈按钮,通过统计两种按钮的单击情况就可以度量系统的用户满意度。更一般的情况下,我们可以用点击率、用户停留时间和转化率等指标度量用户的满意度。
3.2 预测准确度
预测准确度度量一个推荐系统或者推荐算法预测用户行为的能力。这个指标是最重要的推荐系统离线评测指标。
在计算该指标时需要有一个离线的数据集,该数据集包含用户的历史行为记录。然后,将该数据集通过时间分成训练集和测试集。最后,通过在训练集上建立用户的行为和兴趣模型预测用户在测试集上的行为,并计算预测行为和测试集上实际行为的重合度作为预测准确度。
预测准确度指标有分为以下几种:
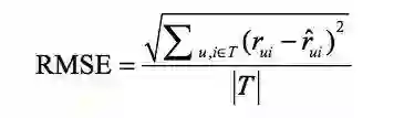
评分预测
预测用户对物品评分的行为称为评分预测,在评分预测中,预测准确度一般通过均方根误差RMSE 和 平均绝对误差MAE计算,对于测试集中的一个用户u和物品i,令rui是用户u对物品i的实际评分,而rˆui 是推荐算法给出的预测评分,那么RMSE的定义为:
MAE采用绝对值计算预测误差,它的定义为:
topN推荐
网站在提供推荐服务时,一般是给用户一个个性化的推荐列表,这种推荐叫做TopN推荐。TopN推荐的预测准确率一般通过准确率(precision)/召回率(recall)度量。
令R(u)是根据用户在训练集上的行为给用户作出的推荐列表,而T(u)是用户在测试集上的行为列表。那么,推荐结果的召回率定义为:
推荐结果的准确率定义为:
3.3 覆盖率
覆盖率(coverage)描述一个推荐系统对物品长尾的发掘能力。覆盖率有不同的定义方法,最简单的定义为推荐系统能够推荐出来的物品占总物品集合的比例。假设系统的用户集合为U,推荐系统给每个用户推荐一个长度为N的物品列表R(u)。那么推荐系统的覆盖率可以通过下面的公式计算:
此外,从上面的定义也可以看到,热门排行榜的推荐覆盖率是很低的,它只会 推荐那些热门的物品,这些物品在总物品中占的比例很小。一个好的推荐系统不仅需要有比较高的用户满意度,也要有较高的覆盖率。
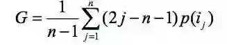
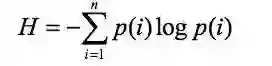
但是上面的定义过于粗略。覆盖率为100%的系统可以有无数的物品流行度分布。为了更细致地描述推荐系统发掘长尾的能力,需要统计推荐列表中不同物品出现次数的分布。如果所有的 物品都出现在推荐列表中,且出现的次数差不多,那么推荐系统发掘长尾的能力就很好。因此, 可以通过研究物品在推荐列表中出现次数的分布描述推荐系统挖掘长尾的能力。如果这个分布比 较平,那么说明推荐系统的覆盖率较高,而如果这个分布较陡峭,说明推荐系统的覆盖率较低。在信息论和经济学中有两个著名的指标可以用来定义覆盖率。第一个是信息熵:
第二个指标是基尼系数(Gini Index):
3.4 多样性
为了满足用户广泛的兴趣,推荐列表需要能够覆盖用户不同的兴 趣领域,即推荐结果需要具有多样性。多样性推荐列表的好处用一句俗话表述就是“不在一棵树 上吊死”。尽管用户的兴趣在较长的时间跨度中是一样的,但具体到用户访问推荐系统的某一刻, 其兴趣往往是单一的,那么如果推荐列表只能覆盖用户的一个兴趣点,而这个兴趣点不是用户这 个时刻的兴趣点,推荐列表就不会让用户满意。反之,如果推荐列表比较多样,覆盖了用户绝大 多数的兴趣点,那么就会增加用户找到感兴趣物品的概率。因此给用户的推荐列表也需要满足用户广泛的兴趣,即具有多样性。
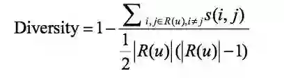
多样性描述了推荐列表中物品两两之间的不相似性。因此,多样性和相似性是对应的。假设s(i, j) ∈[0,1] 定义了物品i和j之间的相似度,那么用户u的推荐列表R(u)的多样性定义如下:
而推荐系统的整体多样性可以定义为所有用户推荐列表多样性的平均值:
3.5 新颖性
新颖的推荐是指给用户推荐那些他们以前没有听说过的物品。在一个网站中实现新颖性的最简单办法是,把那些用户之前在网站中对其有过行为的物品从推荐列表中过滤掉。比如在一个视 频网站中,新颖的推荐不应该给用户推荐那些他们已经看过、打过分或者浏览过的视频。
评测新颖度的最简单方法是利用推荐结果的平均流行度,因为越不热门的物品越 可能让用户觉得新颖。因此,如果推荐结果中物品的平均热门程度较低,那么推荐结果就可能有比较高的新颖性。
3.6 惊喜度
惊喜度(serendipity)是最近这几年推荐系统领域最热门的话题。如果推荐结果和用户的历史兴趣不相似,但却让用户觉得满意,那么就可以说推荐结果的惊喜度很高,而推荐的新颖性仅仅取决于用户是否听说过这个推荐结果。提高推荐惊喜度需要提高推荐结果的用户满意度,同时降低推荐结果和用户历史兴趣的相似度。
3.7 信任度
度量推荐系统的信任度只能通过问卷调查的方式,询问用户是否信任推荐系统的推荐结果。
提高推荐系统的信任度主要有两种方法。首先需要增加推荐系统的透明度(transparency), 而增加推荐系统透明度的主要办法是提供推荐解释。只有让用户了解推荐系统的运行机制,让用 户认同推荐系统的运行机制,才会提高用户对推荐系统的信任度。其次是考虑用户的社交网络 信息,利用用户的好友信息给用户做推荐,并且用好友进行推荐解释。这是因为用户对他们的 好友一般都比较信任,因此如果推荐的商品是好友购买过的,那么他们对推荐结果就会相对比较信任。
3.8 实时性
在很多网站中,因为物品(新闻、微博等)具有很强的时效性,所以需要在物品还具有时效 性时就将它们推荐给用户。
推荐系统的实时性包括两个方面。首先,推荐系统需要实时地更新推荐列表来满足用户新的 行为变化。实时性的第二个方面是推荐系统需要能够将新加入系统的物品推荐给用户。这主要考验了推 荐系统处理物品冷启动的能力。
3.9 健壮性
健壮性(即robust,鲁棒 性)指标衡量了一个推荐系统抗击作弊的能力。算法健壮性的评测主要利用模拟攻击。首先,给定一个数据集和一个算法,可以用这个算法 给这个数据集中的用户生成推荐列表。然后,用常用的攻击方法向数据集中注入噪声数据,然后 利用算法在注入噪声后的数据集上再次给用户生成推荐列表。最后,通过比较攻击前后推荐列表 的相似度评测算法的健壮性。如果攻击后的推荐列表相对于攻击前没有发生大的变化,就说明算 法比较健壮。
3.10 商业目标
很多时候,网站评测推荐系统更加注重网站的商业目标是否达成,而商业目标和网站的盈利模式是息息相关的。
3.11 总结
本节提到了很多指标,其中有些指标可以离线计算,有些只能在线获得。下表对指标的获得做出了总结。
4、评测维度
上一节介绍了很多评测指标,但是在评测系统中还需要考虑评测维度,比如一个推荐算法, 虽然整体性能不好,但可能在某种情况下性能比较好,而增加评测维度的目的就是知道一个算法 在什么情况下性能最好。这样可以为融合不同推荐算法取得最好的整体性能带来参考。
一般来说,评测维度分为如下3种。
1)用户维度:主要包括用户的人口统计学信息、活跃度以及是不是新用户等。
2)物品维度:包括物品的属性信息、流行度、平均分以及是不是新加入的物品等。
3)时间维度:包括季节,是工作日还是周末,是白天还是晚上等。
如果能够在推荐系统评测报告中包含不同维度下的系统评测指标,就能帮我们全面地了解推 荐系统性能,找到一个看上去比较弱的算法的优势,发现一个看上去比较强的算法的缺点。
PS:
从今天开始详细的了解下推荐系统,希望大家有啥好资料,可以推荐下,感谢本文的作者。
登录查看更多
点赞并收藏
0
暂时没有读者
25
权益说明
本文档仅做收录索引使用,若发现您的权益受到侵害,请立即联系客服(微信: zhuanzhi02,邮箱:
[email protected]
),我们会尽快为您处理
相关内容
推荐系统
关注
1250
推荐系统,是指根据用户的习惯、偏好或兴趣,从不断到来的大规模信息中识别满足用户兴趣的信息的过程。推荐推荐任务中的信息往往称为物品(Item)。根据具体应用背景的不同,这些物品可以是新闻、电影、音乐、广告、商品等各种对象。推荐系统利用电子商务网站向客户提供商品信息和建议,帮助用户决定应该购买什么产品,模拟销售人员帮助客户完成购买过程。个性化推荐是根据用户的兴趣特点和购买行为,向用户推荐用户感兴趣的信息和商品。随着电子商务规模的不断扩大,商品个数和种类快速增长,顾客需要花费大量的时间才能找到自己想买的商品。这种浏览大量无关的信息和产品过程无疑会使淹没在信息过载问题中的消费者不断流失。为了解决这些问题,个性化推荐系统应运而生。个性化推荐系统是建立在海量数据挖掘基础上的一种高级商务智能平台,以帮助电子商务网站为其顾客购物提供完全个性化的决策支持和信息服务。
知识荟萃
精品入门和进阶教程、论文和代码整理等
更多
查看相关VIP内容、论文、资讯等
【KDD2020】基于知识图谱的语义融合改进会话推荐系统,Improving Conversational Recommender Systems via Knowledge Graph based Semantic Fusion
专知会员服务
90+阅读 · 2020年7月9日
【干货书】实战推荐系统,Practical Recommender Systems,432页pdf
专知会员服务
181+阅读 · 2020年4月17日
对话推荐系统综述论文,35页pdf,A Survey on Conversational Recommender Systems
专知会员服务
117+阅读 · 2020年4月3日
知识图谱如何用于推荐系统? 中科院计算所百度微软等学者最新综述论文40+最新方法阐述KG提升RS准确性与可解释性
专知会员服务
142+阅读 · 2020年3月12日
【推荐论文】知识图谱如何用于推荐系统?A Survey on Knowledge Graph-Based Recommender Systems
专知会员服务
171+阅读 · 2020年3月3日
WSDM2020教程《基于图学习和推理的推荐系统》,附130页PPT下载
专知会员服务
218+阅读 · 2020年2月15日
【WWW2020-华为诺亚方舟论文】元学习推荐系统MetaSelector
专知会员服务
56+阅读 · 2020年2月10日
【基于元学习的推荐系统】5篇相关论文
专知会员服务
88+阅读 · 2020年1月20日
南洋理工大学,深度学习推荐系统综述
专知会员服务
177+阅读 · 2019年10月14日
可解释推荐:综述与新视角
专知会员服务
114+阅读 · 2019年10月13日
我的推荐系统入门经验~
大数据技术
39+阅读 · 2019年9月19日
我是怎么走上推荐系统这条(不归)路的……
全球人工智能
11+阅读 · 2019年4月9日
推荐系统
炼数成金订阅号
28+阅读 · 2019年1月17日
一文简单理解“推荐系统”原理及架构
51CTO博客
8+阅读 · 2018年10月31日
推荐系统概述
Python开发者
11+阅读 · 2018年9月27日
2018年推荐系统入门指南
论智
15+阅读 · 2018年7月14日
一文读懂推荐系统知识体系-下(评估、实战、学习资料)
AI100
34+阅读 · 2017年11月7日
独家 | 一文读懂推荐系统知识体系(附学习资料)
THU数据派
8+阅读 · 2017年11月5日
【推荐系统】一文读懂推荐系统知识体系
产业智能官
43+阅读 · 2017年10月31日
推荐系统杂谈
架构文摘
28+阅读 · 2017年9月15日
Memory Augmented Graph Neural Networks for Sequential Recommendation
Arxiv
13+阅读 · 2019年12月26日
A Context-Aware Citation Recommendation Model with BERT and Graph Convolutional Networks
Arxiv
9+阅读 · 2019年3月15日
Graph Convolutional Neural Networks via Motif-based Attention
Arxiv
10+阅读 · 2019年2月25日
Graph Neural Networks for Social Recommendation
Arxiv
10+阅读 · 2019年2月19日
Projecting Embeddings for Domain Adaptation: Joint Modeling of Sentiment Analysis in Diverse Domains
Arxiv
8+阅读 · 2018年6月13日
Faithfully Explaining Rankings in a News Recommender System
Arxiv
6+阅读 · 2018年5月14日
Attention-based Group Recommendation
Arxiv
14+阅读 · 2018年4月18日
Collaborative Autoencoder for Recommender Systems
Arxiv
9+阅读 · 2018年1月30日
Neural Attentive Session-based Recommendation
Arxiv
5+阅读 · 2017年11月13日
MatchZoo: A Toolkit for Deep Text Matching
Arxiv
5+阅读 · 2017年7月23日
VIP会员
自助开通(推荐)
客服开通
详情
相关主题
推荐系统
信息消费
测试集
在线实验
训练集
个性化推荐
最新内容
生成式AI基础小册子绪论解读:一条数学地基路线,178页pdf
专知会员服务
2+阅读 · 5月29日
AutoScientists:自组织智能体团队驱动长期科学实验
专知会员服务
2+阅读 · 5月29日
《阿利·伯克级驱逐舰的战损修理:桌面推演结果》报告
专知会员服务
3+阅读 · 5月29日
战略前沿人工智能的再思考(中文)
专知会员服务
3+阅读 · 5月29日
《量化地基防空系统间接效应的博弈论方法》
专知会员服务
3+阅读 · 5月29日
传感器网络:美国如何探测来自伊朗的导弹与无人机
专知会员服务
3+阅读 · 5月29日
《无人机战争中的经济不对称:伊朗“沙赫德-136”对抗以色列“铁穹”防御系统的案例研究》
专知会员服务
4+阅读 · 5月29日
“史诗怒火行动”中美军损失的作战飞机
专知会员服务
2+阅读 · 5月29日
ICML 2026 | 理解上下文持续学习中的泛化与遗忘
专知会员服务
5+阅读 · 5月28日
Agent Harness综述:大模型智能体执行器工程全景
专知会员服务
13+阅读 · 5月28日
审视现代战争中的 AI 赋能杀伤链系统及印度防务的战略要务(中文版)
专知会员服务
14+阅读 · 5月28日
分布式作战效能:乌克兰如何在战术层面重新定义火力打击、电子战与防空(中文版)
专知会员服务
9+阅读 · 5月28日
马赛克防御与分布式指挥:伊朗的回击(中文版)
专知会员服务
10+阅读 · 5月28日
《基于理论的威慑效能评估》
专知会员服务
8+阅读 · 5月28日
《移动旅级战斗队转型中的支援单元指挥控制挑战》
专知会员服务
15+阅读 · 5月27日
相关VIP内容
【KDD2020】基于知识图谱的语义融合改进会话推荐系统,Improving Conversational Recommender Systems via Knowledge Graph based Semantic Fusion
专知会员服务
90+阅读 · 2020年7月9日
【干货书】实战推荐系统,Practical Recommender Systems,432页pdf
专知会员服务
181+阅读 · 2020年4月17日
对话推荐系统综述论文,35页pdf,A Survey on Conversational Recommender Systems
专知会员服务
117+阅读 · 2020年4月3日
知识图谱如何用于推荐系统? 中科院计算所百度微软等学者最新综述论文40+最新方法阐述KG提升RS准确性与可解释性
专知会员服务
142+阅读 · 2020年3月12日
【推荐论文】知识图谱如何用于推荐系统?A Survey on Knowledge Graph-Based Recommender Systems
专知会员服务
171+阅读 · 2020年3月3日
WSDM2020教程《基于图学习和推理的推荐系统》,附130页PPT下载
专知会员服务
218+阅读 · 2020年2月15日
【WWW2020-华为诺亚方舟论文】元学习推荐系统MetaSelector
专知会员服务
56+阅读 · 2020年2月10日
【基于元学习的推荐系统】5篇相关论文
专知会员服务
88+阅读 · 2020年1月20日
南洋理工大学,深度学习推荐系统综述
专知会员服务
177+阅读 · 2019年10月14日
可解释推荐:综述与新视角
专知会员服务
114+阅读 · 2019年10月13日
热门VIP内容
开通专知VIP会员 享更多权益服务
AutoScientists:自组织智能体团队驱动长期科学实验
战略前沿人工智能的再思考(中文)
生成式AI基础小册子绪论解读:一条数学地基路线,178页pdf
《阿利·伯克级驱逐舰的战损修理:桌面推演结果》报告
相关资讯
我的推荐系统入门经验~
大数据技术
39+阅读 · 2019年9月19日
我是怎么走上推荐系统这条(不归)路的……
全球人工智能
11+阅读 · 2019年4月9日
推荐系统
炼数成金订阅号
28+阅读 · 2019年1月17日
一文简单理解“推荐系统”原理及架构
51CTO博客
8+阅读 · 2018年10月31日
推荐系统概述
Python开发者
11+阅读 · 2018年9月27日
2018年推荐系统入门指南
论智
15+阅读 · 2018年7月14日
一文读懂推荐系统知识体系-下(评估、实战、学习资料)
AI100
34+阅读 · 2017年11月7日
独家 | 一文读懂推荐系统知识体系(附学习资料)
THU数据派
8+阅读 · 2017年11月5日
【推荐系统】一文读懂推荐系统知识体系
产业智能官
43+阅读 · 2017年10月31日
推荐系统杂谈
架构文摘
28+阅读 · 2017年9月15日
相关论文
Memory Augmented Graph Neural Networks for Sequential Recommendation
Arxiv
13+阅读 · 2019年12月26日
A Context-Aware Citation Recommendation Model with BERT and Graph Convolutional Networks
Arxiv
9+阅读 · 2019年3月15日
Graph Convolutional Neural Networks via Motif-based Attention
Arxiv
10+阅读 · 2019年2月25日
Graph Neural Networks for Social Recommendation
Arxiv
10+阅读 · 2019年2月19日
Projecting Embeddings for Domain Adaptation: Joint Modeling of Sentiment Analysis in Diverse Domains
Arxiv
8+阅读 · 2018年6月13日
Faithfully Explaining Rankings in a News Recommender System
Arxiv
6+阅读 · 2018年5月14日
Attention-based Group Recommendation
Arxiv
14+阅读 · 2018年4月18日
Collaborative Autoencoder for Recommender Systems
Arxiv
9+阅读 · 2018年1月30日
Neural Attentive Session-based Recommendation
Arxiv
5+阅读 · 2017年11月13日
MatchZoo: A Toolkit for Deep Text Matching
Arxiv
5+阅读 · 2017年7月23日
大家都在搜
maven
palantir
空军条令出版物
PDF下载
视觉语言
SWOT分析套路
terraform
雷鸟科技
篮球制作
rNPV (风险调整现金流折现法)
Top
提示
微信扫码
咨询专知VIP会员与技术项目合作
(加微信请备注: "专知")
微信扫码咨询专知VIP会员
Top