找到那些氪金大佬,然后榨干他们丨AIの特殊技能

2019 年 7 月 5 日 量子位
郭一璞 假装发自 千代田 
量子位 报道 | 公众号 QbitAI

网游,或者说,氪金手游,是一种很神奇的生态——总是由一部分大R(高额付费玩家)在养活游戏团队,而一部分零元党(免费玩家)在白嫖。

那么,锁定大R就是网游公司的重点工作任务,雇抠脚大汉冒充专属客服美眉、给大R们组织各种玩家活动见面会,都是“客户答谢”的手段。

但实际上,下载一个网游的大部分玩家都流失了,只有一少部分人才能成为大R,甚至好不容易吸引来的土豪也可能会中途卸载。

像这张图上展示的一样,大部分玩家都会很快卸载脱坑,一些哪怕是氪金玩家也会玩着玩着就弃了,只有少量玩家会持续往游戏里充钱,成为支撑游戏公司股价的中流砥柱。

那么,如何保证不在“白嫖”的玩家身上浪费精力,并且在游戏刚开服的时候提前找到那些氪金大佬,让他们贡献最多的钞票呢?

位于日本东京千代田的数据公司Yokozuna Data就研究出了一套AI方法,可以根据用户行为,在游戏刚进入市场的时候,就能找到那些未来会氪金大佬,然后通过各种活动、更新和设计,榨干他们的钱袋。

何时开始氪金?

首先,要拿现成的游戏当数据集。

这家日本公司找了两个游戏,一个是《Age of Ishtaria》,中文名可以译作《伊斯塔利亚时代》。

另一个是《Grand Sphere》,中文译名《宿命的王女与龙之骑士》,毕竟是根据日文名来的,名字又长又戏精,TapTap评分8.4分。

两个游戏的都是Yokozuna Data公司CEO的前东家出品,都是以可爱的小姐姐为主角抽卡对战游戏,追求SSR的大佬们可以尽情氪氪氪。

研究者们找到了《伊斯塔利亚时代》2015年1月至2017年2月期间的游戏数据,还有《宿命的王女与龙之骑士》2017年6月至2018年5月期间的游戏数据,包含每位玩家每日在游戏里的活动记录,比如游戏时间、游戏行为、沟通会话等。

数据集不包含新玩家,因为许多玩家手机上的游戏应用都不会保留到第二天,自然也不可能是付费用户,没有从他们身上挣钱的可能性。

因此,两款游戏中分别只有5.32%和5.30%的玩家进入了数据集中,总共30000名《伊斯塔利亚时代》的玩家,和10000名《宿命的王女与龙之骑士》的玩家,他们的数据被随机分配,30%成为了训练集,70%成为了测试集。

研究者们选取了三个影响他们是否付费主要的变量:

玩家生命周期:从注册开始,一名玩家总共玩了多少天。

等级:大部分游戏都会有的级别系统。

总共游戏时间:每位玩家在游戏里累计玩了多少个小时。

三个变量和用户是否付费息息相关。

《伊斯塔利亚时代》游戏中,玩的日子长的玩家付费比例更高:

等级越高的玩家,同样付费比例越高,几百级的玩家几乎个个都氪金:

游戏时长越长的玩家,付费比例越高,玩几千个小时的玩家基本都是付费的:

这些图上的阴影表示有95%的置信区间。

另外,如果你把付费的玩家单拎出来,就可以看到他们是在玩到第几天、第几级、第几个小时的时候开始付费的。

大部分付费玩家都是在玩这个游戏的一个月内就开始付费了:

此时,他们的等级基本都不到50级:

总共也没肝几十个小时:

毕竟,免费玩家才肝游戏,付费玩家都是直接氪的。

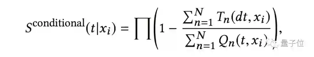
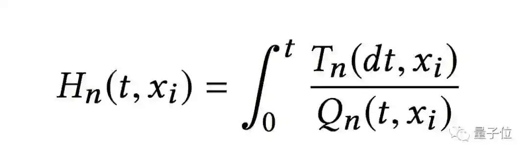
生存分析模型

有了数据之后,研究团队启用了生存分析模型(Survival analysis model),这也是首次使用生存分析的方法来做游戏付费用户研究。

主要用到了三种主要方法:

条件推理森林,Conditional Inference Forest

随机森林算法, Random Survival Forest

COX回归,Cox Regression

既然玩家付费状况和他们玩的天数、等级、小时数有关,那么久用这三种方法预测玩家玩的天数、等级、小时数,进而预测他们是否会付费。

通过上面的三种方法,分别预测天数、等级、小时数三个数值,得到了9个结果点阵图:

鉴于大部分玩家脱坑太快,比较小的数字点阵太密集,把它换成对数点阵图就会清晰一些:

从数据来看,无论采用的是三种之中的哪种方法,假阳性和假阴性都很低:

也就是说,通过用户行为来预测其玩一款游戏持续的日期、等级、时间,是可以通过生存分析的方法做出准确预测的,而这些玩的日子久、等级高、时间长的用户,多数都是付费的。

因此,对于一款刚上市的游戏来说,通过开服前几天内玩家们的游戏行为,就可以找到那些未来极有可能会充值付费的玩家,这样,就能做出针对性举措了。

研究者在论文中说,这种方法的确可以定位到具体玩家,基于过去行为预测未来的举动,借此来进行定制化的游戏体验。

毕竟,为了大R的感受而将游戏改版,也不是什么新鲜事。

另外,还能让游戏公司适度激励小R和零元党,促进他们的充值行为比如刺激低客单价玩家提高消费额度,或者刺激低频次消费提升消费频次。

传送门

论文
From Non-Paying to Premium: Predicting User Conversion in Video Games with Ensemble Learning
作者:Anna Guitart, Shi Hui Tan, Ana Fernández del Río, Pei Pei Chen, África Periáñez
https://arxiv.org/abs/1906.10320


AI社群 | 与优秀的人交流

小程序 | 全类别AI学习教程

量子位 QbitAI · 头条号签约作者

վ'ᴗ' ի 追踪AI技术和产品新动态

喜欢就点「在看」吧 ! 

登录查看更多
0

相关内容

卸载从硬盘删除程序文件和文件夹以及从注册表删除相关数据的操作
【2020新书】使用高级C# 提升你的编程技能,412页pdf
专知会员服务
60+阅读 · 2020年6月26日
【2020新书】数据科学:十大Python项目,247页pdf
专知会员服务
216+阅读 · 2020年2月21日
【新书】Python中的经典计算机科学问题,224页PDF
专知会员服务
59+阅读 · 2019年12月31日
【新书】Python编程基础,669页pdf
专知会员服务
197+阅读 · 2019年10月10日
我是怎么走上推荐系统这条(不归)路的……
全球人工智能
11+阅读 · 2019年4月9日
研究了28本公司日历后,我们发现了一些有趣的事情
中国企业家杂志
14+阅读 · 2019年2月2日
吃鸡手游竟然是Python写的?
机器学习算法与Python学习
7+阅读 · 2018年9月11日
那个要让程序员财务自由的李奥,招人了!
交易门
3+阅读 · 2018年7月13日
视频 | 如何用 AI 预测股价?
AI研习社
5+阅读 · 2017年6月30日
Arxiv
15+阅读 · 2019年9月11日
Augmentation for small object detection
Arxiv
13+阅读 · 2019年2月19日
Arxiv
4+阅读 · 2018年9月6日
Arxiv
8+阅读 · 2018年6月19日
Arxiv
6+阅读 · 2018年3月29日
Arxiv
7+阅读 · 2017年12月28日
VIP会员
最新内容
内省扩散语言模型
专知会员服务
2+阅读 · 4月14日
国外反无人机系统与技术动态
专知会员服务
3+阅读 · 4月14日
大规模作战行动中的战术作战评估(研究论文)
未来的海战无人自主系统
专知会员服务
3+阅读 · 4月14日
美军多域作战现状分析:战略、概念还是幻想?
无人机与反无人机系统(书籍)
专知会员服务
17+阅读 · 4月14日
美陆军2026条令:安全与机动支援
专知会员服务
7+阅读 · 4月14日
相关VIP内容
【2020新书】使用高级C# 提升你的编程技能,412页pdf
专知会员服务
60+阅读 · 2020年6月26日
【2020新书】数据科学:十大Python项目,247页pdf
专知会员服务
216+阅读 · 2020年2月21日
【新书】Python中的经典计算机科学问题,224页PDF
专知会员服务
59+阅读 · 2019年12月31日
【新书】Python编程基础,669页pdf
专知会员服务
197+阅读 · 2019年10月10日
相关资讯
我是怎么走上推荐系统这条(不归)路的……
全球人工智能
11+阅读 · 2019年4月9日
研究了28本公司日历后,我们发现了一些有趣的事情
中国企业家杂志
14+阅读 · 2019年2月2日
吃鸡手游竟然是Python写的?
机器学习算法与Python学习
7+阅读 · 2018年9月11日
那个要让程序员财务自由的李奥,招人了!
交易门
3+阅读 · 2018年7月13日
视频 | 如何用 AI 预测股价?
AI研习社
5+阅读 · 2017年6月30日
相关论文
Arxiv
15+阅读 · 2019年9月11日
Augmentation for small object detection
Arxiv
13+阅读 · 2019年2月19日
Arxiv
4+阅读 · 2018年9月6日
Arxiv
8+阅读 · 2018年6月19日
Arxiv
6+阅读 · 2018年3月29日
Arxiv
7+阅读 · 2017年12月28日
Top
微信扫码咨询专知VIP会员