入门 | 什么是最大似然估计、最大后验估计以及贝叶斯参数估计

2018 年 4 月 15 日 机器之心

选自Medium

作者:Akihiro Matsukawa

机器之心编译

参与:Geek.ai、刘晓坤


本文以简单的案例,解释了最大似然估计、最大后验估计以及贝叶斯参数估计的联系和区别。


假如你有一个硬币。你把它投掷 3 次,出现了 3 次正面。下一次投掷硬币正面朝上的概率是多少? 这是一个从数据中估计参数的基础机器学习问题。在这种情况下,我们要从数据 D 中估算出正面朝上 h 的概率。


最大似然估计


一种方法是找到能最大化观测数据的似然函数(即 P(D;h))的参数 h 的值。在这里,我们用「;」来表示 h 是一个关于概率分布 P 的参数,意味着参数 h 定义了分布 P,但是分布 P 只是说明了观测数据 D 成立的可能性有多大。



这是被称为「最大似然估计」的最常用的参数估计方法。通过该方法,我们估计出 h=1.0。


但是直觉告诉我们,这是不可能的。对于大多数的硬币来说,还是存在反面朝上的结果的可能性,因此我们通常希望得到像 h=0.5 这样的结果。


先验和后验


如何将这种直觉数学化地表述出来呢?我们可以定义一个观测数据和参数的联合概率:p(D, h) = p(D|h)p(h)。我们定义一个先验分布 p(h) 来表示在观测前关于 h 应该是什么值的直觉,以及在给定参数 h 的情况下的条件概率 p(D|h)。


如何利用现有的数据 D 估计参数 h 呢?我们需要得到后验分布 p(h|D),但是目前只有分布 P(D|h) 和 p(h)。这时候,你需要贝叶斯公式来帮忙!


贝叶斯公式:P(h|D)=P(D|h)*P(h)/P(D)


但是,这里的分母是一个问题:



一般来说,计算这个积分是不可能的。对于这个投硬币的例子来说,如果使用非常特殊的共轭先验分布,就可以绕过这个问题。


最大后验估计


但实际上,我们可以抛开归一化常数 P(D) 以更巧妙的方式讨论 p(h|D)。也就是说归一化常数不改变分布的相对大小,我们可以在不做积分的情况下找到模式:



这就是人们所熟知的最大后验估计(MAP)。有很多种方法可以算出变量 h 的确切值,例如:使用共轭梯度下降法。


贝叶斯参数估计


有了最大后验估计,可以通过先验分布来引入我们的直觉,并且忽略归一化积分,从而得到后验分布模式下的关于 h 的点估计。


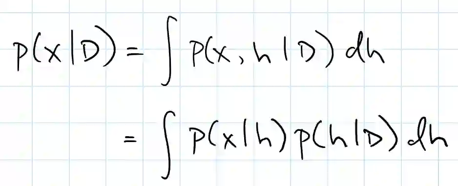
但是如果我们试着用近似方法求积分呢?如果按通常的独立同分布假设,我们可以利用这个事实:未来可能出现的数据样本值 x 条件独立于给定参数 h 时的观测值 D。



这并非使用与后验概率 p(h|D) 模式相应的参数 h 的单一值来计算 P(x|h),而是一个更加「严格」的方法,它让我们考虑到所有可能的 h 的后验值。这种方法被称为贝叶斯参数估计。


注意,存在两个关于概率分布的重要任务:


  • 推断:给定已知参数的联合分布,通过其它变量的边缘概率和条件概率估计一个变量子集上的概率分布。

  • 参数估计:从数据中估计某个概率分布的未知参数


贝叶斯参数估计将这两项任务构造成了「同一枚硬币的两面」:


估计在一组变量上定义的概率分布的参数,就是推断一个由原始变量和参数构成的元分布。


当然,实际上要做到这一点,需要计算困难的积分,我们将不得不用类似于「马尔可夫链蒙特卡洛算法」或者变分推断等方法取近似。 



原文链接:https://medium.com/@amatsukawa/maximum-likelihood-maximum-a-priori-and-bayesian-parameter-estimation-d99a23a0519f



本文为机器之心编译,转载请联系本公众号获得授权

✄------------------------------------------------

加入机器之心(全职记者/实习生):[email protected]

投稿或寻求报道:[email protected]

广告&商务合作:[email protected]



登录查看更多
11

相关内容

【2020新书】从Excel中学习数据挖掘,223页pdf
专知会员服务
94+阅读 · 2020年6月28日
机器学习速查手册,135页pdf
专知会员服务
345+阅读 · 2020年3月15日
【开源书】PyTorch深度学习起步,零基础入门(附pdf下载)
专知会员服务
115+阅读 · 2019年10月26日
零基础概率论入门:最大似然估计
论智
12+阅读 · 2018年1月18日
概率论之概念解析:引言篇
专知
6+阅读 · 2018年1月8日
概率论之概念解析:极大似然估计
专知
9+阅读 · 2018年1月6日
专栏 | 贝叶斯学习与未来人工智能
机器之心
10+阅读 · 2017年9月19日
MNIST入门:贝叶斯方法
Python程序员
23+阅读 · 2017年7月3日
[有意思的数学] 参数估计
机器学习和数学
15+阅读 · 2017年6月4日
Weight Poisoning Attacks on Pre-trained Models
Arxiv
5+阅读 · 2020年4月14日
q-Space Novelty Detection with Variational Autoencoders
Implicit Maximum Likelihood Estimation
Arxiv
7+阅读 · 2018年9月24日
Arxiv
5+阅读 · 2018年5月21日
Arxiv
6+阅读 · 2018年3月29日
Arxiv
11+阅读 · 2018年3月23日
Arxiv
3+阅读 · 2017年7月6日
VIP会员
最新内容
ICML2026 | 重新思考顺序知识编辑中的正则化
专知会员服务
2+阅读 · 5月27日
《用于兵力发展选项优先排序的成本效益模型》
AutoResearch AI综述:迈向AI驱动的科学发现自动化
《Palantir边缘人工智能》手册
专知会员服务
22+阅读 · 5月26日
美军“国防自主作战群”(DAWG)概念解析
专知会员服务
3+阅读 · 5月26日
“史诗怒火”行动中的无人机与反无人机作战
专知会员服务
16+阅读 · 5月25日
相关资讯
零基础概率论入门:最大似然估计
论智
12+阅读 · 2018年1月18日
概率论之概念解析:引言篇
专知
6+阅读 · 2018年1月8日
概率论之概念解析:极大似然估计
专知
9+阅读 · 2018年1月6日
专栏 | 贝叶斯学习与未来人工智能
机器之心
10+阅读 · 2017年9月19日
MNIST入门:贝叶斯方法
Python程序员
23+阅读 · 2017年7月3日
[有意思的数学] 参数估计
机器学习和数学
15+阅读 · 2017年6月4日
相关论文
Top
微信扫码咨询专知VIP会员