【论文笔记】Graph U-Nets

2019 年 11 月 25 日 专知

导读】卷积神经网络可以在图像(image)上随意操作,并且像U-Nets这种编码-解码框架已经成功地应用在许多图像像素级预测任务中,但是在图(graph)数据上具有很大的挑战。为了解决这些挑战,我们提出了一个新颖的图池化(gPool)和图上采样((gUnpool))操作。图池化层(gPool)根据节点在可训练投影向量上的标量投影值,自适应地选择一些节点形成较小的图我们也提出了gUnpool层作为gPool的反操作,利用在相应的gPool层中选择的节点的位置信息,将图恢复到原来的结构中并且基于我们提出的gPool层与gUnpool层,我们提出了一个在图上的编码-解码模型,称为图U-Nets。在节点分类以及图分类任务中取得比以前的模型更好的性能。

https://arxiv.org/pdf/1905.05178.pdf


 动机

00


由于图上的节点没有位置信息,故进行编码的池化操作与进行解码的上采样操作在图数据中无法使用,进而无法在图数据上使用U-Net等解码-编码框架。 基于此,我们提出了一个新颖的图池化(gPool)和图上采样((gUnpool))操作,并且基于gPool层与gUnpool层,我们提出了一个在图上的编码-解码模型,称为图U-Nets,在对高级特征进行编码和解码同时保存本地空间信息。


 Graph U-Nets

01


图池化层


由于图上的节点没有位置信息,故先前的池化操作(最大池化、平均池化)不能在图上使用。 基于此,我们提出了图池化层(gPool)可以在图上进行下采样。 在这一层,我们自适应的选择一个节点子集去形成一个新的并且更小的图。
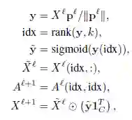
我们利用一个可训练的投影向量p,通过将所有节点特征投影到1维,我们可以利用k-max池化进行节点选择。 因为选择是基于l维空间,因此在新图上的连接性与节点间是一致的 给定一个节点i以及它的特征向量x_i,x_i在p上的标量投影为:
y_i衡量了节点i在投影到p的方向时,有多少信息可以被保留。


假设在图G中有N个节点,每一个节点具有C个特征。 这个图可以被表示为两个矩阵; 邻接矩阵A^l ∈R^{N×C},特征矩阵 X^l ∈R^{N×C} 。 邻接矩阵中每一个非0项表示图中两个节点的一个边。 特征矩阵X^l 的每一行向量x^l_i表示图中第i个节点的特征向量。 图池化层l的分层传播规则为:
其中:
  • k是新图中被选择的节点数量
  • rank(y; k)是节点排名操作,返回y中排名靠前的k个值对应的索引
  • idx是在新图中被选择节点的索引
  • X^l_{idx,:}是在特征矩阵中通过idx逐行索引
  • A^l_{idx,idx}是在特征矩阵中通过idx逐行、逐列索引
  • y(idx)提取y中对应索引的值
  • 1_C∈R^C是由1组成的大小为C的向量


值得注意的是,门操作(上图中的Gate部分)使投影矢量p可以通过反向传播进行训练。  


利用幂(power)图增强图的连通性


在上文提出的gPool层,我们对一些重要节点进行采样,以形成用于高级特征编码的新图表。 由于在gPool中删除节点时相关的边被删除,因此,在被聚合图中的节点可能被孤立 这可能会影响后续层中的信息传播,特别是当GCN层用于从相邻节点聚合信息时,需要增加被聚合图中的连通性。


为了解决这个问题,我们推出使用图的k阶幂(power)图G^k 去增加图的连接性。 这个操作在距离小于等于k跳的节点间建立连接(将G中所有的距离小于等于k的点对连接,获得的新图成为G的k阶幂图,记为G^k)。 由于在每个gPool层之前有一个GCN层来聚合来自其一阶相邻节点的信息。 因此,在本工作中,我们利用k=2,将上式中的A^{l+1}替换为:


Graph Unpooling 层(上采样)


上采样操作在U-Net等编码-解码网络中是重要的,网络的编码通常使用池化操作以减少特征图的大小并且增加感受野。 在解码中,特征图需要被上采样去恢复原始结构。 在图像数据中上采样操作有反卷积、以及上采样层。 然而,这些操作不能直接在图数据中灵活应用。


为了能够在图数据中使用上采样,我们提出图上采样层(gUnpool)),是图池化层的反操作,将图恢复到最初的结构。


为了能达到这个目的,我们记录在相关图池化层中选择节点的位置,并且使用这些信息去将节点重新放置到图中的原始位置,图上采样层的传播规则如下:
其中:
  • idx∈Z^{*k}包含相应gPool层(将图形大小从N个节点减少到k个节点)中选定节点的索引。
  • Xl∈R{N×C}是当前图的特征矩阵
  • 0_{N×C}是新图的初始空特征矩阵
distribute()是根据idx中存储的对应索引将X^l中的行向量分配到给初始空特征矩阵0_{N×C}的操作。 在X^{l+1} 中,索引为idx的行向量由X^l中的行向量更新,而其他行向量保持为零。


U-Nets框架


在图像数据中,U-Net等解码-编码网络可以在保存本地空间信息的同时对高级特征进行编码和解码。与像素级任务相似,节点分类任务致力于对于每一个输入单元进行预测。基于我们提出的gPool与gUnpool层,我们提出了用于节点分类任务的图U-Nets (g-U-Nets)框架。


在我们的图U-Nets (g-U-Nets)中,由于一些数据集原始的输入通常有一个很高维度的特征向量,我们首先应用一个图嵌入层去将节点转换为低维表示。 在图嵌入层之后,我们通过堆叠一些编码块去建立编码器,其中每一个都包含一个gPool层与一个GCN层(GCN层在gPool层之后)。 gPool层减少图的大小去编码高阶特征,而GCN层负责聚集来自每个节点的一阶信息 在解码器部分,我们堆叠解码块,每一个解码块由一个gUnpool层与GCN层组成。 gUnpool层将图形恢复到更高分辨率的结构中,GCN从它的邻居中聚合信息 在编码层与解码层之间有skip-connection将空间信息传递到解码器以得到更好地表现。 skip-connection可以是特征映射的加和也可以是拼接(concatenation)。 最后,在Softmax函数之前使用GCN层进行最终预测。


GCN层的改进


常用的GCN层在归一化之前的邻接矩阵被计算为 ~A=A+I,将自循环添加到图中的每个节点。 当执行信息聚合时,向节点自身的特征向量及其相邻节点赋予相同的权重。


在本文中,我们希望对于节点自身的特征向量给予更高的权重,因为它本身的特征对于预测应该更重要。 基于此,我们将邻接矩阵的计算改变为~A=A+2I,以此来对图中的自循环施加更大的权重。 (文中所有实验均使用此修改版本的GCN层)


 实验

02


我们主要进行如下三类实验:


  1. 将文中中提出的g-U-Nets与节点分类和图分类任务的最新模型进行比较。
  2. 进行了一些消融研究,以对比gPool层、gUnpool层和图形连接增强对性能改进的贡献。
  3. 对网络深度与节点分类性能之间的关系进行研究。


数据集


在实验中,我们评估了在转导学习(transductive learning)设置下的节点分类任务和归纳学习(inductive learning )设置下的图分类任务的网络。


  • 转导学习(transductive learning)设置下,选择Cora,Citeseer和Pubmed(Kipf&Welling,2017年),总结在表1中。 数据集是引文网络,每个节点和每个边分别代表文档和引文。 每个节点的特征向量是词袋表示,其大小由字典大小决定。 有20个用于训练的节点,500个用于验证的节点和1000个用于测试的节点。


  • 在归纳学习设置(inductive learning ),使用蛋白质数据集D&D、PROTEINS,科学合作数据集COLLAB。 这些数据总结在表2中。


已知testing data(unlabelled data)是transductive learing,在训练过程中,并不知道testing data ,训练好模型后去解决未知的testing data 是inductive learing


实验设置


对于转导学习任务,采用g-U-Net


  • GCN层将输入简化为低维表示
  • 在编码器部分,堆叠四个块,每个块由一个gPool层和一个GCN层组成。 别在四个gPool层中采样2000、1000、500、200个节点。
  • 解码器部分也包含四个块。 每个解码器块均由gUnpool层和GCN层组成
  • skip 连接: 使用加法运算。
  • dropout: 应用于邻接矩阵和特征矩阵,保持率分别为0.8和0.08。


对于归纳学习任务,使用g-U-Net在特征提取部分与转导学习设置相同。 由于图的大小在图分类任务中各不相同,因此在四个gPool层中采样节点的比例。 分别是90%,70%,60%和50%。 施加在特征矩阵上的dropout保持率为0.3。


实验结果


在转导学习设置下,节点分类准确性对比结果如表3所示:


从结果中可以观察到,g-U-Net比其他网络相比性能更好。 (g-U-Net和GCN之间的唯一区别是使用包含gPool和gUnpool层的编码器-解码器体系结构。 )


在归纳学习设置下,节点分类准确性对比结果如表4所示:


结果中可以观察到 在D&D和PROTEINS数据集上,gPool方法的性能优于DiffPool,并且与DiffPool相比,本文提出的g-U-Net没有使用任何辅助任务来稳定训练。


表5提供了具有和不具有gPool或gUnpool层的g-U-Net之间的比较结果。 结果表明,与没有gPool或gUnpool层的g-U-Net相比,本文提出的g-U-Net的性能更好。


表6提供了具有和不具有图形连接增强功能的g-U-Net之间的比较结果。 结果表明,缺少图连接性增强将导致所有三个数据集的性能持续下降。 这表明通过2幂图增强图连接性可以帮助图连接性和采样图中节点之间的信息传递。


表7展示了在节点分类任务上使用不同的网络深度,分类的准确性。 从结果中观察到,随着网络越深,深度达到4时,性能会提高,当深度超过该深度时,网络就无法改善。


-END-
专 · 知


专知,专业可信的人工智能知识分发,让认知协作更快更好!欢迎注册登录专知www.zhuanzhi.ai,获取5000+AI主题干货知识资料!
欢迎微信扫一扫加入专知人工智能知识星球群,获取最新AI专业干货知识教程视频资料和与专家交流咨询
请加专知小助手微信(扫一扫如下二维码添加),获取专知VIP会员码,加入专知人工智能主题群,咨询技术商务合作~
点击“阅读原文”,了解成为 专知会员 ,查看5000+AI主题知识资料
登录查看更多
81

相关内容

思想来自于视觉机制,是对信息进行抽象的过程。
【KDD2020】自适应多通道图卷积神经网络
专知会员服务
121+阅读 · 2020年7月9日
图卷积神经网络蒸馏知识,Distillating Knowledge from GCN
专知会员服务
96+阅读 · 2020年3月25日
【论文笔记】自注意力图池化
专知
82+阅读 · 2019年11月18日
【论文笔记】基于BERT的知识图谱补全
专知
116+阅读 · 2019年9月15日
精选论文 | 图深度学习【附打包下载】
人工智能前沿讲习班
11+阅读 · 2019年6月12日
Arxiv
9+阅读 · 2019年11月6日
Signed Graph Attention Networks
Arxiv
7+阅读 · 2019年9月5日
Arxiv
9+阅读 · 2018年10月18日
Arxiv
11+阅读 · 2018年9月28日
Arxiv
7+阅读 · 2018年3月21日
VIP会员
最新内容
以色列-美国-伊朗战争中的无人机:关键要点
专知会员服务
1+阅读 · 今天14:04
《Palantir任务保障性软件安全标准(MA-S2)》
专知会员服务
5+阅读 · 今天13:49
基于声学的无人机检测技术综述
专知会员服务
4+阅读 · 今天13:37
《当代混合战争分析框架:俄乌战争经验教训》
专知会员服务
4+阅读 · 今天13:11
战略前沿人工智能的再思考(中文)
专知会员服务
7+阅读 · 5月29日
《量化地基防空系统间接效应的博弈论方法》
专知会员服务
5+阅读 · 5月29日
“史诗怒火行动”中美军损失的作战飞机
专知会员服务
6+阅读 · 5月29日
ICML 2026 | 理解上下文持续学习中的泛化与遗忘
专知会员服务
5+阅读 · 5月28日
相关VIP内容
【KDD2020】自适应多通道图卷积神经网络
专知会员服务
121+阅读 · 2020年7月9日
图卷积神经网络蒸馏知识,Distillating Knowledge from GCN
专知会员服务
96+阅读 · 2020年3月25日
Top
微信扫码咨询专知VIP会员