【深入研究】使用RNN预测股票价格系列一(第四期免费赠书活动来啦!)

2017 年 11 月 7 日 量化投资与机器学习 编辑部



编辑部

微信公众号

关键字全网搜索最新排名

『量化投资』:排名第一

『量       化』:排名第一

『机器学习』:排名第三


我们会再接再厉

成为全网优质的金融、技术类公众号


今天编辑部推出一期基于Tensorflow建立循环神经网络来预测股票市场价格的教程。 第一部分着重于预测标准普尔500指数(大家可以自行换成国内指数就好)。


概述

我们将解释如何建立一个有LSTM单元的RNN模型来预测S&P500指数的价格。 数据集可以从Yahoo!下载。 在例子中,使用了从1950年1月3日(Yahoo! Finance可以追溯到的最大日期)的S&P 500数据到2017年6月23日。 为了简单起见,我们只使用每日收盘价进行预测。 同时,我将演示如何使用TensorBoard轻松调试和模型跟踪。


关于RNN和LSTM

RNN的目的使用来处理序列数据。在传统的神经网络模型中,是从输入层到隐含层再到输出层,层与层之间是全连接的,每层之间的节点是无连接的。但是这种普通的神经网络对于很多问题却无能无力。例如,你要预测句子的下一个单词是什么,一般需要用到前面的单词,因为一个句子中前后单词并不是独立的。RNN之所以称为循环神经网路,即一个序列当前的输出与前面的输出也有关。具体的表现形式为网络会对前面的信息进行记忆并应用于当前输出的计算中,即隐藏层之间的节点不再无连接而是有连接的,并且隐藏层的输入不仅包括输入层的输出还包括上一时刻隐藏层的输出。理论上,RNN能够对任何长度的序列数据进行处理。 



Long Short Term 网络,一般就叫做 LSTM,是一种 RNN 特殊的类型,LSTM区别于RNN的地方,主要就在于它在算法中加入了一个判断信息有用与否的“处理器”,这个处理器作用的结构被称为cell。一个cell当中被放置了三扇门,分别叫做输入门、遗忘门和输出门。一个信息进入LSTM的网络当中,可以根据规则来判断是否有用。只有符合算法认证的信息才会留下,不符的信息则通过遗忘门被遗忘。说起来无非就是一进二出的工作原理,却可以在反复运算下解决神经网络中长期存在的大问题。目前已经证明,LSTM是解决长序依赖问题的有效技术,并且这种技术的普适性非常高,导致带来的可能性变化非常多。各研究者根据LSTM纷纷提出了自己的变量版本,这就让LSTM可以处理千变万化的垂直问题。



数据准备

股票价格是长度为NN,定义为p0,p1,...,pN-1,其中pi是第i天的收盘价,0≤i<N。 我们有一个大小固定的移动窗口w(后面我们将其称为input_size),每次我们将窗口向右移动w个单位,以使所有移动窗口中的数据之间没有重叠。

我们使用一个移动窗口中的内容来预测下一个,而在两个连续的窗口之间没有重叠。


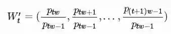
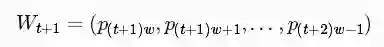
我们将建立RNN模型将LSTM单元作为基本的隐藏单元。 我们使用此值从时间t内将第一个移动窗口W0移动到窗口Wt:

预测价格在下一个窗口在Wt+1

我们试图学习一个近似函数,


展开的RNN


考虑反向传播(BPTT)是如何工作的,我们通常将RNN训练成一个“unrolled”的样式,这样我们就不需要做太多的传播计算,而且可以节省训练的复杂性。


以下是关于Tensorflow教程中input_size的解释:


By design, the output of a recurrent neural network (RNN) depends on arbitrarily distant inputs. Unfortunately, this makes backpropagation computation difficult. In order to make the learning process tractable, it is common practice to create an “unrolled” version of the network, which contains a fixed number (num_steps) of LSTM inputs and outputs. The model is then trained on this finite approximation of the RNN. This can be implemented by feeding inputs of length num_steps at a time and performing a backward pass after each such input block.


价格的顺序首先被分成不重叠的小窗口。 每个窗口都包含input_size数字,每个数字被视为一个独立的输入元素。 然后,任何num_steps连续的输入元素被分配到一个训练输入中,形成一个训练在Tensorfow上的“unrolled”版本的RNN。 相应的标签就是它们后面的输入元素。


例如,如果input_size = 3num_steps = 2,我们的第一批的训练样例如下所示:

以下是数据格式化的关键部分:(用手可以滑动代码)

seq = [np.array(seq[i * self.input_size: (i + 1) * self.input_size]) 
      for i in range(len(seq) // self.input_size)]

# Split into groups of `num_steps`
X = np.array([seq[i: i + self.num_steps] for i in range(len(seq) - self.num_steps)])
y = np.array([seq[i + self.num_steps] for i in range(len(seq) - self.num_steps)])


培训/测试拆分

由于我们总是想预测未来,我们以最新的10%的数据作为测试数据。


正则化

标准普尔500指数随着时间的推移而增加,导致测试集中大部分数值超出训练集的范围,因此模型必须预测一些以前从未见过的数字。 但这却不是很理想。

为了解决样本外的问题,我们在每个移动窗口中对价格进行了标准化。 任务变成预测相对变化率而不是绝对值。 在t时刻的标准化滑动窗口W't中,所有的值除以最后一个未知价格 Wt-1中的最后一个价格:

建立模型

定义

  • lstm_size:一个LSTM图层中的单元数。

  • num_layers:堆叠的LSTM层的数量。

  • keep_prob:单元格在 dropout 操作中保留的百分比。

  • init_learning_rate:开始学习的速率。

  • learning_rate_decay:后期训练时期的衰减率。

  • init_epoch:使用常量init_learning_rate的时期数。

  • max_epoch:训练次数在训练中的总数

  • input_size:移动窗口的大小/一个训练数据点

  • batch_size:在一个小批量中使用的数据点的数量。

‍‍The LSTM model has num_layers stacked LSTM layer(s) and each layer contains lstm_sizenumber of LSTM cells. Then a dropout mask with keep probability keep_prob is applied to the output of every LSTM cell. The goal of dropout is to remove the potential strong dependency on one dimension so as to prevent overfitting.

The training requires max_epoch epochs in total; an epoch is a single full pass of all the training data points. In one epoch, the training data points are split into mini-batches of size batch_size. We send one mini-batch to the model for one BPTT learning. The learning rate is set to init_learning_rate during the first init_epoch epochs and then decay by learning_rate_decay during every succeeding epoch.‍‍‍


(用手可以滑动代码)

# Configuration is wrapped in one object for easy tracking and passing.
class RNNConfig():
   input_size=1
   num_steps=30
   lstm_size=128
   num_layers=1
   keep_prob=0.8
   batch_size = 64
   init_learning_rate = 0.001
   learning_rate_decay = 0.99
   init_epoch = 5
   max_epoch = 50

config = RNNConfig()

定义图形

(1) Initialize a new graph first.(用手可以滑动代码)


import tensorflow as tf
tf.reset_default_graph()
lstm_graph = tf.Graph()


(2) How the graph works should be defined within its scope.(用手可以滑动代码)

with lstm_graph.as_default():


(3) Define the data required for computation. Here we need three input variables, all defined as tf.placeholder because we don’t know what they are at the graph construction stage.


  • inputs: the training data X, a tensor of shape (# data examples, num_steps, input_size); the number of data examples is unknown, so it is None. In our case, it would be batch_sizein training session. Check the input format example if confused.

  • targets: the training label y, a tensor of shape (# data examples, input_size).

  • learning_rate: a simple float.


(用手可以滑动代码)

# Dimension = (
   #     number of data examples,
   #     number of input in one computation step,
   #     number of numbers in one input
   # )
   # We don't know the number of examples beforehand, so it is None.
   inputs = tf.placeholder(tf.float32, [None, config.num_steps, config.input_size])
   targets = tf.placeholder(tf.float32, [None, config.input_size])
   learning_rate = tf.placeholder(tf.float32, None)


(4) This function returns one LSTMCell with or without dropout operation.(用手可以滑动代码)

def _create_one_cell():
   return tf.contrib.rnn.LSTMCell(config.lstm_size, state_is_tuple=True)
   if config.keep_prob < 1.0:
           return tf.contrib.rnn.DropoutWrapper(lstm_cell, output_keep_prob=config.keep_prob)


(5) Let’s stack the cells into multiple layers if needed. MultiRNNCell helps connect sequentially multiple simple cells to compose one cell.(用手可以滑动代码)

cell = tf.contrib.rnn.MultiRNNCell(
       [_create_one_cell() for _ in range(config.num_layers)],
       state_is_tuple=True
   ) if config.num_layers > 1 else _create_one_cell()


(6) tf.nn.dynamic_rnn constructs a recurrent neural network specified by cell (RNNCell). It returns a pair of (model outpus, state), where the outputs val is of size (batch_size, num_steps, lstm_size) by default. The state refers to the current state of the LSTM cell, not consumed here.(用手可以滑动代码)

val, _ = tf.nn.dynamic_rnn(cell, inputs, dtype=tf.float32)


(7) tf.transpose converts the outputs from the dimension (batch_size, num_steps, lstm_size) to (num_steps, batch_size, lstm_size). Then the last output is picked.(用手可以滑动代码)

# Before transpose, val.get_shape() = (batch_size, num_steps, lstm_size)
# After transpose, val.get_shape() = (num_steps, batch_size, lstm_size)
val = tf.transpose(val, [1, 0, 2])
# last.get_shape() = (batch_size, lstm_size)
ast = tf.gather(val, int(val.get_shape()[0]) - 1, name="last_lstm_output")

(8) Define weights and biases between the hidden and output layers.(用手可以滑动代码)

weight = tf.Variable(tf.truncated_normal([config.lstm_size, config.input_size]))
bias = tf.Variable(tf.constant(0.1, shape=[targets_width]))
prediction = tf.matmul(last, weight) + bias


(9) We use mean square error as the loss metric and the RMSPropOptimizer algorithm for gradient descent optimization.(用手可以滑动代码)

loss = tf.reduce_mean(tf.square(prediction - targets))
optimizer = tf.train.RMSPropOptimizer(learning_rate)
minimize = optimizer.minimize(loss)


开始训练过程

(1) To start training the graph with real data, we need to start a tf.session first.(用手可以滑动代码)

with tf.Session(graph=lstm_graph) as sess:


(2) Initialize the variables as defined.(用手可以滑动代码)

tf.global_variables_initializer().run()


(0) The learning rates for training epochs should have been precomputed beforehand. The index refers to the epoch index.(用手可以滑动代码)

learning_rates_to_use = [
   config.init_learning_rate * (
       config.learning_rate_decay ** max(float(i + 1 - config.init_epoch), 0.0)
   ) for i in range(config.max_epoch)]


(3) Each loop below completes one epoch training.(用手可以滑动代码)

for epoch_step in range(config.max_epoch):
   current_lr = learning_rates_to_use[epoch_step]
       
   # Check https://github.com/lilianweng/stock-rnn/blob/master/data_wrapper.py
   # if you are curious to know what is StockDataSet and how generate_one_epoch()
   # is implemented.
   for batch_X, batch_y in stock_dataset.generate_one_epoch(config.batch_size):
       train_data_feed = {
           nputs: batch_X,
           targets: batch_y,
           learning_rate: current_lr
       }
       train_loss, _ = sess.run([loss, minimize], train_data_feed)


(4) Don’t forget to save your trained model at the end.(用手可以滑动代码)

saver = tf.train.Saver()
saver.save(sess, "your_awesome_model_path_and_name", global_step=max_epoch_step)



使用TensorBoard

在没有可视化的情况下构建图形就像在黑暗中绘制,非常模糊和容易出错。 Tensorboard提供了图形结构和学习过程的简单可视化。 看看下面这个案例,非常实用:

Brief Summary

  • Use with [tf.name_scope](https://www.tensorflow.org/api_docs/python/tf/name_scope)("your_awesome_module_name"): to wrap elements working on the similar goal together.

  • Many tf.* methods accepts name= argument. Assigning a customized name can make your life much easier when reading the graph.

  • Methods like tf.summary.scalar and tf.summary.histogram help track the values of variables in the graph during iterations.

  • In the training session, define a log file using tf.summary.FileWriter.

with tf.Session(graph=lstm_graph) as sess:
   merged_summary = tf.summary.merge_all()
   writer = tf.summary.FileWriter("location_for_keeping_your_log_files", sess.graph)
   writer.add_graph(sess.graph)


Later, write the training progress and summary results into the file.(用手可以滑动代码)

_summary = sess.run([merged_summary], test_data_feed)
writer.add_summary(_summary, global_step=epoch_step)  # epoch_step in range(config.max_epoch)


结果

我们在例子中使用了以下配置。

num_layers=1
keep_prob=0.8
batch_size = 64
init_learning_rate = 0.001
learning_rate_decay = 0.99
init_epoch = 5
max_epoch = 100
num_steps=30


总的来说预测股价并不是一件容易的事情。 特别是在正则化后,价格趋势看起来非常嘈杂。


测试数据中最近200天的预测结果。 模型是用 input_size= 1 和 lstm_size= 32 来训练的。

测试数据中最近200天的预测结果。 模型是用 input_size= 1 和 lstm_size= 128 来训练的。


测试数据中最近200天的预测结果。 模型是用 input_size= 5 和 lstm_size= 128 来训练的。

代码:stock-rnn/main.py(用手可以滑动代码)

import os
import pandas as pd
import pprint

import tensorflow as tf
import tensorflow.contrib.slim as slim

from data_model import StockDataSet
from model_rnn import LstmRNN

flags = tf.app.flags
flags.DEFINE_integer("stock_count", 100, "Stock count [100]")
flags.DEFINE_integer("input_size", 5, "Input size [5]")
flags.DEFINE_integer("num_steps", 30, "Num of steps [30]")
flags.DEFINE_integer("num_layers", 1, "Num of layer [1]")
flags.DEFINE_integer("lstm_size", 128, "Size of one LSTM cell [128]")
flags.DEFINE_integer("batch_size", 64, "The size of batch images [64]")
flags.DEFINE_float("keep_prob", 0.8, "Keep probability of dropout layer. [0.8]")
flags.DEFINE_float("init_learning_rate", 0.001, "Initial learning rate at early stage. [0.001]")
flags.DEFINE_float("learning_rate_decay", 0.99, "Decay rate of learning rate. [0.99]")
flags.DEFINE_integer("init_epoch", 5, "Num. of epoches considered as early stage. [5]")
flags.DEFINE_integer("max_epoch", 50, "Total training epoches. [50]")
flags.DEFINE_integer("embed_size", None, "If provided, use embedding vector of this size. [None]")
flags.DEFINE_string("stock_symbol", None, "Target stock symbol [None]")
flags.DEFINE_integer("sample_size", 4, "Number of stocks to plot during training. [4]")
flags.DEFINE_boolean("train", False, "True for training, False for testing [False]")

FLAGS = flags.FLAGS

pp = pprint.PrettyPrinter()

if not os.path.exists("logs"):
   os.mkdir("logs")


def show_all_variables():
   model_vars = tf.trainable_variables()
   slim.model_analyzer.analyze_vars(model_vars, print_info=True)


def load_sp500(input_size, num_steps, k=None, target_symbol=None, test_ratio=0.05):
   if target_symbol is not None:
       return [
           StockDataSet(
               target_symbol,
               input_size=input_size,
               num_steps=num_steps,
               test_ratio=test_ratio)
       ]

   # Load metadata of s & p 500 stocks
   info = pd.read_csv("data/constituents-financials.csv")
   info = info.rename(columns={col: col.lower().replace(' ', '_') for col in info.columns})
   info['file_exists'] = info['symbol'].map(lambda x: os.path.exists("data/{}.csv".format(x)))
   print info['file_exists'].value_counts().to_dict()

   info = info[info['file_exists'] == True].reset_index(drop=True)
   info = info.sort('market_cap', ascending=False).reset_index(drop=True)

   if k is not None:
       info = info.head(k)

   print "Head of S&P 500 info:\n", info.head()

   # Generate embedding meta file
   info[['symbol', 'sector']].to_csv(os.path.join("logs/metadata.tsv"), sep='\t', index=False)

   return [
       StockDataSet(row['symbol'],
                    input_size=input_size,
                    num_steps=num_steps,
                    test_ratio=0.05)
       for _, row in info.iterrows()]


def main(_):
   pp.pprint(flags.FLAGS.__flags)

   # gpu_options = tf.GPUOptions(per_process_gpu_memory_fraction=0.333)
   run_config = tf.ConfigProto()
   run_config.gpu_options.allow_growth = True

   with tf.Session(config=run_config) as sess:
       rnn_model = LstmRNN(
           sess,
           FLAGS.stock_count,
           lstm_size=FLAGS.lstm_size,
           num_layers=FLAGS.num_layers,
           num_steps=FLAGS.num_steps,
           input_size=FLAGS.input_size,
           keep_prob=FLAGS.keep_prob,
           embed_size=FLAGS.embed_size,
       )

       show_all_variables()

       stock_data_list = load_sp500(
           FLAGS.input_size,
           FLAGS.num_steps,
           k=FLAGS.stock_count,
           target_symbol=FLAGS.stock_symbol,
       )

       if FLAGS.train:
           rnn_model.train(stock_data_list, FLAGS)
       else:
           if not rnn_model.load()[0]:
               raise Exception("[!] Train a model first, then run test mode")


if __name__ == '__main__':
   tf.app.run()


来自:https://lilianweng.github.io/lil-log/2017/07/08/predict-stock-prices-using-RNN-part-1.html


赠书活动


量化投资与机器学习公众号联合博文视点Broadview送出5本《深度学习入门之PyTorch》

深度学习如今已经成为了科技领域炙手可热的技术,在本书中,我们将帮助你入门深度学习的领域。本书将从人工智能的介绍入手,了解机器学习和深度学习的基础理论,并学习如何用PyTorch框架对模型进行搭建。通过阅读本书,你将会学习到机器学习中的线性回归和logistic回归,深度学习的优化方法,多层全连接神经网络,卷积神经网络,循环神经网络以及生成对抗网络,同时从零开始对PyTorch进行学习,了解PyTorch基础及如何用其进行模型的搭建,然后通过实战了解前沿的研究成果和PyTorch在实际项目中的应用。

截止 2017.11.10 12:00


大家在本篇推文【写留言】处发表留言,获得点赞数前五的读者,即可免费获赠此书。届时,工作人员会联系五位读者,寄出此书。




登录查看更多
2

相关内容

长短期记忆网络(LSTM)是一种用于深度学习领域的人工回归神经网络(RNN)结构。与标准的前馈神经网络不同,LSTM具有反馈连接。它不仅可以处理单个数据点(如图像),还可以处理整个数据序列(如语音或视频)。例如,LSTM适用于未分段、连接的手写识别、语音识别、网络流量或IDSs(入侵检测系统)中的异常检测等任务。
【ICML2020-华为港科大】RNN和LSTM有长期记忆吗?
专知会员服务
78+阅读 · 2020年6月25日
【新书册】贝叶斯神经网络,41页pdf
专知会员服务
180+阅读 · 2020年6月3日
【实用书】Python技术手册,第三版767页pdf
专知会员服务
240+阅读 · 2020年5月21日
干净的数据:数据清洗入门与实践,204页pdf
专知会员服务
164+阅读 · 2020年5月14日
一份循环神经网络RNNs简明教程,37页ppt
专知会员服务
173+阅读 · 2020年5月6日
Sklearn 与 TensorFlow 机器学习实用指南,385页pdf
专知会员服务
131+阅读 · 2020年3月15日
【MIT深度学习课程】深度序列建模,Deep Sequence Modeling
专知会员服务
78+阅读 · 2020年2月3日
金融时序预测中的深度学习方法:2005到2019
专知会员服务
168+阅读 · 2019年12月4日
复旦大学邱锡鹏老师《神经网络与深度学习》书册最新版
干货 | 循环神经网络(RNN)和LSTM初学者指南
THU数据派
15+阅读 · 2019年1月25日
动态可视化指南:一步步拆解LSTM和GRU
论智
17+阅读 · 2018年10月25日
【年度系列】使用LSTM预测股票市场基于Tensorflow
量化投资与机器学习
19+阅读 · 2018年10月16日
基于LSTM深层神经网络的时间序列预测
论智
22+阅读 · 2018年9月4日
基于 Keras 用 LSTM 网络做时间序列预测
R语言中文社区
21+阅读 · 2018年8月6日
一文读懂LSTM和循环神经网络
七月在线实验室
8+阅读 · 2018年4月18日
深度学习基础之LSTM
全球人工智能
29+阅读 · 2017年12月18日
RNN在自然语言处理中的应用及其PyTorch实现 | 赠书
人工智能头条
6+阅读 · 2017年11月28日
循环神经网络的介绍、代码及实现
AI研习社
3+阅读 · 2017年11月21日
RNN | RNN实践指南(1)
KingsGarden
21+阅读 · 2017年4月4日
Bivariate Beta LSTM
Arxiv
6+阅读 · 2019年10月7日
Hierarchy Parsing for Image Captioning
Arxiv
6+阅读 · 2019年9月10日
Symbolic Priors for RNN-based Semantic Parsing
Arxiv
3+阅读 · 2018年9月20日
Arxiv
14+阅读 · 2018年5月15日
Arxiv
3+阅读 · 2018年5月11日
VIP会员
最新内容
人工智能在战场行动中的演进及伊朗案例
专知会员服务
2+阅读 · 今天13:08
美AI公司Anthropic推出网络安全模型“Mythos”
专知会员服务
2+阅读 · 今天12:58
【博士论文】面向城市环境的可解释计算机视觉
专知会员服务
0+阅读 · 今天12:57
大语言模型的自改进机制:技术综述与未来展望
专知会员服务
0+阅读 · 今天12:50
《第四代军事特种作战部队选拔与评估》
专知会员服务
1+阅读 · 今天6:23
相关VIP内容
【ICML2020-华为港科大】RNN和LSTM有长期记忆吗?
专知会员服务
78+阅读 · 2020年6月25日
【新书册】贝叶斯神经网络,41页pdf
专知会员服务
180+阅读 · 2020年6月3日
【实用书】Python技术手册,第三版767页pdf
专知会员服务
240+阅读 · 2020年5月21日
干净的数据:数据清洗入门与实践,204页pdf
专知会员服务
164+阅读 · 2020年5月14日
一份循环神经网络RNNs简明教程,37页ppt
专知会员服务
173+阅读 · 2020年5月6日
Sklearn 与 TensorFlow 机器学习实用指南,385页pdf
专知会员服务
131+阅读 · 2020年3月15日
【MIT深度学习课程】深度序列建模,Deep Sequence Modeling
专知会员服务
78+阅读 · 2020年2月3日
金融时序预测中的深度学习方法:2005到2019
专知会员服务
168+阅读 · 2019年12月4日
复旦大学邱锡鹏老师《神经网络与深度学习》书册最新版
相关资讯
干货 | 循环神经网络(RNN)和LSTM初学者指南
THU数据派
15+阅读 · 2019年1月25日
动态可视化指南:一步步拆解LSTM和GRU
论智
17+阅读 · 2018年10月25日
【年度系列】使用LSTM预测股票市场基于Tensorflow
量化投资与机器学习
19+阅读 · 2018年10月16日
基于LSTM深层神经网络的时间序列预测
论智
22+阅读 · 2018年9月4日
基于 Keras 用 LSTM 网络做时间序列预测
R语言中文社区
21+阅读 · 2018年8月6日
一文读懂LSTM和循环神经网络
七月在线实验室
8+阅读 · 2018年4月18日
深度学习基础之LSTM
全球人工智能
29+阅读 · 2017年12月18日
RNN在自然语言处理中的应用及其PyTorch实现 | 赠书
人工智能头条
6+阅读 · 2017年11月28日
循环神经网络的介绍、代码及实现
AI研习社
3+阅读 · 2017年11月21日
RNN | RNN实践指南(1)
KingsGarden
21+阅读 · 2017年4月4日
相关论文
Bivariate Beta LSTM
Arxiv
6+阅读 · 2019年10月7日
Hierarchy Parsing for Image Captioning
Arxiv
6+阅读 · 2019年9月10日
Symbolic Priors for RNN-based Semantic Parsing
Arxiv
3+阅读 · 2018年9月20日
Arxiv
14+阅读 · 2018年5月15日
Arxiv
3+阅读 · 2018年5月11日
Top
微信扫码咨询专知VIP会员