【笛卡尔坐标/点积/叉积】图解高等数学-下 03

2017 年 12 月 12 日 遇见数学 公理

10 空间中的向量和运动

当一个物体在空间中运动时, 其坐标方程 x=f(t), y=g(t), z=h(t) 提供了物体运动和路径的方程, 坐标为时间的函数. 如果采用向量记号, 可以把这些方程缩写为一个方程作为关于时间的向量函数的物体位置.


10.1 空间中的笛卡尔(直角)坐标和向量

为给空间的点定位, 需要由三条相互垂直的轴. 如下图所示轴组成右手坐标系

空间的点 P 的笛卡尔坐标 (x,y,z) 可用其位置向量表示. 如下图所示. 笛卡尔坐标也是直角坐标, 因为定义这种坐标的轴以直角相交.


空间中的向量

长度和方向与平面的情形一样, 若 v !=0 是空间中的非零向量, 则 v/|v| 是一个在 v 方向的单位向量. v 可以表示成它的长度和方向的乘积.

距离和空间中的球

半径为 a 中心为 (x0,y0,z0) 的标准球面方程:

10.2 点积和叉积

将之前研究的点积定义推广到空间. 然后对空间中的向量引入一个新的积, 称为叉积.

点积

空间中两个向量的点积(或内积, 数量积)以对平面向量同样的方式定义. 当把两个非零向量 u 和 v 的起点放在一起, 就形成一个大小 0<=θ<=π 的角.

垂直(正交)向量和投影

跟平面向量的情形一样, 两个非零向量 u 和 v 是垂直或正交的, 当且仅当 u·v=0 .

如果 u 表示一个力, 那么  proj v u  表示在方向 v 的有效力.


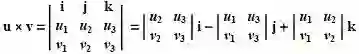
空间中两个向量的叉积

空间两个非零向量 u 和 v. 如果 u 和 v 不平行, 那么就确定了一个平面. 这样可以用右手法则选择一个垂直于这个平面的单位向量 n. |u×v| 是平行四边形的面积.


转矩(力矩, Torque)

当我们再扳手上用一个力 F 转动一个螺栓时, 就产生一个转矩作用在螺栓的轴上以使螺栓前进. 转矩的大小依赖力作用在扳手多远的地方和多大的在作用点垂直于扳手的力. 转矩的大小 τ 是杠杆 r 的臂长和 F 的垂直于 r 的数量分量的乘积


三重积

三重积,又称混合积,是三个向量相乘的结果。向量空间中,有两种方法将三个向量相乘,得到三重积,分别称作标量三重积和向量三重积.


「予人玫瑰, 手留余香」

转发既是支持, 我们会努力走得更远! 

登录查看更多
0

相关内容

自回归模型:PixelCNN
专知会员服务
29+阅读 · 2020年3月21日
《代码整洁之道》:5大基本要点
专知会员服务
50+阅读 · 2020年3月3日
特征方程的物理意义
算法与数学之美
7+阅读 · 2019年5月13日
可视化理解四元数,愿你不再掉头发
计算机视觉life
31+阅读 · 2019年1月2日
博客 | MIT—线性代数(下)
AI研习社
6+阅读 · 2018年12月20日
一杯咖啡背后的拓扑 | 顾险峰
中国物理学会期刊网
7+阅读 · 2018年2月2日
机器学习(29)之奇异值分解SVD原理与应用详解
机器学习算法与Python学习
6+阅读 · 2017年11月30日
【直观详解】什么是PCA、SVD
机器学习研究会
5+阅读 · 2017年11月10日
图解高等数学|线性代数
遇见数学
39+阅读 · 2017年10月18日
机器学习(19)之支持向量回归机
机器学习算法与Python学习
12+阅读 · 2017年10月3日
机器学习(18)之支持向量机原理(三)线性不可分支持向量机与核函数
机器学习算法与Python学习
3+阅读 · 2017年9月23日
PCA的基本数学原理
算法与数学之美
11+阅读 · 2017年8月8日
DPOD: Dense 6D Pose Object Detector in RGB images
Arxiv
5+阅读 · 2019年2月28日
Arxiv
6+阅读 · 2018年8月27日
Arxiv
5+阅读 · 2016年12月29日
VIP会员
最新内容
《人工智能赋能电磁战》(报告)
专知会员服务
2+阅读 · 4月17日
【CMU博士论文】迈向可扩展的开放世界三维感知
前馈式三维场景建模
专知会员服务
1+阅读 · 4月17日
(译文)认知战:以士兵为目标,塑造战略
专知会员服务
3+阅读 · 4月17日
相关资讯
特征方程的物理意义
算法与数学之美
7+阅读 · 2019年5月13日
可视化理解四元数,愿你不再掉头发
计算机视觉life
31+阅读 · 2019年1月2日
博客 | MIT—线性代数(下)
AI研习社
6+阅读 · 2018年12月20日
一杯咖啡背后的拓扑 | 顾险峰
中国物理学会期刊网
7+阅读 · 2018年2月2日
机器学习(29)之奇异值分解SVD原理与应用详解
机器学习算法与Python学习
6+阅读 · 2017年11月30日
【直观详解】什么是PCA、SVD
机器学习研究会
5+阅读 · 2017年11月10日
图解高等数学|线性代数
遇见数学
39+阅读 · 2017年10月18日
机器学习(19)之支持向量回归机
机器学习算法与Python学习
12+阅读 · 2017年10月3日
机器学习(18)之支持向量机原理(三)线性不可分支持向量机与核函数
机器学习算法与Python学习
3+阅读 · 2017年9月23日
PCA的基本数学原理
算法与数学之美
11+阅读 · 2017年8月8日
Top
微信扫码咨询专知VIP会员