积分梯度:一种归因分析方法

2022 年 3 月 17 日 极市平台
↑ 点击 蓝字  关注极市平台

作者丨科技猛兽
编辑丨极市平台

极市导读

 

积分梯度 (Integral Gradient) 本质上是一种归因分析 (Attribution Analysis) 方法。这一小节里面我们对归因分析方法做个总结,并推导积分梯度方法。 >>加入极市CV技术交流群,走在计算机视觉的最前沿

本文目录

积分梯度:一种归因分析方法
0 归因分析方法总结
1 预测概率对输入的梯度
2 预测概率对输入的梯度与输入的点乘
3 预测概率对输入的积分梯度 (Integrated Gradients)

0 归因分析方法总结

积分梯度 (Integral Gradient) 本质上是一种归因分析 (Attribution Analysis) 方法。这一小节里面我们对归因分析方法做个总结,并推导积分梯度方法。

基于分类问题归因分析中,一种重要的方法是Integrated Gradient(积分梯度)。这一小节我们做个汇总。

[1] How to Explain Individual Classification Decisions (The Journal of Machine Learning Research)
[2] Deep Inside Convolutional Networks: Visualising Image Classification Models and Saliency Maps (ICLR 2014)
[3] Axiomatic attribution for deep networks (ICML 2017)
[4] Gradients of Counterfactuals

给定输入图片 和模型 ,模型是分类模型。归因分析 (Attribution Analysis) 方法会给出一张**归因图 (Attribution Map)**,这张图 对应模型 ,它与输入图片 的尺寸是一致的,代表了每个像素对最终输出的 "贡献度大小"。对于分类网络,这通常是每个特定的类别的贡献度。所谓归因,简单来说就是对于给定的输入图片 和模型 ,我们想办法指出 的哪些分量对模型的决策有重要影响,或者说对 的各个分量的重要性做个排序,用专业的话术来说那就是 "归因"。一个朴素的思路是直接使用 "预测概率对输入 的梯度 (Gradient w.r.t. )" 来作为 的各个分量的重要性指标,而积分梯度是对它的改进。

下面简单介绍下分类模型中几种计算归因图 (Attribution Map) 的方法。

1 预测概率对输入的梯度

该方法采用预测概率对输入 的梯度:

衡量了模型对输入的第 个分量变化的敏感程度,但是这种普通的计算预测概率对输入 的梯度的方法存在饱和问题 (典型的就是 ReLU 函数的负半轴),即:梯度就为0了,那就揭示不出什么有效信息了。输入 发生一点点的变化将不会改变输出的概率。对于超分模型,饱和问题依旧存在。

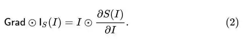
2 预测概率对输入的梯度与输入的点乘

这种方法是为了解决上面的饱和问题:

衡量了模型对输入的第 个分量变化的敏感程度。

3 预测概率对输入的积分梯度 (Integrated Gradients)

很多介绍积分梯度方法的文章 (包括原论文),都过于生硬,没有很好地突出积分梯度方法是怎么推导过来的。本文试图用我自己的思路推导一下积分梯度方法的来龙去脉

原论文认为归因分析 (Attribution Analysis) 方法应该首先满足两条基本的公理:

公理1:敏感性 (Sensitivity)

敏感性 (Sensitivity) 是指:任意的输入图片和基线图片,当其差值的某一部分发生了变化,导致模型的预测结果也发生变化时,归因图结果也应该能够表达出这种变化。

第1小节的方法1很显然是违背这个公理的。一个很直观的例子是 。假设 baseline 是 ,输入是 。当输入从 ,输出从0变化到1。但是因为输出自打 变化到1时就已经平了,没梯度了,所以归因图结果不发生变化。所以方法1显然丧失了敏感性。实际上,灵敏度的缺乏导致梯度集中在不相关的特征上。

公理2:实现不变性 (Implementation Invariance)

如果两个网络,尽管它们的实现方式非常不同,但是其输出对所有输入都相等,则这两个网络在功能上是等效的。举个例子:

  • 网络1:
  • 网络2:

其中, 

网络 就是功能相同的,即其输出对所有输入都相等,但是实现方式却不一致。

归因分析方法需要满足实现不变性 (Implementation Invariance),即:对于两个功能相同的网络,尽管结构可能不一样,但是归因图的结果应该是相同的。

下面我们给大家从头推导积分梯度 (Integrated Gradients) 的方法。

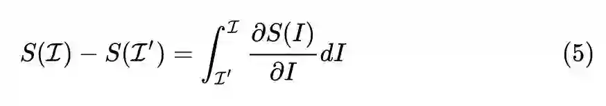
在高等数学定积分章节里面,有下面的求解一元函数定积分的方法 (这个公式来自同济大学高等数学教材第七版):

其中,第2项到第3项是通过令 得到的。这里的 都是标量。

如果把 换成矢量,则有下面的求解多元函数定积分的方法:

式中,函数 是个多元函数,其输入就可以看做是矢量了。这样一来和神经网络的联系就明朗了。

现在,我们把上式这个高等数学的表达换成神经网络的表达,就变成了:

式中, 是介于 的一个中间变量。 相当于4式的多元函数 则相当于是矢量输入。5式其实是个多重积分,因为自变量 是多元矢量:

把这个多重积分写成易于理解的展开式形式就是:

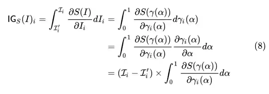
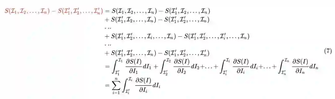
注意到 ,或者写成 就是当输入图片从 变化到 ,神经网络输出结果的变化量,是个标量。那么这个东西是没办法作为归因结果的,因为归因图必须是 维大小的。

接下来我们把6式变化一下:

根据7式,我们看到:神经网络输出结果的变化量 其实是 个分量累加得到的,而这每个分量

恰好是第 个分量对输出变化的贡献。

所以积分梯度把

作为衡量了模型对输入的第 个分量的敏感程度。

我们假设 代表连接 的一条曲线,其中: 。那么 就可以表示为 。我们就把它代入7式,有:

其中, 代表路径函数,最简单地可以取 ,代表连接 的一条直线。

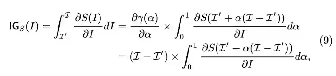
衡量了模型对输入的第 个分量的敏感程度。下面我们把8式的下角标 去掉,依然将输入记为 ,Baseline 记为 ,积分梯度法的归因图 (Attribution Map) 的定义如下:

式中, 是插值参数。

根据7式,积分梯度满足:

总结

积分梯度是一种神经网络归因分析的工具,能够很好地解决直接使用梯度进行归因分析时的 Gradient Saturation 问题。本文是我个人的一个思路推导。


公众号后台回复“数据集”获取火焰和烟雾图像数据集下载

△点击卡片关注极市平台,获取 最新CV干货
极市干货
数据集资源汇总: 10个开源工业检测数据集汇总 21个深度学习开源数据集分类汇总
算法trick 目标检测比赛中的tricks集锦 从39个kaggle竞赛中总结出来的图像分割的Tips和Tricks
技术综述: 一文弄懂各种loss function 工业图像异常检测最新研究总结(2019-2020)


极市平台签约作者#


科技猛兽

知乎:科技猛兽


清华大学自动化系19级硕士

研究领域:AI边缘计算 (Efficient AI with Tiny Resource):专注模型压缩,搜索,量化,加速,加法网络,以及它们与其他任务的结合,更好地服务于端侧设备。


作品精选

搞懂 Vision Transformer 原理和代码,看这篇技术综述就够了
用Pytorch轻松实现28个视觉Transformer,开源库 timm 了解一下!(附代码解读)
轻量高效!清华智能计算实验室开源基于PyTorch的视频 (图片) 去模糊框架SimDeblur



投稿方式:
添加小编微信Fengcall(微信号:fengcall19),备注:姓名-投稿
△长按添加极市平台小编

觉得有用麻烦给个在看啦~   
登录查看更多
1

相关内容

梯度的本意是一个向量(矢量),表示某一函数在该点处的方向导数沿着该方向取得最大值,即函数在该点处沿着该方向(此梯度的方向)变化最快,变化率最大(为该梯度的模)。
【干货书】优化与学习的随机梯度技术,238页pdf
专知会员服务
54+阅读 · 2021年11月22日
专知会员服务
56+阅读 · 2021年8月29日
专知会员服务
19+阅读 · 2021年8月15日
专知会员服务
37+阅读 · 2021年5月15日
【经典书】R机器学习入门:严格的数学分析,225页pdf
专知会员服务
62+阅读 · 2021年2月16日
专知会员服务
146+阅读 · 2021年2月3日
专知会员服务
237+阅读 · 2020年12月15日
一份简单《图神经网络》教程,28页ppt
专知会员服务
127+阅读 · 2020年8月2日
深度强化学习策略梯度教程,53页ppt
专知会员服务
184+阅读 · 2020年2月1日
异动分析技术解决方案—异动归因之指标拆解
阿里技术
7+阅读 · 2022年3月30日
多任务学习漫谈:行梯度之事
PaperWeekly
0+阅读 · 2022年2月18日
一文解决样本不均衡(全)
极市平台
6+阅读 · 2022年1月9日
PyTorch 之 Checkpoint 机制解析
极市平台
0+阅读 · 2022年1月8日
输入梯度惩罚与参数梯度惩罚的一个不等式
PaperWeekly
0+阅读 · 2021年12月27日
综述:PyTorch显存机制分析
极市平台
0+阅读 · 2021年11月5日
经典重温:卡尔曼滤波器介绍与理论分析
极市平台
1+阅读 · 2021年10月25日
赛尔笔记 | 可解释的自然语言处理方法简介
哈工大SCIR
3+阅读 · 2021年5月28日
论文浅尝 | 基于深度强化学习的远程监督数据集的降噪
开放知识图谱
29+阅读 · 2019年1月17日
国家自然科学基金
3+阅读 · 2015年12月31日
国家自然科学基金
5+阅读 · 2013年12月31日
国家自然科学基金
1+阅读 · 2013年12月31日
国家自然科学基金
0+阅读 · 2012年12月31日
国家自然科学基金
0+阅读 · 2012年12月31日
国家自然科学基金
0+阅读 · 2011年12月31日
国家自然科学基金
3+阅读 · 2011年12月31日
国家自然科学基金
0+阅读 · 2011年12月31日
国家自然科学基金
2+阅读 · 2009年12月31日
国家自然科学基金
0+阅读 · 2009年12月31日
Arxiv
1+阅读 · 2022年4月20日
Arxiv
0+阅读 · 2022年4月20日
Arxiv
54+阅读 · 2022年1月1日
Image Segmentation Using Deep Learning: A Survey
Arxiv
47+阅读 · 2020年1月15日
Transfer Adaptation Learning: A Decade Survey
Arxiv
37+阅读 · 2019年3月12日
Deep Anomaly Detection with Outlier Exposure
Arxiv
17+阅读 · 2018年12月21日
Arxiv
12+阅读 · 2018年1月12日
VIP会员
最新内容
ICML2026 | 重新思考顺序知识编辑中的正则化
专知会员服务
2+阅读 · 5月27日
《用于兵力发展选项优先排序的成本效益模型》
AutoResearch AI综述:迈向AI驱动的科学发现自动化
《Palantir边缘人工智能》手册
专知会员服务
21+阅读 · 5月26日
美军“国防自主作战群”(DAWG)概念解析
专知会员服务
3+阅读 · 5月26日
“史诗怒火”行动中的无人机与反无人机作战
专知会员服务
16+阅读 · 5月25日
相关VIP内容
【干货书】优化与学习的随机梯度技术,238页pdf
专知会员服务
54+阅读 · 2021年11月22日
专知会员服务
56+阅读 · 2021年8月29日
专知会员服务
19+阅读 · 2021年8月15日
专知会员服务
37+阅读 · 2021年5月15日
【经典书】R机器学习入门:严格的数学分析,225页pdf
专知会员服务
62+阅读 · 2021年2月16日
专知会员服务
146+阅读 · 2021年2月3日
专知会员服务
237+阅读 · 2020年12月15日
一份简单《图神经网络》教程,28页ppt
专知会员服务
127+阅读 · 2020年8月2日
深度强化学习策略梯度教程,53页ppt
专知会员服务
184+阅读 · 2020年2月1日
相关资讯
异动分析技术解决方案—异动归因之指标拆解
阿里技术
7+阅读 · 2022年3月30日
多任务学习漫谈:行梯度之事
PaperWeekly
0+阅读 · 2022年2月18日
一文解决样本不均衡(全)
极市平台
6+阅读 · 2022年1月9日
PyTorch 之 Checkpoint 机制解析
极市平台
0+阅读 · 2022年1月8日
输入梯度惩罚与参数梯度惩罚的一个不等式
PaperWeekly
0+阅读 · 2021年12月27日
综述:PyTorch显存机制分析
极市平台
0+阅读 · 2021年11月5日
经典重温:卡尔曼滤波器介绍与理论分析
极市平台
1+阅读 · 2021年10月25日
赛尔笔记 | 可解释的自然语言处理方法简介
哈工大SCIR
3+阅读 · 2021年5月28日
论文浅尝 | 基于深度强化学习的远程监督数据集的降噪
开放知识图谱
29+阅读 · 2019年1月17日
相关基金
国家自然科学基金
3+阅读 · 2015年12月31日
国家自然科学基金
5+阅读 · 2013年12月31日
国家自然科学基金
1+阅读 · 2013年12月31日
国家自然科学基金
0+阅读 · 2012年12月31日
国家自然科学基金
0+阅读 · 2012年12月31日
国家自然科学基金
0+阅读 · 2011年12月31日
国家自然科学基金
3+阅读 · 2011年12月31日
国家自然科学基金
0+阅读 · 2011年12月31日
国家自然科学基金
2+阅读 · 2009年12月31日
国家自然科学基金
0+阅读 · 2009年12月31日
相关论文
Arxiv
1+阅读 · 2022年4月20日
Arxiv
0+阅读 · 2022年4月20日
Arxiv
54+阅读 · 2022年1月1日
Image Segmentation Using Deep Learning: A Survey
Arxiv
47+阅读 · 2020年1月15日
Transfer Adaptation Learning: A Decade Survey
Arxiv
37+阅读 · 2019年3月12日
Deep Anomaly Detection with Outlier Exposure
Arxiv
17+阅读 · 2018年12月21日
Arxiv
12+阅读 · 2018年1月12日
Top
微信扫码咨询专知VIP会员