入门 | 机器学习第一课:决策树学习概述与实现

2018 年 4 月 29 日 机器之心

选自HEARTBEAT

作者:Ishan Sharma

机器之心编译


基于树的学习算法在数据科学竞赛中相当常见。这些算法给预测模型赋予了准确性、稳定性以及易解释性。其中,决策树算法也是引人关注的「随机森林」算法的基础构造模块。本文介绍了决策树的概念和简单实现,使用生动的示例帮助理解,希望能够对你有所帮助。



从 Kaggle 到课堂,机器学习第一课就是决策树。之所以关注决策树,是因为与其他 ML 方法相比,决策树的数学复杂度不高,同时能为分类问题提供足够的精度。


对于 ML 的入门者来说,决策树很容易上手。本教程将介绍:


  • 决策树是什么

  • 如何构建决策树

  • 使用 Python 构建决策树


决策树是什么


我们跳过正式定义,从概念上了解一下决策树。试想你坐在办公室里,感觉自己饿了,想出去吃点东西,但是午餐要下午 1 点才开始。那么你怎么办呢?当然,你会看一下时间,然后决定能否出去。你可以按照以下逻辑进行思考:



我们刚刚搭了一个决策树!这是一个简单的版本,但我们可以通过加入天气、成本等因素构建一个更为复杂的决策树。如果你想和你的朋友 Jon Snow 去一家中餐馆吃午饭,决策逻辑可以这样表示:



这也是一个决策树。从顶部开始,循着描述当前状况的路线一路向下,直到做出决定。


注意事项


我们把场景切换到计算机世界。我们刚刚画的每一个框叫做一个节点。最上面的节点叫做根节点,下面每层的节点叫做叶节点,可以把它想成现实世界中的一棵树,但是根朝上。


每个节点测试我们的世界(数据集)中的某个属性,从节点引出的每个分支对应于该属性的值。给定一棵决策树,决策过程如下:


  1. 从根节点开始

  2. 观察根节点属性的值

  3. 按照与观察值对应的路径往下走

  4. 重复以上步骤,直至到达叶节点,这样就能做出决策


如何构建决策树?


构建决策树不需要从头开始(除非你是一个像我一样的学生)。尽管如此,这也是一个很好的学习经验,你将学到一些有趣的概念。


构建决策树最常用的算法是 ID3,该算法非常简单。以下是算法伪代码:


  
    
    
    
  1. ID3 (Examples, Target_Attribute, Attributes)

  2.    Create a root node for the tree

  3.    If all examples are positive, Return the single-node tree Root, with label = +.

  4.    If all examples are negative, Return the single-node tree Root, with label = -.

  5.    If Atributes list is empty, then Return the single node tree Root,

  6.    with label = most common value of the target attribute in the examples.

  7.    Otherwise Begin

  8.        A ← The Attribute that best classifies examples.

  9.        Decision Tree attribute for Root = A.

  10.        For each possible value, vi, of A,

  11.            Add a new tree branch below Root, corresponding to the test A = vi.

  12.            Let Examples(vi) be the subset of examples that have the value vi for A

  13.            If Examples(vi) is empty

  14.                Then below this new branch add a leaf node with label = most common target value in the examples

  15.            Else below this new branch add the subtree ID3 (Examples(vi), Target_Attribute, Attributes – {A})

  16.    End

  17.    Return Root


你将注意到这样一个细节:在循环开始之后,算法必须选择一个属性,为样本分类选出最佳方案。那么算法会怎么做呢?为了理解这一点,我们必须深入了解一些数学知识。别担心,不会太难。


信息增益和熵


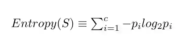
信息增益是选择最佳属性常用且容易上手的方法之一。它使用另一种叫做熵的属性计算出来。


熵是物理学和数学中的概念,指系统的随机性或混乱度。在信息论中,它指的是一组样本的混乱度。


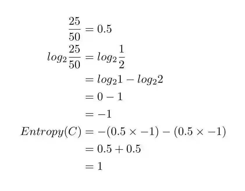
我们通过一个例子来说明:你有两个装满巧克力的袋子。巧克力有红的也有蓝的。你想通过计算巧克力的数量来测量袋子的熵。所以你坐下来开始数。2 分钟后,你发现第一袋有 50 块巧克力。其中 25 块是红色的,25 块是蓝色的。第二袋也有 50 块巧克力,都是蓝色的。


在这种情况下,第一个袋子的熵是 1,因为里面的巧克力呈均匀分布。第二个袋子的熵为零,因为里面的巧克力没有随机性。


我们用下面这个公式计算一个系统的熵:



在这个公式中,c 代表类别或属性的总数,p_i 代表属于第 i 类的样本数量。是不是有点懵?我们通过例子了解一下:


让我们回到刚刚的巧克力袋子。我们有两个类别:红色(R)和蓝色(B)。第一个袋子里有 25 块红色巧克力。巧克力总数是 50。因此,p_i=25/50。蓝色类别也是这样处理。把这些值代入熵方程,我们得到以下结果:



解方程,结果如下:



如果想验证结果或尝试其他例子,请移步 Wolfram Alpha:http://www.wolframalpha.com/input/?i=-(25%2F50)log2(25%2F50)+-+(25%2F50)log2(25%2F50)。


继续计算第二个袋子的熵,里面有 50 块红色巧克力,0 块蓝色巧克力。得到的熵是 0。


如果你理解这个概念,太好了!我们现在转到信息增益。


信息增益


信息增益是由基于给定属性的样本分割导致的熵下降。从数学角度上看,信息增益的定义为:



S 代表整个样本集,A 代表我们想要分割的属性。|S| 代表样本数量,|Sv| 表示属性 A 当前值的样本数量。


仍然很复杂,是不是?那我们举个例子,看看它的工作流程。


构建决策树


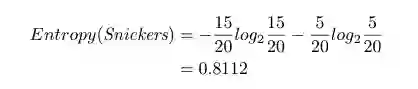
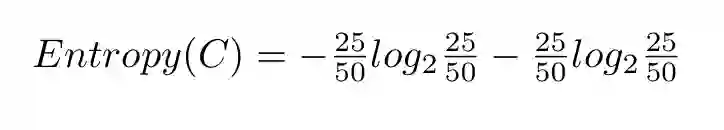
首先,给巧克力的例子添加一些细节。我们已经知道袋 1 中有 25 块红色巧克力、25 块蓝色巧克力。现在,我们还要考虑巧克力的品牌。红色巧克力中,有 15 块是士力架,10 块是 Kit Kat 牌。蓝色巧克力中,20 块是 Kit Kat 牌,5 块是士力架。假设我们只想吃红色的士力架。那么这里,红色士力架(15)是正例,其他的巧克力(如红色 Kit Kat 和蓝色士力架)都是负例。


现在,与我们的类别(吃/不吃)相关的数据集的熵是:



现在我们来回顾一下,我们有 50 块巧克力。如果只看属性「颜色」,则我们有 25 个红色的、25 个蓝色的。如果看属性「品牌」,则我们有 20 块士力架、30 块 Kit Kat 巧克力。


为了构建决策树,我们需要选择其中一个属性作为根节点。我们想要选择具备最高信息增益的属性。现在我们来计算这些属性的信息增益。


颜色相关的信息增益是:



我们刚才计算了与类别相关的巧克力的熵,是 0.8812。如果我们想吃 15 块士力架而不是 10 块 Kit Kat,则红色巧克力的熵是:



如果我们不想吃蓝色巧克力,则熵为 0。


我们的信息增益计算就变成了:



如果我们分割颜色,则信息增益是 0.3958。


现在我们来看下品牌。如果我们想吃 15 块士力架(共有 20 块),不想吃 Kit Kat。则士力架的熵是:



如果我们不吃 Kit Kat,则熵为 0。信息增益为:



品牌分割的信息增益是 0.5567。


由于品牌的信息增益较大,我们将基于品牌进行分割。下一级,我们只要左边的颜色。我们可以轻松地根据颜色进行分割,无需进行任何计算。决策树如下:



谁能想到吃块巧克力这么难呢?


现在你应该了解决策树的运行原理了。


使用 Python 3 实现决策树


现在我们继续为巧克力数据集构建决策树。


代码和数据地址:https://github.com/ishansharma/decision_trees_tutorial/


  1. 创建新文件夹。

  2. 从 GitHub 下载 data.csv(https://github.com/ishansharma/decision_trees_tutorial/blob/master/data.csv)。

  3. 你可能需要安装 Scipy、Scikit-Learn 和 Pandas,如果没有安装的话。我推荐使用虚拟环境,参见:http://docs.python-guide.org/en/latest/dev/virtualenvs/。从终端运行以下命令行,安装 Pandas 和 Scikit-Learn:


  
    
    
    
  1. pip install scikit-learn

  2. pip install scipy

  3. pip install pandas


4. 安装后,创建新文件 decision_tree.py,并将以下两行添加进去:


  
    
    
    
  1. from pandas import read_csv

  2. from sklearn import tree


5. 使用 Pandas 加载数据:


  
    
    
    
  1. data = read_csv("data.csv")


6. Pandas 可以处理大型数据集,且具备大量可视化功能。它在使用 Python 的大数据流程中广泛使用,因此使用 Pandas 是个好主意。在 Pandas 中你可以使用 head() 方法快速查看加载数据:


  
    
    
    
  1. print(data.head())


下图显示了数据的前 5 行。



7. 我使用 Class 列来确定我们是否想吃巧克力。1 代表吃,0 代表不吃。


8. 接下来,我们需要对数据执行一些预处理。Scikit-Learn 默认不支持文本标签,因此我们使用 Pandas 将文本标签转换成数字。只需要添加以下两行:


  
    
    
    
  1. data['Color'] = data['Color'].map({'Red': 0, 'Blue': 1})

  2. data['Brand'] = data['Brand'].map({'Snickers': 0, 'Kit Kat': 1})


9. 刚才我们改变了 Color 属性,用 0 代表红色,1 代表蓝色。类似地,在 Brand 列中,我们用 0 替代士力架,用 1 替换 Kit Kat。


10. 如果你使用 head() 查看数据集,你将看到品牌和颜色的值已经变成了整数:



11. 最后,按惯例用 X 表示训练属性,Y 表示输出类别,因此我们执行以下命令:


  
    
    
    
  1. predictors = ['Color', 'Brand']

  2. X = data[predictors]

  3. Y = data.Class


12. 差不多完成了。我们现在已经准备好训练决策树了。添加以下两行在我们的数据上训练决策树:


  
    
    
    
  1. decisionTreeClassifier = tree.DecisionTreeClassifier(criterion="entropy")

  2. dTree = decisionTreeClassifier.fit(X, Y)


13. 完成了吗?我们对决策树进行快速可视化。添加下列行,并运行程序:


  
    
    
    
  1. dotData = tree.export_graphviz(dTree, out_file=None)

  2. print(dotData)


14. 输出如下:



15. 复制输出,访问 WebGraphviz (http://www.webgraphviz.com/) 并粘贴输出,点击 Generate Graph。你讲看到一个与上文决策树类似的决策树:



16. 这颗树有点难懂,因为有很多额外信息,不过你可以看到它先基于列 1(Brand)进行分割,再基于列 2(Color)进行分割。


一旦构建处这颗树,那么未来的预测就很简单了。我们来看一下我们是否想吃蓝色的 Kit Kat 巧克力。


将以下行添加至 decision_tree.py 文件的末尾:


  
    
    
    
  1. print(dTree.predict([[1, 1]]))


输出为 [0],意味着分类是不吃。如果你尝试红色士力架(print(dTree.predict([[0, 0]]))),则输出是 [1]。


继续研究


经过以上学习,你应该对决策树有所了解,同时学会了简单的实现。如果希望进一步探索,你可以参考这些资源:


  1. Scikit-Learn 上的决策树页面,讨论在更大的数据集和其他度量下分割数据:http://scikit-learn.org/stable/modules/tree.html

  2. Kaggle 上的机器学习教程,一个深度教程,教你参与 Kaggle 竞赛,并构建一个住房数据的决策树模型:https://www.kaggle.com/learn/machine-learning

  3. Saving your Scikit Models:本教程中,每次运行都会训练一遍模型。这在小数据集中还可以接受,但对于更大的数据集来说最好是一次训练,随后仅使用。这个教程可以教你如何保存自己的模型:http://scikit-learn.org/stable/modules/model_persistence.html

  4. 将训练好的模型转换为 Core ML:如果你为另一个数据集训练了自己的决策树,并希望在 iOS 设备上运行,那么你就需要将已训练模型转换为 Core ML 框架版本:https://developer.apple.com/documentation/coreml/converting_trained_models_to_core_ml 


原文链接:https://heartbeat.fritz.ai/introduction-to-decision-tree-learning-cd604f85e236



本文为机器之心编译,转载请联系本公众号获得授权

✄------------------------------------------------

加入机器之心(全职记者/实习生):[email protected]

投稿或寻求报道:[email protected]

广告&商务合作:[email protected]

登录查看更多
4

相关内容

决策树(Decision Tree)是在已知各种情况发生概率的基础上,通过构成决策树来求取净现值的期望值大于等于零的概率,评价项目风险,判断其可行性的决策分析方法,是直观运用概率分析的一种图解法。由于这种决策分支画成图形很像一棵树的枝干,故称决策树。在机器学习中,决策树是一个预测模型,他代表的是对象属性与对象值之间的一种映射关系。Entropy = 系统的凌乱程度,使用算法ID3, C4.5和C5.0生成树算法使用熵。这一度量是基于信息学理论中熵的概念。 决策树是一种树形结构,其中每个内部节点表示一个属性上的测试,每个分支代表一个测试输出,每个叶节点代表一种类别。 分类树(决策树)是一种十分常用的分类方法。他是一种监管学习,所谓监管学习就是给定一堆样本,每个样本都有一组属性和一个类别,这些类别是事先确定的,那么通过学习得到一个分类器,这个分类器能够对新出现的对象给出正确的分类。这样的机器学习就被称之为监督学习。

知识荟萃

精品入门和进阶教程、论文和代码整理等

更多

查看相关VIP内容、论文、资讯等
【经典书】机器学习高斯过程,266页pdf
专知会员服务
200+阅读 · 2020年5月2日
机器学习速查手册,135页pdf
专知会员服务
345+阅读 · 2020年3月15日
【新书】Pro 机器学习算法Python实现,379页pdf
专知会员服务
204+阅读 · 2020年2月11日
专知会员服务
119+阅读 · 2019年12月24日
决策树
Datartisan数据工匠
4+阅读 · 2018年4月19日
已删除
将门创投
3+阅读 · 2018年4月10日
K近邻算法入门
论智
5+阅读 · 2018年3月18日
机器学习面试题精讲(一)
七月在线实验室
4+阅读 · 2018年1月11日
【机器学习】从零开始入门机器学习算法实践
产业智能官
10+阅读 · 2017年12月1日
机器学习算法实践:决策树 (Decision Tree)
Python开发者
9+阅读 · 2017年7月17日
Adaptive Neural Trees
Arxiv
4+阅读 · 2018年12月10日
The Matrix Calculus You Need For Deep Learning
Arxiv
12+阅读 · 2018年7月2日
Arxiv
26+阅读 · 2018年2月27日
VIP会员
最新内容
超越网格:作战环境对炮兵的影响
专知会员服务
1+阅读 · 今天15:35
KDD 2026 | MixRAGRec:面向LLM推荐的混合专家KG-RAG框架
BES:让语言模型通过双向进化搜索自我改进
专知会员服务
4+阅读 · 5月30日
以色列-美国-伊朗战争中的无人机:关键要点
专知会员服务
4+阅读 · 5月30日
《Palantir任务保障性软件安全标准(MA-S2)》
专知会员服务
14+阅读 · 5月30日
基于声学的无人机检测技术综述
专知会员服务
8+阅读 · 5月30日
《当代混合战争分析框架:俄乌战争经验教训》
相关VIP内容
【经典书】机器学习高斯过程,266页pdf
专知会员服务
200+阅读 · 2020年5月2日
机器学习速查手册,135页pdf
专知会员服务
345+阅读 · 2020年3月15日
【新书】Pro 机器学习算法Python实现,379页pdf
专知会员服务
204+阅读 · 2020年2月11日
专知会员服务
119+阅读 · 2019年12月24日
相关资讯
决策树
Datartisan数据工匠
4+阅读 · 2018年4月19日
已删除
将门创投
3+阅读 · 2018年4月10日
K近邻算法入门
论智
5+阅读 · 2018年3月18日
机器学习面试题精讲(一)
七月在线实验室
4+阅读 · 2018年1月11日
【机器学习】从零开始入门机器学习算法实践
产业智能官
10+阅读 · 2017年12月1日
机器学习算法实践:决策树 (Decision Tree)
Python开发者
9+阅读 · 2017年7月17日
Top
微信扫码咨询专知VIP会员