一种基于Sequence-to-Sequence的高质量对话生成方法

2017 年 11 月 13 日 科技创新与创业 李想

论文:

Generating High-Quality and Informative Conversation Responses with Sequence-to-Sequence ModelsEMNLP 2017)

作者:

Louis Shao , Stephan Gouws , Denny Britz , Anna Goldie , Brian Strope , Ray Kurzweil

原文链接:http://www.aclweb.org/anthology/D17-1234 

问题

在对话生成的过程中,如何产生具有一定信息量的高质量回复依然是一个很难解决的问题。

传统的Sequence-to-Sequence模型,容易产生较短的泛泛的回复,并且缺少多样性。如果加入明确的机制保证生成长句子,也很可能使句子出现支离破碎(如“The sun is in the center ofthe sun.”)、冗余(如“i like cake and cake”)、矛盾(如(“I don’t own a gun, but I do own agun.”)的状况。

本文中提出了“glimpse model”和“segment-based stochastic decoding technique”,相比于之前的传统模型,能够生成出更具信息量更具多样性的句子。

例如:

Query: what do you have planned tonight

Response(Baseline): I have no idea what I want to do with my life. I have no idea what I want to

Response(Our model): I was planning on doing a few of these, but I’m not sure what to choose. I need to find a place to camp, and I don’t have a lotof time to make a plan. 

方法

“glimpse model”:  本质上是对注意力机制模型的改装,原本的注意力机制模型,在Sequence-to-Sequence模型中,是对encoder端进行加权,而在这里,需要对decoder端也进行相应加权(参看原文图1)。

具体来说,训练时将decoder端分成固定长度为K的连续无重合片段,每训练一个片段时,将该片段之前的本该是decoder端的内容加入encoder端。例如:如果encoder端为序列x,decoder端为序列y,y被分为y1和y2,那么需要分别训练两个样例,即(x->y1)和(x,y1->y2)。

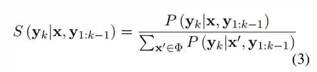
“segment-based stochastic decoding technique”: 在实际生成过程中,由于训练时是一个部分一个部分训练的,生成时也要这样生成,即先生成一个部分,然后将该部分加入到encoder端,再生成下一个部分。生成每个部分时,采用stochastic beam search算法,产生若干候选部分,在根据分数重排序(参见原文公式3)。

实验

数据源:

(1)The full Reddit data,2.21亿对话数据;

(2)The 2009 Open Subtitles data,50万对话数据;

(3)The Stack Exchange data ,80万对话数据;

(4)网络上抽取的对话文本,1700万。

评估指标:

(1)N-choose-1 accuracy:将正确回复和N-1条随机选取的句子放在一起排序,计算p@1;

(2)5-scale sideby-sidehuman evaluation: 分为5个等级的人工标注。

结论

本文中提出了“glimpse model”和“segment-based stochastic decoding technique”两种机制,实验证明在对话生成中,能够使回复更具信息量更具多样性。


登录查看更多
9

相关内容

基于多头注意力胶囊网络的文本分类模型
专知会员服务
79+阅读 · 2020年5月24日
【IJCAI2020-CMU】结构注意力的神经抽象摘要
专知会员服务
22+阅读 · 2020年4月23日
Transformer文本分类代码
专知会员服务
118+阅读 · 2020年2月3日
【综述】关键词生成,附10页pdf论文下载
专知会员服务
54+阅读 · 2019年11月20日
【论文笔记】基于强化学习的人机对话
专知
20+阅读 · 2019年9月21日
赛尔原创 | ACL 2019 检索增强的对抗式回复生成
哈工大SCIR
12+阅读 · 2019年7月4日
论文浅尝 | 基于图注意力的常识对话生成
开放知识图谱
8+阅读 · 2019年2月5日
基于attention的seq2seq机器翻译实践详解
黑龙江大学自然语言处理实验室
11+阅读 · 2018年3月14日
干货 | 利用深度强化学习进行对话生成
黑龙江大学自然语言处理实验室
4+阅读 · 2017年8月30日
利用深度强化学习进行对话生成
PaperWeekly
9+阅读 · 2017年8月23日
MetaMind文本摘要最新研究成果 | 每周一起读
PaperWeekly
3+阅读 · 2017年6月22日
Arxiv
6+阅读 · 2020年4月14日
Arxiv
8+阅读 · 2019年3月28日
Arxiv
8+阅读 · 2018年1月30日
VIP会员
最新内容
战略前沿人工智能的再思考(中文)
专知会员服务
4+阅读 · 5月29日
《量化地基防空系统间接效应的博弈论方法》
专知会员服务
4+阅读 · 5月29日
“史诗怒火行动”中美军损失的作战飞机
专知会员服务
3+阅读 · 5月29日
ICML 2026 | 理解上下文持续学习中的泛化与遗忘
专知会员服务
5+阅读 · 5月28日
Agent Harness综述:大模型智能体执行器工程全景
专知会员服务
13+阅读 · 5月28日
《基于理论的威慑效能评估》
专知会员服务
8+阅读 · 5月28日
相关资讯
【论文笔记】基于强化学习的人机对话
专知
20+阅读 · 2019年9月21日
赛尔原创 | ACL 2019 检索增强的对抗式回复生成
哈工大SCIR
12+阅读 · 2019年7月4日
论文浅尝 | 基于图注意力的常识对话生成
开放知识图谱
8+阅读 · 2019年2月5日
基于attention的seq2seq机器翻译实践详解
黑龙江大学自然语言处理实验室
11+阅读 · 2018年3月14日
干货 | 利用深度强化学习进行对话生成
黑龙江大学自然语言处理实验室
4+阅读 · 2017年8月30日
利用深度强化学习进行对话生成
PaperWeekly
9+阅读 · 2017年8月23日
MetaMind文本摘要最新研究成果 | 每周一起读
PaperWeekly
3+阅读 · 2017年6月22日
Top
微信扫码咨询专知VIP会员