GAN的数学推导
作者:Sherlock
来源:机器学习算法与自然语言处理
前面我们讲了一下GAN的基本思想,最近看了一下GAN的论文,又恰好看到了李宏毅老师的课程,感觉里面的数学推导很有意思,所以准备写下来以备之后查阅。
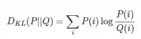
首先需要一点预备知识,KL divergence,这是统计中的一个概念,是衡量两种概率分布的相似程度,其越小,表示两种概率分布越接近。 对于离散的概率分布,定义如下
对于连续的概率分布,定义如下
根据我们之前讲的内容,我们要做的事情就如下图所示
我们想要将一个随机高斯噪声z通过一个生成网络G得到一个和真的数据分布差不多的生成分布
。
其中的参数是网络的参数决定的,我们希望找到
使得
和尽可能接近。
我们从真实数据分布 里面取样m个点,
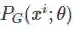
,根据给定的参数
我们可以计算如下的概率
,那么生成这m个样本数据的似然(likelihood)就是
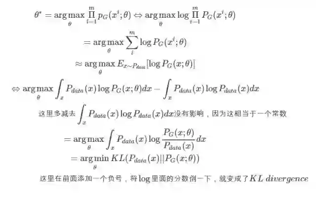
我们想要做的事情就是找到 θ∗来最大化这个似然估计
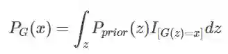
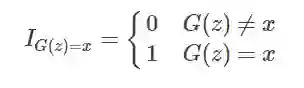
而 PG(x;θ)如何算出来呢?
里面的I表示示性函数,也就是
这样我们其实根本没办法求出这个 PG(x) 出来,这就是生成模型的基本想法。
Generator G
G是一个生成器,给定先验分布 Pprior(z)我们希望得到生成分布 PG(x),这里很难通过极大似然估计得到结果
Discriminator D
D是一个函数,来衡量 PG(x) 与 Pdata(x)之间的差距,这是用来取代极大似然估计
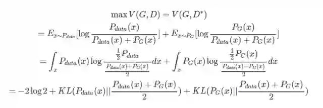
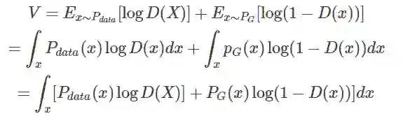
首先定义函数V(G, D)如下
我们可以通过下面的式子求得最优的生成模型
是不是感觉很晕,为什么定义了一个V(G, D)然后通过求max和min就能够取得最优的生成模型呢?
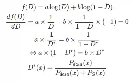
首先我们只考虑 maxDV(G,D),看其表示什么含义。
在给定G的前提下,我们要取一个合适的D使得V(G, D)能够取得最大值,这就是简单的微积分。
对于这个积分,要取其最大值,我们希望对于给定的x,积分里面的项是最大的,也就是我们希望取到一个最优的 D∗最大化下面这个式子
在数据给定,G给定的前提下, Pdata(x)与PG(x) 都可以看作是常数,我们可以分别用a,b来表示他们,这样我们就可以得到如下的式子
这样我们就求得了在给定G的前提下,能够使得V(D)取得最大值的D,我们将D代回原来的V(G, D),得到如下的结果
看到这里我们其实就已经推导出了为什么这么衡量是有意义的,因为我们取D使得V(G,D)取得max值。
这个时候这个max值是由两个KL divergence构成的,相当于这个max的值就是衡量 PG(x)与Pdata(x)的差异程度,所以这个时候,我们取
就能够取到G使得这两种分布的差异性最小,这样自然就能够生成一个和原分布尽可能接近的分布。
同时这样也摆脱了计算极大似然估计,所以GAN本质是改变了训练的过程。
博客地址:https://sherlockliao.github.io/2017/06/20/gan_math/
☞ 曲面论
算法数学之美微信公众号欢迎赐稿
稿件涉及数学、物理、算法、计算机、编程等相关领域。
稿件一经采用,我们将奉上稿酬。
投稿邮箱:[email protected]