神经网络中的激活函数具体是什么?为什么ReLu要好过于tanh和sigmoid function?

2017 年 12 月 11 日 数据挖掘入门与实战 要学习更多点这→

 向AI转型的程序员都关注了这个号👇👇👇


大数据挖掘DT数据分析  公众号: datadw




为什么引入激活函数?


如果不用激励函数(其实相当于激励函数是f(x) = x),在这种情况下你每一层输出都是上层输入的线性函数,很容易验证,无论你神经网络有多少层,输出都是输入的线性组合,与没有隐藏层效果相当,这种情况就是最原始的感知机(Perceptron)了。


正因为上面的原因,我们决定引入非线性函数作为激励函数,这样深层神经网络就有意义了(不再是输入的线性组合,可以逼近任意函数)。最早的想法是sigmoid函数或者tanh函数,输出有界,很容易充当下一层输入(以及一些人的生物解释balabala)。激活函数的作用是为了增加神经网络模型的非线性。否则你想想,没有激活函数的每层都相当于矩阵相乘。就算你叠加了若干层之后,无非还是个矩阵相乘罢了。所以你没有非线性结构的话,根本就算不上什么神经网络。


为什么引入Relu呢?
第一,采用sigmoid等函数,算激活函数时(指数运算),计算量大,反向传播求误差梯度时,求导涉及除法,计算量相对大,而采用Relu激活函数,整个过程的计算量节省很多。


第二,对于深层网络,sigmoid函数反向传播时,很容易就会出现梯度消失的情况(在sigmoid接近饱和区时,变换太缓慢,导数趋于0,这种情况会造成信息丢失,从而无法完成深层网络的训练。


第三,Relu会使一部分神经元的输出为0,这样就造成了网络的稀疏性,并且减少了参数的相互依存关系,缓解了过拟合问题的发生(以及一些人的生物解释balabala)。


当然现在也有一些对relu的改进,比如prelu,random relu等,在不同的数据集上会有一些训练速度上或者准确率上的改进,具体的大家可以找相关的paper看。


多加一句,现在主流的做法,会多做一步batch normalization,尽可能保证每一层网络的输入具有相同的分布[1]。而最新的paper[2],他们在加入bypass connection之后,发现改变batch normalization的位置会有更好的效果。大家有兴趣可以看下。



深度学习的基本原理是基于人工神经网络,信号从一个神经元进入,经过非线性的activation function,传入到下一层神经元;再经过该层神经元的activate,继续往下传递,如此循环往复,直到输出层。正是由于这些非线性函数的反复叠加,才使得神经网络有足够的capacity来抓取复杂的pattern,在各个领域取得state-of-the-art的结果。显而易见,activation function在深度学习中举足轻重,也是很活跃的研究领域之一。目前来讲,选择怎样的activation function不在于它能否模拟真正的神经元,而在于能否便于优化整个深度神经网络。下面我们简单聊一下各类函数的特点以及为什么现在优先推荐ReLU函数。


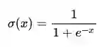
Sigmoid函数







Sigmoid函数是深度学习领域开始时使用频率最高的activation function。它是便于求导的平滑函数,其导数为,这是优点。然而,Sigmoid有三大缺点:

  • 容易出现gradient vanishing

  • 函数输出并不是zero-centered

  • 幂运算相对来讲比较耗时


Gradient Vanishing

优化神经网络的方法是Back Propagation,即导数的后向传递:先计算输出层对应的loss,然后将loss以导数的形式不断向上一层网络传递,修正相应的参数,达到降低loss的目的。 Sigmoid函数在深度网络中常常会导致导数逐渐变为0,使得参数无法被更新,神经网络无法被优化。原因在于两点:(1) 在上图中容易看出,当中较大或较小时,导数接近0,而后向传递的数学依据是微积分求导的链式法则,当前层的导数需要之前各层导数的乘积,几个小数的相乘,结果会很接近0 (2) Sigmoid导数的最大值是0.25,这意味着导数在每一层至少会被压缩为原来的1/4,通过两层后被变为1/16,…,通过10层后为1/1048576。请注意这里是“至少”,导数达到最大值这种情况还是很少见的。



输出不是zero-centered

Sigmoid函数的输出值恒大于0,这会导致模型训练的收敛速度变慢。举例来讲,对,如果所有均为正数或负数,那么其对的导数总是正数或负数,这会导致如下图红色箭头所示的阶梯式更新,这显然并非一个好的优化路径。深度学习往往需要大量时间来处理大量数据,模型的收敛速度是尤为重要的。所以,总体上来讲,训练深度学习网络尽量使用zero-centered数据 (可以经过数据预处理实现) 和zero-centered输出。






幂运算相对耗时

相对于前两项,这其实并不是一个大问题,我们目前是具备相应计算能力的,但面对深度学习中庞大的计算量,最好是能省则省 :-)。之后我们会看到,在ReLU函数中,需要做的仅仅是一个thresholding,相对于幂运算来讲会快很多。

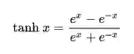
tanh函数







tanh读作Hyperbolic Tangent,如上图所示,它解决了zero-centered的输出问题,然而,gradient vanishing的问题和幂运算的问题仍然存在。



ReLU函数









ReLU函数其实就是一个取最大值函数,注意这并不是全区间可导的,但是我们可以取sub-gradient,如上图所示。ReLU虽然简单,但却是近几年的重要成果,有以下几大优点:


  • 解决了gradient vanishing问题 (在正区间)

  • 计算速度非常快,只需要判断输入是否大于0

  • 收敛速度远快于sigmoid和tanh


ReLU也有几个需要特别注意的问题:

  1. ReLU的输出不是zero-centered

  2. Dead ReLU Problem,指的是某些神经元可能永远不会被激活,导致相应的参数永远不能被更新。有两个主要原因可能导致这种情况产生: (1) 非常不幸的参数初始化,这种情况比较少见 (2) learning rate太高导致在训练过程中参数更新太大,不幸使网络进入这种状态。解决方法是可以采用Xavier初始化方法,以及避免将learning rate设置太大或使用adagrad等自动调节learning rate的算法。

尽管存在这两个问题,ReLU目前仍是最常用的activation function,在搭建人工神经网络的时候推荐优先尝试!


Leaky ReLU函数







人们为了解决Dead ReLU Problem,提出了将ReLU的前半段设为而非0。另外一种直观的想法是基于参数的方法,即Parametric ReLU:,其中可由back propagation学出来。理论上来讲,Leaky ReLU有ReLU的所有优点,外加不会有Dead ReLU问题,但是在实际操作当中,并没有完全证明Leaky ReLU总是好于ReLU。



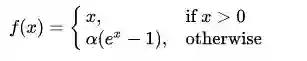
ELU (Exponential Linear Units) 函数






ELU也是为解决ReLU存在的问题而提出,显然,ELU有ReLU的基本所有优点,以及:

  • 不会有Deal ReLU问题

  • 输出的均值接近0,zero-centered

它的一个小问题在于计算量稍大。类似于Leaky ReLU,理论上虽然好于ReLU,但在实际使用中目前并没有好的证据ELU总是优于ReLU。


小结

建议使用ReLU函数,但是要注意初始化和learning rate的设置;可以尝试使用Leaky ReLU或ELU函数;不建议使用tanh,尤其是sigmoid函数。


更多关于激活函数的知识

via : https://www.zhihu.com/question/29021768



人工智能大数据与深度学习

搜索添加微信公众号:weic2c

长按图片,识别二维码,点关注



大数据挖掘DT数据分析

搜索添加微信公众号:datadw


教你机器学习,教你数据挖掘

长按图片,识别二维码,点关注


登录查看更多
0

相关内容

神经网络的拓扑结构,TOPOLOGY OF DEEP NEURAL NETWORKS
专知会员服务
35+阅读 · 2020年4月15日
【Nature论文】深度网络中的梯度下降复杂度控制
专知会员服务
41+阅读 · 2020年3月9日
【ICLR-2020】网络反卷积,NETWORK DECONVOLUTION
专知会员服务
39+阅读 · 2020年2月21日
深度学习算法与架构回顾
专知会员服务
84+阅读 · 2019年10月20日
激活函数还是有一点意思的!
计算机视觉战队
12+阅读 · 2019年6月28日
干货 | 深入理解深度学习中的激活函数
计算机视觉life
16+阅读 · 2019年1月29日
激活函数初学者指南
论智
6+阅读 · 2018年5月15日
理解神经网络的激活函数
论智
7+阅读 · 2018年1月8日
最近流行的激活函数
计算机视觉战队
6+阅读 · 2017年11月27日
入门 | 一文概览深度学习中的激活函数
机器之心
7+阅读 · 2017年11月2日
干货|浅谈神经网络中激活函数的设计
机器学习研究会
5+阅读 · 2017年10月28日
干货 | 深度学习之损失函数与激活函数的选择
机器学习算法与Python学习
15+阅读 · 2017年9月18日
Arxiv
14+阅读 · 2018年4月6日
Arxiv
22+阅读 · 2018年2月14日
Arxiv
6+阅读 · 2018年2月8日
Arxiv
8+阅读 · 2018年1月19日
Arxiv
7+阅读 · 2018年1月10日
VIP会员
最新内容
澳大利亚发布《国防战略(2026年)》
专知会员服务
0+阅读 · 26分钟前
【CMU博士论文】迈向基于基础先验的 4D 感知研究
专知会员服务
0+阅读 · 22分钟前
全球高超音速武器最新发展趋势
专知会员服务
0+阅读 · 51分钟前
人工智能在战场行动中的演进及伊朗案例
专知会员服务
7+阅读 · 4月18日
美AI公司Anthropic推出网络安全模型“Mythos”
专知会员服务
4+阅读 · 4月18日
【博士论文】面向城市环境的可解释计算机视觉
相关VIP内容
相关资讯
激活函数还是有一点意思的!
计算机视觉战队
12+阅读 · 2019年6月28日
干货 | 深入理解深度学习中的激活函数
计算机视觉life
16+阅读 · 2019年1月29日
激活函数初学者指南
论智
6+阅读 · 2018年5月15日
理解神经网络的激活函数
论智
7+阅读 · 2018年1月8日
最近流行的激活函数
计算机视觉战队
6+阅读 · 2017年11月27日
入门 | 一文概览深度学习中的激活函数
机器之心
7+阅读 · 2017年11月2日
干货|浅谈神经网络中激活函数的设计
机器学习研究会
5+阅读 · 2017年10月28日
干货 | 深度学习之损失函数与激活函数的选择
机器学习算法与Python学习
15+阅读 · 2017年9月18日
相关论文
Top
微信扫码咨询专知VIP会员