UIUC《深度学习理论》硬核课程书,Matus 教授最新讲解,131页pdf

2021 年 1 月 8 日 专知

深度学习的研究在许多机器学习任务上产生了最先进的结果。大多数的进步都是由直觉和通过试验和错误进行的大规模探索推动的。因此,目前理论落后于实践。ML社区并不完全理解为什么最好的方法是有效的。来自UIUC Matus Telgarsky教授撰写了关于深度学习理论笔记,值得关注。

地址:

https://mjt.cs.illinois.edu/dlt/


这些笔记的哲学。两个关键的观点决定了到目前为止所包含的内容。


  • 我的目标是对文献中出现的东西提供简化的证明,理想情况下,把困难的东西简化成适合一节课的东西。


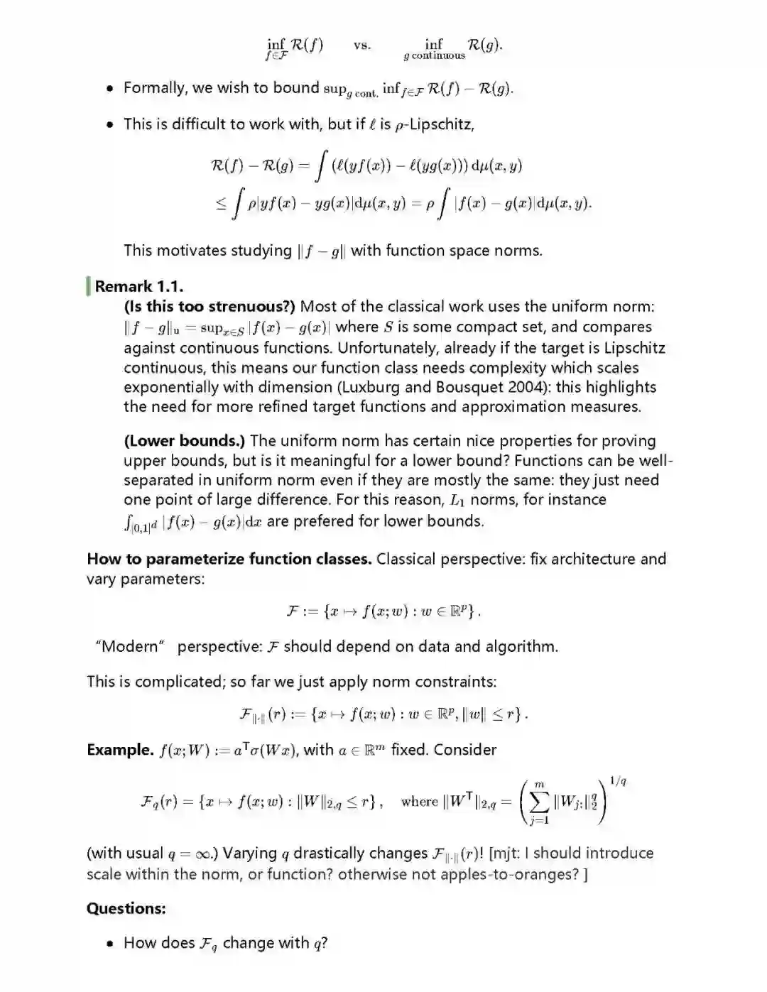
  • 我主要关注通过标准(通常是ReLU)前馈网络实现IID数据的二进制分类的低测试误差。


内容组织:


  • 近似 (从第1节开始): 给定一个分类问题,存在一个深度网络,在分布上实现低误差。


  • 优化 (从第9节开始): 对于一个分类问题,给定一个有限的训练集,存在寻找低训练误差和低复杂度的预测器的算法。


  • 泛化 (从第16节开始): 对于低复杂度的网络,训练和测试误差之间的差距很小。


内容目录:


专知便捷查看

便捷下载,请关注专知公众号(点击上方蓝色专知关注)

  • 后台回复“UDLT” 可以获取《UIUC《深度学习理论》硬核课程书,Matus 教授最新讲解,131页pdf》专知下载链接索引

专知,专业可信的人工智能知识分发,让认知协作更快更好!欢迎注册登录专知www.zhuanzhi.ai,获取5000+AI主题干货知识资料!
欢迎微信扫一扫加入专知人工智能知识星球群,获取最新AI专业干货知识教程资料和与专家交流咨询
点击“ 阅读原文 ”,了解使用 专知 ,查看获取5000+AI主题知识资源
登录查看更多
0

相关内容

【斯坦福经典书】机器学习导论,188页pdf
专知会员服务
79+阅读 · 2021年3月31日
最新《深度学习理论》笔记,68页pdf
专知会员服务
50+阅读 · 2021年2月14日
最新《因果推断导论》课程,102页ppt
专知会员服务
185+阅读 · 2020年9月1日
最新《统计机器学习》课程,26页ppt
专知会员服务
82+阅读 · 2020年8月30日
最新《因果推断导论: 从机器学习视角》新书稿,132页pdf
专知会员服务
279+阅读 · 2020年8月25日
【KDD2020】图神经网络:基础与应用,322页ppt
【新书册】贝叶斯神经网络,41页pdf
专知
29+阅读 · 2020年6月3日
图神经网络推理,27页ppt精炼讲解
专知
3+阅读 · 2020年4月24日
Arxiv
0+阅读 · 2021年5月3日
EfficientDet: Scalable and Efficient Object Detection
Arxiv
6+阅读 · 2019年11月20日
Deep Randomized Ensembles for Metric Learning
Arxiv
5+阅读 · 2018年9月4日
Arxiv
12+阅读 · 2018年1月12日
Arxiv
3+阅读 · 2016年2月24日
VIP会员
最新内容
超越网格:作战环境对炮兵的影响
专知会员服务
1+阅读 · 今天15:35
KDD 2026 | MixRAGRec:面向LLM推荐的混合专家KG-RAG框架
BES:让语言模型通过双向进化搜索自我改进
专知会员服务
4+阅读 · 5月30日
以色列-美国-伊朗战争中的无人机:关键要点
专知会员服务
4+阅读 · 5月30日
《Palantir任务保障性软件安全标准(MA-S2)》
专知会员服务
14+阅读 · 5月30日
基于声学的无人机检测技术综述
专知会员服务
8+阅读 · 5月30日
《当代混合战争分析框架:俄乌战争经验教训》
相关VIP内容
【斯坦福经典书】机器学习导论,188页pdf
专知会员服务
79+阅读 · 2021年3月31日
最新《深度学习理论》笔记,68页pdf
专知会员服务
50+阅读 · 2021年2月14日
最新《因果推断导论》课程,102页ppt
专知会员服务
185+阅读 · 2020年9月1日
最新《统计机器学习》课程,26页ppt
专知会员服务
82+阅读 · 2020年8月30日
最新《因果推断导论: 从机器学习视角》新书稿,132页pdf
专知会员服务
279+阅读 · 2020年8月25日
相关论文
Top
微信扫码咨询专知VIP会员