ICLR 2022 | 基于对抗自注意力机制的预训练语言模型

2022 年 7 月 6 日 PaperWeekly


©作者 | 曾伟豪

单位 | 北京邮电大学

研究方向 | 对话摘要生成




论文名称:

Adversarial Self-Attention For Language Understanding

论文来源:

ICLR 2022

论文链接:

https://arxiv.org/pdf/2206.12608.pdf




Introduction


本文提出了 Adversarial Self-Attention 机制(ASA),利用对抗训练重构 Transformer 的注意力,使模型在被污染的模型结构中得到训练。

尝试解决的问题:

  1. 大量的证据表明,自注意力可以从 allowing bias 中获益,allowing bias 可以将一定程度的先验(如 masking,分布的平滑)加入原始的注意力结构中。这些先验知识能够让模型从较小的语料中学习有用的知识。但是这些先验知识一般是任务特定的知识,使得模型很难扩展到丰富的任务上。
  2. adversarial training 通过给输入内容添加扰动来提升模型的鲁棒性。作者发现仅仅给 input embedding 添加扰动很难 confuse 到 attention maps. 模型的注意在扰动前后没有发生变化。


为了解决上述问题,作者提出了 ASA,具有以下的优势:

  1. 最大化 empirical training risk,在自动化构建先验知识的过程学习得到biased(or adversarial)的结构。
  2. adversial 结构是由输入数据学到,使得 ASA 区别于传统的对抗训练或自注意力的变体。
  3. 使用梯度反转层来将 model 和 adversary 结合为整体。
  4. ASA 天然具有可解释性。




Preliminary


表示输入的特征,在传统的对抗训练中, 通常是 token 序列或者是 token 的 embedding, 表示 ground truth. 对于由 参数化的模型,模型的预测结果可以表示为


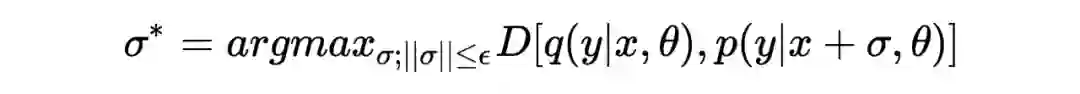
2.1 Adversarial training


对抗训练的目的是旨在通过推近经过扰动的模型预测和目标分布之间的距离来提升模型的鲁棒性:



其中 代表经过对抗扰动 扰动后的模型预测, 表示模型的目标分布。

对抗扰动 通过最大化 empirical training risk 获得:



其中 是对 做出的约束,希望在 较小的情况下给模型造成较大的扰动。上述的两个表示展示的就是对抗的过程。

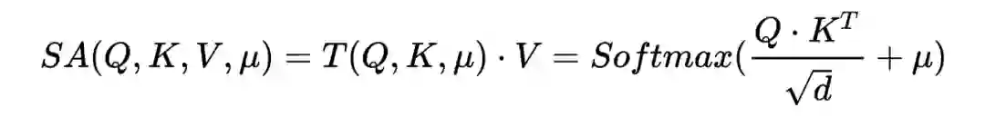
2.2 General Self-Attention


定义自注意力的表达式为:



在最普通的自注意力机制中 代表全等矩阵,而之前的研究中, 代表的是用来平滑注意力结构的输出分布的一定程度的先验知识。

作者在本文将 定义为元素为 的 binary 矩阵。



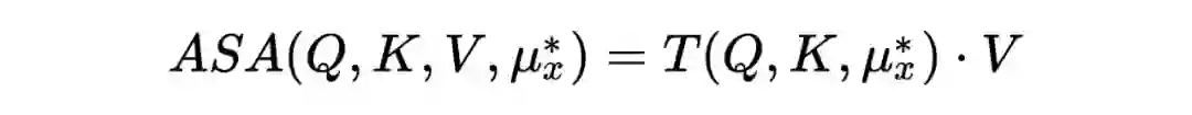
Adversarial Self-Attention Mechanism


3.1 Optimization


ASA 的目的是掩盖模型中最脆弱的注意力单元。这些最脆弱的单元取决于模型的输入,因此对抗可以表示为由输入学习到的“meta-knowledge”: ,ASA 注意力可以表示为:



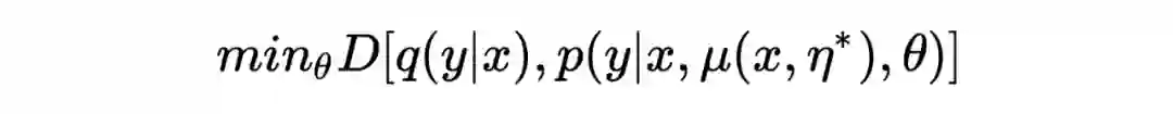
与对抗训练类似,模型用来最小化如下的 divergence:



通过最大化 empirical risk 估计得到



其中 表示的是 的决策边界,用来防止 ASA 损害模型的训练。


考虑到 以 attention mask 的形式存在,因此更适合通过约束 masked units 的比例来约束。由于很难测量

的具体数值,因此将 hard constraint 转化为具有惩罚的 unconstraint:



其中 t 用来控制对抗的程度。


3.2 Implementation


作者提出了 ASA 的简单且快速的实现。



对于第 自注意力层, 可以由输入的隐层状态获得。具体而言,使用线性层将隐层状态转化为 以及 ,通过点乘获得矩阵 ,再通过重参数化技巧将矩阵 binary 化。

由于对抗训练通常包括 inner maximization 以及 outer minimization 两个目标,因此至少需要两次 backward 过程。因此为了加速训练,作者采用了 Gradient Reversal Layer(GRL)将两个过程合并。

3.3 Training


训练目标如下所示:



表示 task- specific 损失, 表示加上 ASA 对抗后的损失, 表示对于对于 的约束。



Experiments


4.1 Result



从上表可以看出,在微调方面,ASA 支持的模型始终在很大程度上超过了原始的BERT 和 RoBERTa. 可以看到,ASA 在小规模数据集比如说 STS-B,DREAM 上表现优异(一般认为这些小规模数据集上更容易过拟合)同时在更大规模的数据集上如 MNLI,QNLI 以及 QQP 上仍然有较好的提升,说明了 ASA 在提升模型泛化能力的同时能提升模型的语言表示能力。

如下表所示,ASA 在提升模型鲁棒性上具有较大的作用。



4.2 分析实验


1. VS. Naive smoothing

将 ASA 与其他注意力平滑方式进行比较。



2. VS. Adversial training

将 ASA 与其他对抗训练方式进行比较



4.3 Visualization


1. Why ASA improves generalization

对抗能够减弱关键词的注意力而让非关键词接受更多的注意力。ASA 阻止了模型的懒惰预测,但敦促它从被污染的线索中学习,从而提高了泛化能力。



2. Bottom layers are more vulnerable 

可以看到 masking 占比随着层数由底层到高层逐渐降低,更高的 masking 占比意味着层的脆弱性更高。





Conclusion


本文提出了 Adversarial Self-Attention mechanism(ASA)来提高预训练语言模型的泛化性和鲁棒性。大量实验表明本文提出的方法能够在预训练和微调阶段提升模型的鲁棒性。


更多阅读



#投 稿 通 道#

 让你的文字被更多人看到 



如何才能让更多的优质内容以更短路径到达读者群体,缩短读者寻找优质内容的成本呢?答案就是:你不认识的人。


总有一些你不认识的人,知道你想知道的东西。PaperWeekly 或许可以成为一座桥梁,促使不同背景、不同方向的学者和学术灵感相互碰撞,迸发出更多的可能性。 


PaperWeekly 鼓励高校实验室或个人,在我们的平台上分享各类优质内容,可以是最新论文解读,也可以是学术热点剖析科研心得竞赛经验讲解等。我们的目的只有一个,让知识真正流动起来。


📝 稿件基本要求:

• 文章确系个人原创作品,未曾在公开渠道发表,如为其他平台已发表或待发表的文章,请明确标注 

• 稿件建议以 markdown 格式撰写,文中配图以附件形式发送,要求图片清晰,无版权问题

• PaperWeekly 尊重原作者署名权,并将为每篇被采纳的原创首发稿件,提供业内具有竞争力稿酬,具体依据文章阅读量和文章质量阶梯制结算


📬 投稿通道:

• 投稿邮箱:[email protected] 

• 来稿请备注即时联系方式(微信),以便我们在稿件选用的第一时间联系作者

• 您也可以直接添加小编微信(pwbot02)快速投稿,备注:姓名-投稿


△长按添加PaperWeekly小编




🔍


现在,在「知乎」也能找到我们了

进入知乎首页搜索「PaperWeekly」

点击「关注」订阅我们的专栏吧


·

登录查看更多
1

相关内容

基于几何结构预训练的蛋白质表征学习
专知会员服务
15+阅读 · 2022年8月21日
WWW2022 | 迷途知返:分布迁移下的图神经网络自训练方法
专知会员服务
17+阅读 · 2022年2月19日
EMNLP 2021 | 预训练跨语言模型中的大词表构建及使用
专知会员服务
22+阅读 · 2022年1月5日
专知会员服务
39+阅读 · 2021年6月6日
专知会员服务
43+阅读 · 2021年4月23日
【SIGIR 2020】 基于协同注意力机制的知识增强推荐模型
专知会员服务
91+阅读 · 2020年7月23日
【ICML2020】统一预训练伪掩码语言模型
专知会员服务
27+阅读 · 2020年7月23日
ACL‘22杰出论文:Prompt范式有bug!
夕小瑶的卖萌屋
2+阅读 · 2022年7月10日
相对位置编码Transformer的一个理论缺陷与对策
PaperWeekly
0+阅读 · 2022年6月29日
NAACL 2022 | 机器翻译SOTA模型的蒸馏
PaperWeekly
1+阅读 · 2022年6月28日
赛尔笔记 | Attention!注意力机制可解释吗?
哈工大SCIR
23+阅读 · 2019年9月27日
【论文笔记】基于BERT的知识图谱补全
专知
116+阅读 · 2019年9月15日
从Seq2seq到Attention模型到Self Attention(二)
量化投资与机器学习
23+阅读 · 2018年10月9日
国家自然科学基金
3+阅读 · 2014年12月31日
国家自然科学基金
6+阅读 · 2014年12月31日
国家自然科学基金
5+阅读 · 2013年12月31日
国家自然科学基金
0+阅读 · 2013年12月31日
国家自然科学基金
0+阅读 · 2012年12月31日
国家自然科学基金
0+阅读 · 2012年12月31日
国家自然科学基金
0+阅读 · 2011年12月31日
国家自然科学基金
0+阅读 · 2009年12月31日
国家自然科学基金
0+阅读 · 2008年12月31日
Arxiv
14+阅读 · 2022年5月6日
Arxiv
14+阅读 · 2021年7月20日
Hierarchical Graph Capsule Network
Arxiv
20+阅读 · 2020年12月16日
Heterogeneous Graph Transformer
Arxiv
27+阅读 · 2020年3月3日
Domain Representation for Knowledge Graph Embedding
Arxiv
14+阅读 · 2019年9月11日
Learning Embedding Adaptation for Few-Shot Learning
Arxiv
17+阅读 · 2018年12月10日
VIP会员
最新内容
BES:让语言模型通过双向进化搜索自我改进
专知会员服务
0+阅读 · 11分钟前
以色列-美国-伊朗战争中的无人机:关键要点
专知会员服务
3+阅读 · 今天14:04
《Palantir任务保障性软件安全标准(MA-S2)》
专知会员服务
6+阅读 · 今天13:49
基于声学的无人机检测技术综述
专知会员服务
5+阅读 · 今天13:37
《当代混合战争分析框架:俄乌战争经验教训》
专知会员服务
5+阅读 · 今天13:11
战略前沿人工智能的再思考(中文)
专知会员服务
7+阅读 · 5月29日
《量化地基防空系统间接效应的博弈论方法》
专知会员服务
5+阅读 · 5月29日
相关VIP内容
基于几何结构预训练的蛋白质表征学习
专知会员服务
15+阅读 · 2022年8月21日
WWW2022 | 迷途知返:分布迁移下的图神经网络自训练方法
专知会员服务
17+阅读 · 2022年2月19日
EMNLP 2021 | 预训练跨语言模型中的大词表构建及使用
专知会员服务
22+阅读 · 2022年1月5日
专知会员服务
39+阅读 · 2021年6月6日
专知会员服务
43+阅读 · 2021年4月23日
【SIGIR 2020】 基于协同注意力机制的知识增强推荐模型
专知会员服务
91+阅读 · 2020年7月23日
【ICML2020】统一预训练伪掩码语言模型
专知会员服务
27+阅读 · 2020年7月23日
相关资讯
ACL‘22杰出论文:Prompt范式有bug!
夕小瑶的卖萌屋
2+阅读 · 2022年7月10日
相对位置编码Transformer的一个理论缺陷与对策
PaperWeekly
0+阅读 · 2022年6月29日
NAACL 2022 | 机器翻译SOTA模型的蒸馏
PaperWeekly
1+阅读 · 2022年6月28日
赛尔笔记 | Attention!注意力机制可解释吗?
哈工大SCIR
23+阅读 · 2019年9月27日
【论文笔记】基于BERT的知识图谱补全
专知
116+阅读 · 2019年9月15日
从Seq2seq到Attention模型到Self Attention(二)
量化投资与机器学习
23+阅读 · 2018年10月9日
相关基金
国家自然科学基金
3+阅读 · 2014年12月31日
国家自然科学基金
6+阅读 · 2014年12月31日
国家自然科学基金
5+阅读 · 2013年12月31日
国家自然科学基金
0+阅读 · 2013年12月31日
国家自然科学基金
0+阅读 · 2012年12月31日
国家自然科学基金
0+阅读 · 2012年12月31日
国家自然科学基金
0+阅读 · 2011年12月31日
国家自然科学基金
0+阅读 · 2009年12月31日
国家自然科学基金
0+阅读 · 2008年12月31日
相关论文
Arxiv
14+阅读 · 2022年5月6日
Arxiv
14+阅读 · 2021年7月20日
Hierarchical Graph Capsule Network
Arxiv
20+阅读 · 2020年12月16日
Heterogeneous Graph Transformer
Arxiv
27+阅读 · 2020年3月3日
Domain Representation for Knowledge Graph Embedding
Arxiv
14+阅读 · 2019年9月11日
Learning Embedding Adaptation for Few-Shot Learning
Arxiv
17+阅读 · 2018年12月10日
Top
微信扫码咨询专知VIP会员