一文了解强化学习

2018 年 8 月 20 日 AI100


作者 | 杨熹,数学硕士,曾任 Intel 成本分析师,日本 TRIAL 数据分析师,参与推荐系统、销量预测、成本分析、计算广告等多个项目,兴趣机器学习,深度学习,数据科学,自然语言处理。


今天来看看强化学习,不过不是要用它来玩游戏,而是觉得它在制造业,库存,电商,广告,推荐,金融,医疗等与我们生活息息相关的领域也有很好的应用,当然要了解一下了。


本文结构:


  • 定义

  • 和监督式学习, 非监督式学习的区别

  • 主要算法和类别

  • 应用举例


1. 定义


强化学习是机器学习的一个重要分支,是多学科多领域交叉的一个产物,它的本质是解决 decision making 问题,即自动进行决策,并且可以做连续决策。


它主要包含四个元素,agent,环境状态,行动,奖励, 强化学习的目标就是获得最多的累计奖励。


让我们以小孩学习走路来做个形象的例子:


小孩想要走路,但在这之前,他需要先站起来,站起来之后还要保持平衡,接下来还要先迈出一条腿,是左腿还是右腿,迈出一步后还要迈出下一步。


小孩就是 agent,他试图通过采取行动(即行走)来操纵环境(行走的表面),并且从一个状态转变到另一个状态(即他走的每一步),当他完成任务的子任务(即走了几步)时,孩子得到奖励(给巧克力吃),并且当他不能走路时,就不会给巧克力。

2. 和监督式学习, 非监督式学习的区别


在机器学习中,我们比较熟知的是监督式学习,非监督学习,此外还有一个大类就是强化学习:

强化学习和监督式学习的区别:


监督式学习就好比你在学习的时候,有一个导师在旁边指点,他知道怎么是对的怎么是错的,但在很多实际问题中,例如 chess,go,这种有成千上万种组合方式的情况,不可能有一个导师知道所有可能的结果。


而这时,强化学习会在没有任何标签的情况下,通过先尝试做出一些行为得到一个结果,通过这个结果是对还是错的反馈,调整之前的行为,就这样不断的调整,算法能够学习到在什么样的情况下选择什么样的行为可以得到最好的结果。


就好比你有一只还没有训练好的小狗,每当它把屋子弄乱后,就减少美味食物的数量(惩罚),每次表现不错时,就加倍美味食物的数量(奖励),那么小狗最终会学到一个知识,就是把客厅弄乱是不好的行为。


两种学习方式都会学习出输入到输出的一个映射,监督式学习出的是之间的关系,可以告诉算法什么样的输入对应着什么样的输出,强化学习出的是给机器的反馈 reward function,即用来判断这个行为是好是坏。


另外强化学习的结果反馈有延时,有时候可能需要走了很多步以后才知道以前的某一步的选择是好还是坏,而监督学习做了比较坏的选择会立刻反馈给算法。


而且强化学习面对的输入总是在变化,每当算法做出一个行为,它影响下一次决策的输入,而监督学习的输入是独立同分布的。


通过强化学习,一个 agent 可以在探索和开发(exploration and exploitation)之间做权衡,并且选择一个最大的回报。 exploration 会尝试很多不同的事情,看它们是否比以前尝试过的更好。 exploitation 会尝试过去经验中最有效的行为。


一般的监督学习算法不考虑这种平衡,就只是是 exploitative。


强化学习和非监督式学习的区别:


非监督式不是学习输入到输出的映射,而是模式。例如在向用户推荐新闻文章的任务中,非监督式会找到用户先前已经阅读过类似的文章并向他们推荐其一,而强化学习将通过向用户先推荐少量的新闻,并不断获得来自用户的反馈,最后构建用户可能会喜欢的文章的“知识图”。


3. 主要算法和分类


从强化学习的几个元素的角度划分的话,方法主要有下面几类:


  • Policy based, 关注点是找到最优策略。

  • Value based, 关注点是找到最优奖励总和。

  • Action based, 关注点是每一步的最优行动。


我们可以用一个最熟知的旅行商例子来看,


我们要从 A 走到 F,每两点之间表示这条路的成本,我们要选择路径让成本越低越好:



那么几大元素分别是:


  • states ,就是节点 {A, B, C, D, E, F}

  • action ,就是从一点走到下一点 {A -> B, C -> D, etc}

  • reward function ,就是边上的 cost

  • policy,就是完成任务的整条路径 {A -> C -> F}


有一种走法是这样的,在 A 时,可以选的 (B, C, D, E),发现 D 最优,就走到 D,此时,可以选的 (B, C, F),发现 F 最优,就走到 F,此时完成任务。 


这个算法就是强化学习的一种,叫做 epsilon greedy,是一种 Policy based 的方法,当然了这个路径并不是最优的走法。


此外还可以从不同角度使分类更细一些:


如下图所示的四种分类方式,分别对应着相应的主要算法:

  • Model-free:不尝试去理解环境, 环境给什么就是什么,一步一步等待真实世界的反馈, 再根据反馈采取下一步行动。


  • Model-based:先理解真实世界是怎样的, 并建立一个模型来模拟现实世界的反馈,通过想象来预判断接下来将要发生的所有情况,然后选择这些想象情况中最好的那种,并依据这种情况来采取下一步的策略。它比 Model-free 多出了一个虚拟环境,还有想象力。


  • Policy based:通过感官分析所处的环境, 直接输出下一步要采取的各种动作的概率, 然后根据概率采取行动。


  • Value based:输出的是所有动作的价值, 根据最高价值来选动作,这类方法不能选取连续的动作。


  • Monte-carlo update:游戏开始后, 要等待游戏结束, 然后再总结这一回合中的所有转折点, 再更新行为准则。


  • Temporal-difference update:在游戏进行中每一步都在更新, 不用等待游戏的结束, 这样就能边玩边学习了。


  • On-policy:必须本人在场, 并且一定是本人边玩边学习。


  • Off-policy:可以选择自己玩, 也可以选择看着别人玩, 通过看别人玩来学习别人的行为准则。


主要算法有下面几种,这里先只是简述:


(1). Sarsa




Q 为动作效用函数(action-utility function),用于评价在特定状态下采取某个动作的优劣,可以将之理解为智能体(Agent)的大脑。


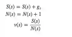
SARSA 利用马尔科夫性质,只利用了下一步信息, 让系统按照策略指引进行探索,在探索每一步都进行状态价值的更新,更新公式如下所示:

s 为当前状态,a 是当前采取的动作,s’ 为下一步状态,a’ 是下一个状态采取的动作,r 是系统获得的奖励, α 是学习率, γ 是衰减因子。


(2). Q learning

Q Learning 的算法框架和 SARSA 类似, 也是让系统按照策略指引进行探索,在探索每一步都进行状态价值的更新。关键在于 Q Learning 和 SARSA 的更新公式不一样,Q Learning 的更新公式如下:

(3). Policy Gradients


系统会从一个固定或者随机起始状态出发,策略梯度让系统探索环境,生成一个从起始状态到终止状态的状态-动作-奖励序列,s1,a1,r1,.....,sT,aT,rT,在第 t 时刻,我们让 gt=rt+γrt+1+... 等于 q(st,a) ,从而求解策略梯度优化问题。


(4). Actor-Critic

算法分为两个部分:Actor 和 Critic。Actor 更新策略, Critic 更新价值。Critic 就可以用之前介绍的 SARSA 或者 Q Learning 算法。


(5). Monte-carlo learning


用当前策略探索产生一个完整的状态-动作-奖励序列: 


s1,a1,r1,....,sk,ak,rk∼π


在序列第一次碰到或者每次碰到一个状态 s 时,计算其衰减奖励:

最后更新状态价值:

(6). Deep-Q-Network


DQN 算法的主要做法是 Experience Replay,将系统探索环境得到的数据储存起来,然后随机采样样本更新深度神经网络的参数。它也是在每个 action 和 environment state 下达到最大回报,不同的是加了一些改进,加入了经验回放和决斗网络架构。

4. 应用举例


强化学习有很多应用,除了无人驾驶,AlphaGo,玩游戏之外,还有下面这些工程中实用的例子:


(1). Manufacturing


例如一家日本公司 Fanuc,工厂机器人在拿起一个物体时,会捕捉这个过程的视频,记住它每次操作的行动,操作成功还是失败了,积累经验,下一次可以更快更准地采取行动。


(2). Inventory Management


在库存管理中,因为库存量大,库存需求波动较大,库存补货速度缓慢等阻碍使得管理是个比较难的问题,可以通过建立强化学习算法来减少库存周转时间,提高空间利用率。


(3). Dynamic pricing


强化学习中的 Q-learning 可以用来处理动态定价问题。


(4). Customer Delivery


制造商在向各个客户运输时,想要在满足客户的所有需求的同时降低车队总成本。通过 multi-agents 系统和 Q-learning,可以降低时间,减少车辆数量。


(5). ECommerce Personalization


在电商中,也可以用强化学习算法来学习和分析顾客行为,定制产品和服务以满足客户的个性化需求。


(6). Ad Serving


例如算法 LinUCB (属于强化学习算法 bandit 的一种算法),会尝试投放更广范围的广告,尽管过去还没有被浏览很多,能够更好地估计真实的点击

率。


再如双 11 推荐场景中,阿里巴巴使用了深度强化学习与自适应在线学习,通过持续机器学习和模型优化建立决策引擎,对海量用户行为以及百亿级商品特征进行实时分析,帮助每一个用户迅速发现宝贝,提高人和商品的配对效率。还有,利用强化学习将手机用户点击率提升了 10-20%。


(7). Financial Investment Decisions


例如这家公司 Pit.ai,应用强化学习来评价交易策略,可以帮助用户建立交易策略,并帮助他们实现其投资目标。


(8). Medical Industry


动态治疗方案(DTR)是医学研究的一个主题,是为了给患者找到有效的治疗方法。 例如癌症这种需要长期施药的治疗,强化学习算法可以将患者的各种临床指标作为输入 来制定治疗策略。


上面简单地介绍了强化学习的概念,区别,主要算法,下面是一些学习资源,供参考:


课程


  • Udacity

    课程1:Machine Learning: Reinforcement Learning, 

    课程2:Reinforcement Learning


  • 经典教科书:

    Sutton & Barto Textbook: Reinforcement Learning: An Introduction 被引用2万多次 

    http://people.inf.elte.hu/lorincz/Files/RL_2006/SuttonBook.pdf


  • UC Berkeley开发的经典的入门课程作业

    编程玩“吃豆人”游戏:Berkeley Pac-Man Project (CS188 Intro to AI)


  • Stanford开发的入门课程作业-简化版无人车驾驶:

    Car Tracking (CS221 AI: Principles and Techniques) 

    CS 294: Deep Reinforcement Learning, Fall 2015 CS 294 Deep Reinforcement Learning, Fall 2015。


  • David Silver强化学习:

    http://www0.cs.ucl.ac.uk/staff/d.silver/web/Teaching.html


相关文章


  • TensorFlow-11-策略网络:用 Tensorflow 创建一个基于策略网络的 Agent 来解决 CartPole 问题。 
    http://www.jianshu.com/p/14625de78455


  • 强化学习是什么:简单图解了 DQN 
    http://www.jianshu.com/p/2100cc577a46


参考: 
https://www.marutitech.com/businesses-reinforcement-learning/ 
https://www.analyticsvidhya.com/blog/2017/01/introduction-to-reinforcement-learning-implementation/ 
https://morvanzhou.github.io/tutorials/machine-learning/ML-intro/4-02-RL-methods/ 
https://www.zhihu.com/question/41775291 
http://www.algorithmdog.com/reinforcement-learning-model-free-learning


原文地址:

https://blog.csdn.net/aliceyangxi1987/article/details/73327378



 ——【完】——


在线公开课 知识图谱专场

精彩继续


时间:8月23日 20:00-21:00

添加微信csdnai,备注:公开课,加入课程交流群

参加公开课,向讲师提问,即有机会获得定制T恤或者技术书籍


登录查看更多
15

相关内容

强化学习(RL)是机器学习的一个领域,与软件代理应如何在环境中采取行动以最大化累积奖励的概念有关。除了监督学习和非监督学习外,强化学习是三种基本的机器学习范式之一。 强化学习与监督学习的不同之处在于,不需要呈现带标签的输入/输出对,也不需要显式纠正次优动作。相反,重点是在探索(未知领域)和利用(当前知识)之间找到平衡。 该环境通常以马尔可夫决策过程(MDP)的形式陈述,因为针对这种情况的许多强化学习算法都使用动态编程技术。经典动态规划方法和强化学习算法之间的主要区别在于,后者不假设MDP的确切数学模型,并且针对无法采用精确方法的大型MDP。

知识荟萃

精品入门和进阶教程、论文和代码整理等

更多

查看相关VIP内容、论文、资讯等
【圣经书】《强化学习导论(2nd)》电子书与代码,548页pdf
专知会员服务
208+阅读 · 2020年5月22日
《强化学习》简介小册,24页pdf
专知会员服务
282+阅读 · 2020年4月19日
【Texas 大学】强化学习领域的课程学习:一个框架和综述
专知会员服务
73+阅读 · 2020年3月22日
【综述】自动驾驶领域中的强化学习,附18页论文下载
专知会员服务
176+阅读 · 2020年2月8日
深度强化学习策略梯度教程,53页ppt
专知会员服务
184+阅读 · 2020年2月1日
【斯坦福新课】CS234:强化学习,附课程PPT下载
专知会员服务
124+阅读 · 2020年1月15日
【强化学习】深度强化学习初学者指南
专知会员服务
184+阅读 · 2019年12月14日
深度强化学习入门,这一篇就够了!
机器学习算法与Python学习
28+阅读 · 2018年8月17日
【干货】强化学习介绍
专知
12+阅读 · 2018年6月24日
【强化学习】强化学习/增强学习/再励学习介绍
产业智能官
10+阅读 · 2018年2月23日
强化学习的入门之旅
机器学习研究会
7+阅读 · 2018年2月12日
【强化学习】易忽略的强化学习知识之基础知识及MDP
产业智能官
19+阅读 · 2017年12月22日
【强化学习】如何开启强化学习的大门?
产业智能官
13+阅读 · 2017年9月10日
强化学习族谱
CreateAMind
26+阅读 · 2017年8月2日
Arxiv
6+阅读 · 2019年7月29日
Hierarchical Deep Multiagent Reinforcement Learning
Arxiv
8+阅读 · 2018年9月25日
Arxiv
11+阅读 · 2018年4月25日
Arxiv
5+阅读 · 2018年4月22日
VIP会员
最新内容
BES:让语言模型通过双向进化搜索自我改进
专知会员服务
0+阅读 · 5月30日
以色列-美国-伊朗战争中的无人机:关键要点
专知会员服务
3+阅读 · 5月30日
《Palantir任务保障性软件安全标准(MA-S2)》
专知会员服务
7+阅读 · 5月30日
基于声学的无人机检测技术综述
专知会员服务
5+阅读 · 5月30日
《当代混合战争分析框架:俄乌战争经验教训》
战略前沿人工智能的再思考(中文)
专知会员服务
7+阅读 · 5月29日
《量化地基防空系统间接效应的博弈论方法》
专知会员服务
5+阅读 · 5月29日
相关VIP内容
【圣经书】《强化学习导论(2nd)》电子书与代码,548页pdf
专知会员服务
208+阅读 · 2020年5月22日
《强化学习》简介小册,24页pdf
专知会员服务
282+阅读 · 2020年4月19日
【Texas 大学】强化学习领域的课程学习:一个框架和综述
专知会员服务
73+阅读 · 2020年3月22日
【综述】自动驾驶领域中的强化学习,附18页论文下载
专知会员服务
176+阅读 · 2020年2月8日
深度强化学习策略梯度教程,53页ppt
专知会员服务
184+阅读 · 2020年2月1日
【斯坦福新课】CS234:强化学习,附课程PPT下载
专知会员服务
124+阅读 · 2020年1月15日
【强化学习】深度强化学习初学者指南
专知会员服务
184+阅读 · 2019年12月14日
相关资讯
深度强化学习入门,这一篇就够了!
机器学习算法与Python学习
28+阅读 · 2018年8月17日
【干货】强化学习介绍
专知
12+阅读 · 2018年6月24日
【强化学习】强化学习/增强学习/再励学习介绍
产业智能官
10+阅读 · 2018年2月23日
强化学习的入门之旅
机器学习研究会
7+阅读 · 2018年2月12日
【强化学习】易忽略的强化学习知识之基础知识及MDP
产业智能官
19+阅读 · 2017年12月22日
【强化学习】如何开启强化学习的大门?
产业智能官
13+阅读 · 2017年9月10日
强化学习族谱
CreateAMind
26+阅读 · 2017年8月2日
Top
微信扫码咨询专知VIP会员