经典论文复现 | 基于深度学习的图像超分辨率重建

2018 年 9 月 27 日 PaperWeekly


过去几年发表于各大 AI 顶会论文提出的 400 多种算法中,公开算法代码的仅占 6%,其中三分之一的论文作者分享了测试数据,约 54% 的分享包含“伪代码”。这是今年 AAAI 会议上一个严峻的报告。 人工智能这个蓬勃发展的领域正面临着实验重现的危机,就像实验重现问题过去十年来一直困扰着心理学、医学以及其他领域一样。最根本的问题是研究人员通常不共享他们的源代码。 


可验证的知识是科学的基础,它事关理解。随着人工智能领域的发展,打破不可复现性将是必要的。为此,PaperWeekly 联手百度 PaddlePaddle 共同发起了本次论文有奖复现,我们希望和来自学界、工业界的研究者一起接力,为 AI 行业带来良性循环。


作者丨Molly

学校丨北京航天航空大学

研究方向丨计算机视觉


笔者本次选择复现的是汤晓鸥组 Chao Dong 的作品,这篇论文也是深度学习应用在超分辨率重构上的开山之作



论文复现代码: 


http://aistudio.baidu.com/#/projectdetail/23978


超分辨率重构


单图像超分辨率重构(SR)可以从一张较小的图像生成一张高分辨率的图像。显然,这种恢复的结果是不唯一的。可以这样直观地理解:远远看到一个模糊的身影,看不清脸,既可以认为对面走来的是个男生,也可以认为这是个女生。那么,当我想象对面人的长相时,会如何脑补呢?


这就依赖于我们的先验知识。假如我认为,一个穿着裙子的人肯定是个女生,而对面那个人穿着裙子,所以我认为那是个女生,脑补了一张女神脸。然而,如果我知道穿裙子的人不一定是女生,还可能是女装大佬。迎面走来那个人瘦瘦高高,所以我认为十有八九是个男孩子,就会脑补一个……


也就是说,不同的先验知识,会指向不同的结果。我们的任务,就是学习这些先验知识。目前效果最好的办法都是基于样本的(example-based)。


 超分辨率重构的结果。SRCNN所示为论文提出的模型的结果,可以看出,边缘更加清晰。


论文提出一种有趣的视角:CNN 所构造的模型和稀疏编码方法(sparse coding based)是等价的。稀疏编码方法的流程如下: 


1. 从原始图片中切割出一个个小块,并进行预处理(归一化)。这种切割是密集的,也就是块与块之间有重叠;


2. 使用低维词典(low-resolution dictionary)编码,得到一个稀疏参数;


3. 使用高维词典(high-resolution dictionary)结合稀疏参数进行重建(换了个密码本);


4. 将多个小块拼接起来,重合部分使用加权和拼接。



上图是卷积神经网络对应于稀疏编码的结构。对于一个低分辨率图像 Y,第一个卷积层提取 feature maps。第二个卷积层将 feature maps 进行非线性变换,变换为高分辨率图像的表示。最后一层恢复出高分辨率图像。 


相比于稀疏编码,论文提出的模型是 end-to-end 的,便于优化。并且,不需要求最小二乘的解,运算速度更快。


模型构造和训练


模型的结构 


这是一个 base-line 模型。如下图,f1=9,f2=1,f3=5,n1=64,n2=32,前两层使用 relu 作为激活函数。输入为图像的 Y 通道。



为了减轻边界带来的影响,论文使用 valid 方式处理卷积的边界。所以模型输出的结果是比输入要小一点点的。 显然,这是一个 FCN 的网络。我们使用图像的一个个 patch 进行训练,在测试时输入为一整张图片。由于没有全连接层,输入图像的大小可以是任意的。 


训练数据 


为了使模型更好地收敛,我们在原始的训练数据集上面切出一系列 33 X 33 大小的图像进行训练,切割的步长为 14。也就是说,我们使用的训练集图像,是有互相重合的部分的。


我们使用的是 timofte 数据集,共 91 张图片。论文中进行对比试验的时候,使用的都是 ImageNet 数据集。相比于 timofte,ImageNet 数据集可以提供更丰富的样本,得到更好的训练结果。但是 91 张图片给出的样本已经很丰富了,并且模型本身参数也不多,还不至于过拟合。所以使用 ImageNet 对结果的提升比较有限。


我们进行论文复现的时候,考虑到计算资源限制,使用 timofte 数据集,可以得到相似的结果。 我们使用 set5 作为验证集,使用 set14 可以得到类似的结论。


    def read_data(self, data_path):
        def data_reader():
            for image in os.listdir(data_path):
                if image.endswith('.bmp'):
                    img = cv2.imread(os.path.join(data_path, image))
                    yuv = cv2.cvtColor(img, cv2.COLOR_BGR2YCrCb)
                    img_y, img_u, img_v = cv2.split(yuv)
                    # 下面是切图的步骤
                    j = 0
                    count = 0
                    while j+33 < len(img_y):
                        i = 0
                        while i+33 < len(img_y[0]):
                            img_patch = img_y[j:j+33, i:i+33]
                            img_gth = img_patch[6:276:27].copy()
                            img_blur = cv2.GaussianBlur(img_patch, (55), 0)
                            img_sumsample = cv2.resize(img_blur, (1111))
                            img_input = cv2.resize(img_blur, (3333), interpolation=cv2.INTER_CUBIC)
                            yield img_input, img_gth
                            i+=14
                        j+= 14
        return data_reader

 数据读取代码展示


损失函数和模型评估


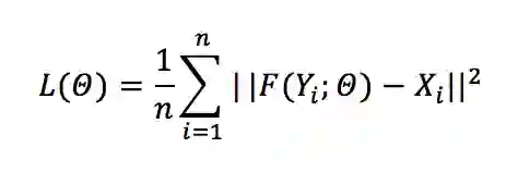
我们使用 MSE 作为损失函数,即:



其中,是模型中的所有参数。 如上文所述,我们使用 valid 方式处理边界,所以输出的图像比输入图像略小。计算损失值时,只使用输入图像中间和输出图像对应位置的部分进行计算。 


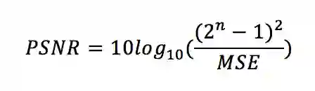
由于超分辨率重建的结果是不唯一的,所以其结果的评估往往比较困难。论文使用峰值信噪比(PSNR)作为模型的评价指标。它和人眼的感受并不完全一致。可能会出现指标很高,但是人眼感受不太好的情况。但是,它仍然是广为接受的指标。 PSNR 的计算公式如下:



其中,n 为每像素的比特数,一般取 8。


模型训练结果



当训练的 backprops 数达到时,模型 PSNR 值达到 32.39dB。而同样的迭代次数,如果使用 ImageNet 数据集,可以达到 32.52dB。也就是说,使用更大的数据集,可以取得更好的结果。


使用更大的模型


论文从卷积核个数、卷积核大小、卷积层数三个方面增大模型的复杂度,在 ImageNet 上面对比可以看出,更加复杂的模型,可以取得更优的结果。



彩色图像上的实验 


在前面的实验中,论文使用图像的 Y 通道进行重建,其它通道使用双三次插值(bicubic)得到。下面进行彩色图像上的探索,包括:baseline(只使用 Y 通道),bicubic,YCbCr 格式的三通道直接输入,预训练 Y 再三个通道一起训练,预训练 CbCr 再三个通道一起训练,RGB 格式的三通道直接输入。对比这些实验,得到了一些非常有意思的结论。



最令人瞩目的结论就是,直接把 YCbCr 格式的三通道图像输入模型,结果竟然连 Bicubic 都不如。作者认为这是由于 Y 和 CbCr 的特征差别较大,导致模型陷入局部最小值。


另外,使用预训练的结果继续训练,结果会比直接训练 YCbCr 三个通道好些,但是还是不如只用 Y 的。最好的结果出现在使用 RGB 的。也比较好理解,因为 RGB 三个通道图像相关性比较高。 需要注意的一点是,加上 CbCr 的结果只比只用 Y 通道的结果好一点点,可见色相和饱和度两个通道对超分辨率重建的帮助不大。


论文总结


论文提出了一种 FCN 模型,并指出它和基于稀疏编码的超分辨率重构方法是等价的,并进行了一些改进,对比结果。 


但是笔者认为,有一些分析是比较牵强的。例如彩色图像的超分辨率重构,其 PSNR 除了直接使用 YCbCr 训练效果很差之外,其它相差都在 0.1 左右,甚至小于 0.1。这么小的差距,在 set5 验证集上面没有太多的说服力(set5 只有 5 张图片,而且这个结果是用 timofte 数据集训练的,也是一个比较小的数据集)。


论文的主要意义其实还是在于开拓了一个新的方法,构造了一个新的超分辨率重构的框架。


论文复现结果


Baseline模型复现结果 


考虑到算力限制,使用 timofte 数据集进行训练。Scale Factor 为 3 。为了加快收敛速度,我们使用 AdamOptimizer,前两层学习率为, 最后一层为。相比于 SGD,AdamOptimizer 收敛到一个更好的结果。


这里有一个 trick,就是最后一层的学习率和前两层不同。这个设置是非常重要的,在实际测试中发现,使用这样的设置,模型收敛更加稳定。而所有层使用相同的学习率时,很容易出现 model collapse。



图中横轴是反向传播次数(batchsize * batchnum)。纵轴是 PSNR 值(dB)。可见,收敛速度比论文中快了很多,效果也更好。经过 150 个 epoch 的迭代,最终在 set5 测试集上 PSNR 达到了 35.25dB。 看一下恢复出来的图片是什么样的。Y 通道使用 SRCNN 恢复,Cr,Cb 通道使用 bicubic 插值。





另一张图片:




对比一下高频细节,可见重构的效果还是不错的:上图为输入,下图为输出。




构造更深的网络模型 


论文给出来的结果大同小异,结论是类似的。我们这里复现 filter size 改变的结果。



PSNR 曲线为:



使用 9-3-1 的模型结构,150 个 epoch 之后的 PSNR 值为 35.82。我们做一个对比图片,可以看出,虽然收敛速度、最终收敛结果不同(因为用的是不同的 Optimizor),但是得到的结论是一致的。



论文中的结果为:



三通道 RGB 训练结果 


输入图像为 RGB 三个通道。



模型训练比较困难,很容易出现 model collapse 。使用单通道的参数作为预训练参数,再此基础上进行训练。经过更长的迭代次数(200 个 epoch),PSNR 达到了 35.92。 


看一下 3 个通道训练结果:






对比一下高频细节,左图是输入,右图是输出:



总结


SRCNN 网络是 CNN 应用在超分辨率重建领域的开山之作。虽然论文尝试了更深的网络,但是相比于后来的神经网络,如 DRCN 中的网络,算是很小的模型了。受限于模型的表达能力,最终训练的结果还有很大的提升空间。 


另外,虽然相比于 sparse coding 方法,SRCNN 可以算是 end to end 方法了。但是仍然需要将图片进行 bicubic 差值到同样大小。此后的 ESPCN 使用 sub-pixel convolutional layer,减少了卷积的运算量,大大提高了超分辨率重建的速度。 


在复现的过程中,笔者发现 SGD 收敛速度相当慢,论文中曲线横轴都是数量级。使用 Adam 优化器,收敛速度更快,并且几个模型的 PSNR 值更高。说明使用 SGD 训练时候,很容易陷入局部最优了。


关于PaddlePaddle


笔者目前只用到 PaddlePaddle 一些较为基础的功能,看介绍说 program 是特色但是本人在复现过程中并没有用到。


整体使用感受跟 TensorFlow 较为相似,数据读取那个部分较之 TensorFlow 更为方便好用,超赞!另外,可能 PaddlePaddle 目前是在进行版本更替,本人看到很多函数有重复和不兼容的,略感迷茫。


(小道消息:版本更替大动作即将现身)




点击标题查看更多论文解读: 




#投 稿 通 道#

 让你的论文被更多人看到 



如何才能让更多的优质内容以更短路径到达读者群体,缩短读者寻找优质内容的成本呢? 答案就是:你不认识的人。


总有一些你不认识的人,知道你想知道的东西。PaperWeekly 或许可以成为一座桥梁,促使不同背景、不同方向的学者和学术灵感相互碰撞,迸发出更多的可能性。 


PaperWeekly 鼓励高校实验室或个人,在我们的平台上分享各类优质内容,可以是最新论文解读,也可以是学习心得技术干货。我们的目的只有一个,让知识真正流动起来。


📝 来稿标准:

• 稿件确系个人原创作品,来稿需注明作者个人信息(姓名+学校/工作单位+学历/职位+研究方向) 

• 如果文章并非首发,请在投稿时提醒并附上所有已发布链接 

• PaperWeekly 默认每篇文章都是首发,均会添加“原创”标志


📬 投稿邮箱:

• 投稿邮箱:[email protected] 

• 所有文章配图,请单独在附件中发送 

• 请留下即时联系方式(微信或手机),以便我们在编辑发布时和作者沟通




🔍


现在,在「知乎」也能找到我们了

进入知乎首页搜索「PaperWeekly」

点击「关注」订阅我们的专栏吧



关于PaperWeekly


PaperWeekly 是一个推荐、解读、讨论、报道人工智能前沿论文成果的学术平台。如果你研究或从事 AI 领域,欢迎在公众号后台点击「交流群」,小助手将把你带入 PaperWeekly 的交流群里。


▽ 点击 | 阅读原文 | 收藏复现代码

登录查看更多
7

相关内容

基于小样本学习的图像分类技术综述
专知会员服务
152+阅读 · 2020年5月6日
【经典书】统计学习导论,434页pdf,斯坦福大学
专知会员服务
240+阅读 · 2020年4月29日
专知会员服务
104+阅读 · 2020年3月12日
【哈工大】基于抽取的高考作文生成
专知会员服务
37+阅读 · 2020年3月10日
医学图像处理与深度学习入门
人工智能前沿讲习班
17+阅读 · 2019年6月6日
CVPR 2018 论文解读 | 基于GAN和CNN的图像盲去噪
PaperWeekly
13+阅读 · 2019年1月22日
手把手带你复现ICCV 2017经典论文—PyraNet
PaperWeekly
10+阅读 · 2018年11月9日
一文概览基于深度学习的超分辨率重建架构
基于深度学习的图像目标检测(下)
机器学习研究会
12+阅读 · 2018年1月1日
论文 | 基于CNN的目标检测算法
七月在线实验室
9+阅读 · 2017年12月7日
Meta-Transfer Learning for Zero-Shot Super-Resolution
Arxiv
43+阅读 · 2020年2月27日
Conditional BERT Contextual Augmentation
Arxiv
8+阅读 · 2018年12月17日
Attend More Times for Image Captioning
Arxiv
6+阅读 · 2018年12月8日
Arxiv
3+阅读 · 2018年10月18日
Arxiv
21+阅读 · 2018年5月23日
Arxiv
11+阅读 · 2018年5月13日
Arxiv
5+阅读 · 2018年5月5日
VIP会员
最新内容
内省扩散语言模型
专知会员服务
2+阅读 · 4月14日
国外反无人机系统与技术动态
专知会员服务
3+阅读 · 4月14日
大规模作战行动中的战术作战评估(研究论文)
未来的海战无人自主系统
专知会员服务
3+阅读 · 4月14日
美军多域作战现状分析:战略、概念还是幻想?
无人机与反无人机系统(书籍)
专知会员服务
17+阅读 · 4月14日
美陆军2026条令:安全与机动支援
专知会员服务
7+阅读 · 4月14日
相关资讯
医学图像处理与深度学习入门
人工智能前沿讲习班
17+阅读 · 2019年6月6日
CVPR 2018 论文解读 | 基于GAN和CNN的图像盲去噪
PaperWeekly
13+阅读 · 2019年1月22日
手把手带你复现ICCV 2017经典论文—PyraNet
PaperWeekly
10+阅读 · 2018年11月9日
一文概览基于深度学习的超分辨率重建架构
基于深度学习的图像目标检测(下)
机器学习研究会
12+阅读 · 2018年1月1日
论文 | 基于CNN的目标检测算法
七月在线实验室
9+阅读 · 2017年12月7日
相关论文
Meta-Transfer Learning for Zero-Shot Super-Resolution
Arxiv
43+阅读 · 2020年2月27日
Conditional BERT Contextual Augmentation
Arxiv
8+阅读 · 2018年12月17日
Attend More Times for Image Captioning
Arxiv
6+阅读 · 2018年12月8日
Arxiv
3+阅读 · 2018年10月18日
Arxiv
21+阅读 · 2018年5月23日
Arxiv
11+阅读 · 2018年5月13日
Arxiv
5+阅读 · 2018年5月5日
Top
微信扫码咨询专知VIP会员