Facebook工程师教你什么是随机森林,就算零基础也可以看懂 | 干货

2020 年 8 月 1 日 量子位
白交 发自 凹非寺 
量子位 报道 | 公众号 QbitAI

今天的这篇入门贴,我们就来介绍一下决策树与随机森林。

这篇帖子适合机器学习基础为0的同学~

当然,有基础的同学也可以来看一下,加深一下理解哈!

作者还是此前介绍过的普林斯顿大学毕业,现为Facebook工程师——Victor Zhou。


决策树

在介绍随机森林之前,先来介绍一下决策树。

简单来说,一堆决策树捆绑在一起,就组成了一个随机森林。

我们先来看一组数据集。

如果给你一个随机的横坐标x,你会觉得是什么颜色的点?

蓝色?绿色?如果你说了其中一个,那你一定是在逗我。

我们看这个图,x=2的这条线似乎成了一个分割线。于是合理怀疑,当x<2的时候,是蓝色,当x>2的时候,为绿色。

那么刚才,你就相当于评估了一个决策树。

决策树就是在给定的数据集的情况下,对新样本进行分类。

而图中已有的蓝色和绿色标记点就相当于我们的数据集,而随机的x,就是新样本,我们正在做的,就是在给新样本进行分类。

而如果在数据集中添加了一种颜色——红色。

如果我们再按照那种方式分类,结果就会出现误差。x<2的时候,就无法立即将其分为蓝色或者红色。

于是,就会出现另一个决策点。设定一个y,当y<2时,就为蓝色,反之,就为红色。

将其分为三类。

这就是决策树背后的基本思想。

怎么样,很简单对吧?接下来,我们就来训练决策树。

训练决策树——确定根节点

将使用上述的包含3类——红绿蓝的数据集。

训练决策树的首要任务确定树中的根决策节点。这里有x,y,你可以设定任意一个阈值。

那么我们就设定x阈值(临界值)为2。   

根据结果来看,我们这一个根节点做出了较好的分割,已经尽可能的将不同种类分开来。

绿色的都在右边,不是绿色的都在左边。

但是,我们的目标是找到一个根节点,做到最好的拆分。而如果量化拆分的是否最好,就需要引入一个基尼杂质的概念。

基尼杂质

就按照上述两种颜色——绿蓝来说,若以x=2为分割,那么就将数据集完美的分为两个分支。

  

但若是以x=1.5呢?分割就不会那么完美了。

     

那如果我们对数据点进行了错误的分类(就如上图那个蓝色),发生这种错误的可能性,就是基尼杂质

我们来举个例子,以上述那个整个数据集为例,计算一下基尼杂质。那么对数据点的判断主要有以下四种。

那么其中错误的可能性:25%+25%,所以基尼杂质是0.5

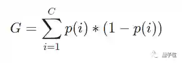
用公式来表示:       

其中G为基尼杂质,C为种类数。

上述例子,就可表示为:

试想,如果以完美拆分的数据集为例。

那么左右分支,基尼杂质都为0

再以一个不怎么完美的分割为例。

那么左分支,基尼杂质为0。

右分支,计算结果如下:

然后在按照每个分支的杂质数量加权,来计算拆分的质量。

这里的左分支有4个元素,右分支有6个元素,那么左边权重为0.4,右边权重为0.6。

那么其拆分质量:0.4*0+0.6*0.278=0.167

我们通过拆分“去除”掉的杂质量为:0.5-0.167=0.333(0.5为整个数据集的基尼杂质)

这个值就称为基尼增益

我们知道,完美切割的基尼增益为0.5。可见,基尼增益越大,那就说明拆分的越好。

基尼增益

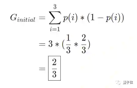
知道什么是基尼杂质、基尼增益之后,我们就来实际算一下以三种颜色的数据集。

我们如果设定x阈值为0.4,那么就有如下分类。

整个数据集的基尼杂质:

两个分支的基尼杂质:

基尼增益:

于是,当x取任意可能的阈值时,其基尼增益都可以算出来。结果如下:

那么从表格中看出,当x=2时,其基尼增益最大,说明此时分割效果最好。

训练决策树——确定第二个节点

确定根节点之后,我们就马不停蹄的来确定第二个节点啦~

很明显,我们只需要在意左侧分支,然后做同样的事情

可以意识到,y=2可以实现最好的分割。

这样看来,似乎快要完成了。别着急,还有一步。

如果我们在试着建立第三个决策节点,尝试在右边分支寻找到最好的分割。

但是发现,所有的分割结果都是相同的,基尼杂质为0,基尼增益也为0,说明效果都是相同的。

说明在右侧分支确定节点是没有意义的(但是这个步骤还是很有必要的)。

因此,我们将这个节点称为叶子节点,并将其贴上绿色标签,所有到达这个节点的数据点都贴上绿色的标签。

其余两种颜色同样如此。


这样,我们就完成了对决策树的训练!

随机森林

前面提到,随机森林就是一群捆绑着的决策树。

这句话说对也对,但是实际上还是有一些区别。

理解随机森林,我们要先理解Bagging。

Bagging(bootstrap aggregating)

什么叫做Bagging?接下来的算法告诉你。

  • 从数据集中均匀、有放回的抽取n个训练数据点,进行替换;

  • 利用n个样本,训练决策树;

  • 重复t次(t也就为决策树的数量)。

随后将各个决策树的预测结果汇总。

如果我们的树是按照类标签(比如颜色),则采用投票的方式,票数多的就是最优选择。


如果我们的树是产生数值(比如预测温度、价格等),则取平均数。

随机森林

Bagged决策树只要一个参数,那就是t——树的数量。

而随机森林则还需要第2个参数,这个参数控制着最佳分割需要的特征数量。

比如,上述例子中,我们只有两个特征x与y,就可以实现最佳分割。

但是真实的数据集要比这个复杂的多,特征也就更多,甚至上千个。

假设我们有一个具有p特征的数据集。每当我们做一个新的决策节点时,就不尝试所有的特征,而是只尝试其中的一个子集。

这样做,就可以为其注入随机性,使单个树变得更加独特,减少树之间的相关性,从而提高森林的整体性能。

好了,随机森林就介绍到这里。详细介绍可戳下方链接~

https://victorzhou.com/blog/intro-to-random-forests/

本文系网易新闻•网易号特色内容激励计划签约账号【量子位】原创内容,未经账号授权,禁止随意转载。

报名 |「隐私计算+AI」技术直播

不了解任何隐私AI技术的情况下,开发者怎样做到只改动两三行代码,就将现有AI代码转换为具备数据隐私保护功能的程序?

8月6号, 中科院软件研究所博士、矩阵元算法科学家--谢翔将直播解析,扫码加小助手,即可进入直播交流群:

量子位 QbitAI · 头条号签约作者


վ'ᴗ' ի 追踪AI技术和产品新动态


喜欢就点「在看」吧 !



登录查看更多
0

相关内容

决策树(Decision Tree)是在已知各种情况发生概率的基础上,通过构成决策树来求取净现值的期望值大于等于零的概率,评价项目风险,判断其可行性的决策分析方法,是直观运用概率分析的一种图解法。由于这种决策分支画成图形很像一棵树的枝干,故称决策树。在机器学习中,决策树是一个预测模型,他代表的是对象属性与对象值之间的一种映射关系。Entropy = 系统的凌乱程度,使用算法ID3, C4.5和C5.0生成树算法使用熵。这一度量是基于信息学理论中熵的概念。 决策树是一种树形结构,其中每个内部节点表示一个属性上的测试,每个分支代表一个测试输出,每个叶节点代表一种类别。 分类树(决策树)是一种十分常用的分类方法。他是一种监管学习,所谓监管学习就是给定一堆样本,每个样本都有一组属性和一个类别,这些类别是事先确定的,那么通过学习得到一个分类器,这个分类器能够对新出现的对象给出正确的分类。这样的机器学习就被称之为监督学习。

知识荟萃

精品入门和进阶教程、论文和代码整理等

更多

查看相关VIP内容、论文、资讯等
最新《因果推断导论》课程,102页ppt
专知会员服务
185+阅读 · 2020年9月1日
【经典书】概率统计导论第五版,730页pdf
专知会员服务
250+阅读 · 2020年7月28日
少标签数据学习,54页ppt
专知会员服务
205+阅读 · 2020年5月22日
【Google AI】开源NoisyStudent:自监督图像分类
专知会员服务
55+阅读 · 2020年2月18日
模型压缩究竟在做什么?我们真的需要模型压缩么?
专知会员服务
28+阅读 · 2020年1月16日
【机器学习课程】Google机器学习速成课程
专知会员服务
171+阅读 · 2019年12月2日
决策树
Datartisan数据工匠
4+阅读 · 2018年4月19日
通俗的将Xgboost的原理讲明白
数据挖掘入门与实战
3+阅读 · 2018年3月23日
干货:10 种机器学习算法的要点(附 Python代码)
全球人工智能
4+阅读 · 2018年1月5日
课程笔记|吴恩达Coursera机器学习 Week1 笔记-机器学习基础
机器学习研究会
4+阅读 · 2017年10月18日
机器学习算法实践:朴素贝叶斯 (Naive Bayes)
Python开发者
3+阅读 · 2017年7月22日
机器学习(6)之朴素贝叶斯NB及实例
机器学习算法与Python学习
4+阅读 · 2017年7月20日
Arxiv
6+阅读 · 2019年9月4日
Arxiv
5+阅读 · 2018年1月18日
Arxiv
3+阅读 · 2017年11月21日
Arxiv
8+阅读 · 2014年6月27日
VIP会员
最新内容
《第四代军事特种作战部队选拔与评估》
专知会员服务
1+阅读 · 今天6:23
不对称优势上升:自主系统如何强化海上拒止
专知会员服务
1+阅读 · 今天5:51
《人工智能赋能电磁战》(报告)
专知会员服务
2+阅读 · 4月17日
【CMU博士论文】迈向可扩展的开放世界三维感知
相关VIP内容
最新《因果推断导论》课程,102页ppt
专知会员服务
185+阅读 · 2020年9月1日
【经典书】概率统计导论第五版,730页pdf
专知会员服务
250+阅读 · 2020年7月28日
少标签数据学习,54页ppt
专知会员服务
205+阅读 · 2020年5月22日
【Google AI】开源NoisyStudent:自监督图像分类
专知会员服务
55+阅读 · 2020年2月18日
模型压缩究竟在做什么?我们真的需要模型压缩么?
专知会员服务
28+阅读 · 2020年1月16日
【机器学习课程】Google机器学习速成课程
专知会员服务
171+阅读 · 2019年12月2日
相关资讯
决策树
Datartisan数据工匠
4+阅读 · 2018年4月19日
通俗的将Xgboost的原理讲明白
数据挖掘入门与实战
3+阅读 · 2018年3月23日
干货:10 种机器学习算法的要点(附 Python代码)
全球人工智能
4+阅读 · 2018年1月5日
课程笔记|吴恩达Coursera机器学习 Week1 笔记-机器学习基础
机器学习研究会
4+阅读 · 2017年10月18日
机器学习算法实践:朴素贝叶斯 (Naive Bayes)
Python开发者
3+阅读 · 2017年7月22日
机器学习(6)之朴素贝叶斯NB及实例
机器学习算法与Python学习
4+阅读 · 2017年7月20日
相关论文
Top
微信扫码咨询专知VIP会员