细讲傅立叶变换

2018 年 1 月 17 日 算法与数学之美 赵一帆

【注】:阅读该文章之前,建议先阅读笔者的前几篇文章:指数函数和自然对数揭秘自然对数(ln)从群论角度理解欧拉公式

>>>>

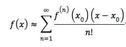
个人看来,傅里叶变换是最深刻的见解之一。不幸的是,这个意义被隐藏在晦涩难懂的无穷级数中:


与其直接理解这些复杂的符号,不如让我们从生活出发,直观地理解它。


平时做饭的时候,比如做一个蛋炒饭,需要蛋,需要饭,还需要盐巴等等,而通过某种方式将这些混合起来,就变成了蛋炒饭。


如果是从业多年的厨师,你给他个蛋炒饭,他能告诉你,这蛋炒饭由哪些原料烹饪而成。而傅里叶也具备这样的能力。


当你给它一个信号(或函数),傅里叶变换能采用基于时间的模式,测量该信号(或函数)的每一个可能周期,告诉你组成该信号(或函数)的循环周期的振幅、偏移量和旋转速度等“原料”。


傅里叶变换给予我们一种新思维,让我们从思考“这是什么”转变为思考“这是如何产生的”。


那么,傅里叶变换是如何找到各个周期函数的“原料”的呢?这就是接下来要讨论的问题了。


假设我们有很多过滤网,上面的孔径大小不同,将蛋炒饭往过滤网上一倒


第一个,网孔最大的过滤网把蛋过滤了出来

第二个,网孔适中的过滤网把饭过滤了出来

第三个,网孔较小的过滤网把盐巴过滤了出来

………………

通过无数孔径不一的过滤网,不同“原料”被过滤出来,而这些过滤网统称为“过滤器(filter)”。


傅里叶是这么说的:“任何信号(或函数)都可以转换成无穷多个周期函数的和。”


【题外话】:笔者最喜欢的两个数学家分别是“泰勒”和“傅里叶”,他们的两个定理貌似揭示了世界的真理。


泰勒说:“任何函数都可以转换成无穷多个幂函数的和。”

“泰勒的这句话,给后来计算机的发展带来了巨大贡献,举个例子,计算机并没办法计算类似于sin、cos这样的函数,只能通过将他们转换为各个幂函数的和来实现。”


傅里叶说:“任何信号(或函数)都可以转换成无穷多个周期函数的和。”这句话的涵义,我们后面会慢慢细讲。


傅里叶变换用滤波器把一个基于时间的信号(或函数)的每个“圆形原料”分解出来。


【注】:所谓“圆形原料”,思考一下,我们高中所学的圆周运动,它是否就包含了一定的循环周期、振幅、偏移量和旋转速度等“原料”?所以这里用“圆形原料”指代这些“原料”。


如果地震波可被分解,找出不同的振幅和速度,那么我们可以针对地震的特定振幅和速度设计对应的抗震建筑物。


如果声波可被分解成低音和高音,我们就可以放大我们关心的部分,缩小我们不关心的部分。


    "比如你喜欢小提琴,那便可以提高高音部分,隐去低音部分。

    如果你喜欢低音贝斯,那么你就可以提高低音部分,隐去高音部分。"


如果计算机数据可以用震荡波形表示,且其中包含可忽略的数据,那么就可以用傅里叶变换滤去不重要的数据。这在数据科学中被叫为“数据滤波器”。


如果是收音机的无线电波,那么我们就可以收听到特定频率的广播。


傅里叶变换在工程中的应用是十分广泛的,以上举例的只是小小一部分,希望能助于你们理解傅里叶变换背后的根源。


我们重新看看刚刚的公式



相当于单位向量绕着原点旋转



由此我们可以推出就是单位向量绕着原点旋转一周


不难看出,傅里叶变换公式可以这么理解:


就是长度为的向量绕着原点旋转 


把这些不同单位向量的旋转叠加起来就是原信号(或原函数)


那么将原信号分解为多个圆相加是什么意思呢?


我们这么看,首先我们建立一个X轴和Y轴,并且再建立一个轴。



一个小球以轴为圆心,绿线为半径进行旋转,并且边旋转边上升。



接下来我们对坐标进行一个旋转,从另外一个角度来看看这个旋转过程



我们似乎发现了什么,我们对坐标继续的进行旋转,没错这就是我们的函数



而从坐标系上方往下看是这样子的



他是由一个一个的圆形组成的,而傅里叶变换就是将不同种类的圆形分解出来。

现在我们在加上一个红色的圆



同样的,让他们一起旋转起来



换个角度来看,这就是


 


这里有一种动图,大家可以更好的理解这个过程。



所以,我们很直观的发现,傅里叶变换其实就是一个找圆的过程,将不同的信号(或函数)分解成不同的圆形,当他们叠加起来就又变回我们原有的信号(或函数)。

∑编辑:Gemini

算法数学之美微信公众号欢迎赐稿

稿件涉及数学、物理、算法、计算机、编程等相关领域
稿件一经采用,我们将奉上稿酬。

投稿邮箱:[email protected]

登录查看更多
3

相关内容

【CVPR2020】L2 ^GCN:图卷积网络的分层学习高效训练
专知会员服务
40+阅读 · 2020年3月31日
【CVPR2020-百度】用于视觉识别的门控信道变换
专知会员服务
13+阅读 · 2020年3月30日
机器学习速查手册,135页pdf
专知会员服务
345+阅读 · 2020年3月15日
【NeurIPS2019】图变换网络:Graph Transformer Network
专知会员服务
112+阅读 · 2019年11月25日
手把手解释实现频谱图卷积
AI科技评论
9+阅读 · 2019年9月9日
面试时让你手推公式不在害怕 | 梯度下降
计算机视觉life
14+阅读 · 2019年3月27日
可视化理解四元数,愿你不再掉头发
计算机视觉life
31+阅读 · 2019年1月2日
条件概率和贝叶斯公式 - 图解概率 03
遇见数学
10+阅读 · 2018年6月5日
SVM大解密(附代码和公式)
机器学习算法与Python学习
6+阅读 · 2018年5月22日
入门 | 这是一份文科生都能看懂的线性代数简介
机器之心
14+阅读 · 2018年3月31日
傅里叶变换和拉普拉斯变换的物理解释及区别
算法与数学之美
11+阅读 · 2018年2月5日
专栏 | fastText原理及实践
机器之心
3+阅读 · 2018年1月26日
BAT机器学习面试1000题系列(第46~50题)
七月在线实验室
7+阅读 · 2017年10月7日
机器学习(19)之支持向量回归机
机器学习算法与Python学习
12+阅读 · 2017年10月3日
Do RNN and LSTM have Long Memory?
Arxiv
19+阅读 · 2020年6月10日
Arxiv
21+阅读 · 2019年8月21日
Arxiv
3+阅读 · 2018年11月14日
Arxiv
19+阅读 · 2018年6月27日
Arxiv
7+阅读 · 2018年2月26日
VIP会员
最新内容
《第四代军事特种作战部队选拔与评估》
专知会员服务
1+阅读 · 今天6:23
不对称优势上升:自主系统如何强化海上拒止
专知会员服务
1+阅读 · 今天5:51
《人工智能赋能电磁战》(报告)
专知会员服务
2+阅读 · 4月17日
【CMU博士论文】迈向可扩展的开放世界三维感知
相关资讯
手把手解释实现频谱图卷积
AI科技评论
9+阅读 · 2019年9月9日
面试时让你手推公式不在害怕 | 梯度下降
计算机视觉life
14+阅读 · 2019年3月27日
可视化理解四元数,愿你不再掉头发
计算机视觉life
31+阅读 · 2019年1月2日
条件概率和贝叶斯公式 - 图解概率 03
遇见数学
10+阅读 · 2018年6月5日
SVM大解密(附代码和公式)
机器学习算法与Python学习
6+阅读 · 2018年5月22日
入门 | 这是一份文科生都能看懂的线性代数简介
机器之心
14+阅读 · 2018年3月31日
傅里叶变换和拉普拉斯变换的物理解释及区别
算法与数学之美
11+阅读 · 2018年2月5日
专栏 | fastText原理及实践
机器之心
3+阅读 · 2018年1月26日
BAT机器学习面试1000题系列(第46~50题)
七月在线实验室
7+阅读 · 2017年10月7日
机器学习(19)之支持向量回归机
机器学习算法与Python学习
12+阅读 · 2017年10月3日
Top
微信扫码咨询专知VIP会员