沸石分子筛催化反应机理研究取得进展

2019 年 5 月 8 日 中科院之声

乙烯是最重要的基础化工原料之一,也是现代化学工业的基石。目前乙烯主要来源于石油裂解工艺,由于化石资源的日渐枯竭,给依赖于传统石油路线的乙烯生产带来巨大压力。生物乙醇作为一种可再生资源可以通过催化反应转化为乙烯和其它高附加值碳氢化合物,因此受到学术界和工业界的广泛关注,从而能成为代替石油生产烯烃的一条重要途径。沸石分子筛是催化乙醇脱水生产乙烯最具有发展潜力的催化剂,因而吸引了大量关于分子筛上乙醇脱水制乙烯反应的研究,然而到目前为止人们对其反应机制仍然没有明确的认识,这在一定程度上制约了高性能催化剂和高效催化工艺的研发。


近日,中国科学院武汉物理与数学研究所研究员徐君和邓风团队在沸石分子筛催化剂上乙醇脱水制乙烯反应机理的研究方面取得新进展。研究利用固体核磁共振(NMR),在反应中首次观测到三乙基氧鎓离子中间体物种,并发现其对产物乙烯生成所起的关键作用,揭示了低温条件下乙醇生成乙烯的反应机制。


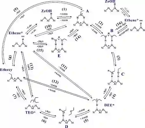
课题组研究人员对ZSM-5分子筛上乙醇脱水反应机制进行了深入研究。利用原位13C固体NMR技术,在乙醇脱水反应过程中观测到三乙基氧鎓离子(TEO)中间体物种的生成,并通过二维 13C–13C 相关谱固体NMR实验对其结构进行了鉴定(图1左)。进而,通过变温原位13C固体NMR实验跟踪了TEO在乙醇脱水反应中的演化过程,获得其稳定性与反应活性的信息(图1右)。进一步的实验证实,TEO与催化剂表面乙氧基的生成密切相关,并最终可导致乙烯的生成。结合NMR实验与理论计算,研究人员提出了ZSM-5分子筛上乙醇脱水生成乙烯的完整催化反应路径(图2)。该研究工作加深了人们对分子筛催化乙醇转化反应机理的理解,也为进一步探索醇转化中的氧鎓离子化学提供了新的思路。


该研究成果于4月29日发表在《自然-通讯》(Nature Communications)杂志上,文章题为Observation of an oxonium ion intermediate in ethanol dehydration to ethene on zeolite。该研究工作得到国家自然科学基金委、中科院以及湖北省科技厅的支持。


图1. H-ZSM-5分子筛上乙醇反应后的二维13C–13C INADEQUATE NMR图谱(左)与 乙醇变温反应的原位13C MAS NMR 图谱(右)


图2. 乙醇脱水生成乙烯的催化反应机制


来源:中国科学院武汉物理与数学研究所


温馨提示:近期,微信公众号信息流改版。每个用户可以设置 常读订阅号,这些订阅号将以大卡片的形式展示。因此,如果不想错过“中科院之声”的文章,你一定要进行以下操作:进入“中科院之声”公众号 → 点击右上角的 ··· 菜单 → 选择「设为星标」


登录查看更多
0

相关内容

徐君,中国人民大学教授,研究成果收录于多本国际知名信息检索教科书和计算机手册,在斯坦福大学、慕尼黑大学等高校课程中讲授。获国际信息检索学会SIGIR Test of Time Awards提名、 CCF杰出演讲者。担任多个国际学术会议的高级程序委员会委员、中国中文信息学会信息检索专委常务委员,中国计算机学会高级会员。
深度学习可解释性研究进展
专知会员服务
103+阅读 · 2020年6月26日
大数据安全技术研究进展
专知会员服务
96+阅读 · 2020年5月2日
基于深度学习的多标签生成研究进展
专知会员服务
147+阅读 · 2020年4月25日
卷积神经网络的概述论文:分析、应用和展望,21页pdf
专知会员服务
91+阅读 · 2020年4月7日
【学科交叉】抗生素发现的深度学习方法
专知会员服务
25+阅读 · 2020年2月23日
2019中国硬科技发展白皮书 193页
专知会员服务
86+阅读 · 2019年12月13日
Nature 一周论文导读 | 2019 年 8 月 8 日
科研圈
6+阅读 · 2019年8月18日
Science 一周论文导读 | 2019年4月26日
科研圈
3+阅读 · 2019年5月5日
Nature 一周论文导读 | 2019 年 4 月 4 日
科研圈
7+阅读 · 2019年4月14日
人脸识别研究取得进展
中科院之声
4+阅读 · 2019年3月26日
机器视觉技术的农业应用研究进展
科技导报
7+阅读 · 2018年7月24日
微表情检测和识别的研究进展与趋势
中国计算机学会
15+阅读 · 2018年3月23日
心理学与脑科学:进展、思考和展望
科技导报
9+阅读 · 2017年10月27日
基于深度学习的肿瘤图像分割研究取得进展
中科院之声
17+阅读 · 2017年9月17日
A Survey of Deep Learning for Scientific Discovery
Arxiv
29+阅读 · 2020年3月26日
Self-Driving Cars: A Survey
Arxiv
41+阅读 · 2019年1月14日
Video-to-Video Synthesis
Arxiv
9+阅读 · 2018年8月20日
Arxiv
25+阅读 · 2018年1月24日
Arxiv
3+阅读 · 2017年10月1日
VIP会员
最新内容
以色列-美国-伊朗战争中的无人机:关键要点
专知会员服务
1+阅读 · 今天14:04
《Palantir任务保障性软件安全标准(MA-S2)》
专知会员服务
5+阅读 · 今天13:49
基于声学的无人机检测技术综述
专知会员服务
4+阅读 · 今天13:37
《当代混合战争分析框架:俄乌战争经验教训》
专知会员服务
4+阅读 · 今天13:11
战略前沿人工智能的再思考(中文)
专知会员服务
7+阅读 · 5月29日
《量化地基防空系统间接效应的博弈论方法》
专知会员服务
5+阅读 · 5月29日
“史诗怒火行动”中美军损失的作战飞机
专知会员服务
6+阅读 · 5月29日
ICML 2026 | 理解上下文持续学习中的泛化与遗忘
专知会员服务
5+阅读 · 5月28日
相关VIP内容
深度学习可解释性研究进展
专知会员服务
103+阅读 · 2020年6月26日
大数据安全技术研究进展
专知会员服务
96+阅读 · 2020年5月2日
基于深度学习的多标签生成研究进展
专知会员服务
147+阅读 · 2020年4月25日
卷积神经网络的概述论文:分析、应用和展望,21页pdf
专知会员服务
91+阅读 · 2020年4月7日
【学科交叉】抗生素发现的深度学习方法
专知会员服务
25+阅读 · 2020年2月23日
2019中国硬科技发展白皮书 193页
专知会员服务
86+阅读 · 2019年12月13日
相关资讯
Nature 一周论文导读 | 2019 年 8 月 8 日
科研圈
6+阅读 · 2019年8月18日
Science 一周论文导读 | 2019年4月26日
科研圈
3+阅读 · 2019年5月5日
Nature 一周论文导读 | 2019 年 4 月 4 日
科研圈
7+阅读 · 2019年4月14日
人脸识别研究取得进展
中科院之声
4+阅读 · 2019年3月26日
机器视觉技术的农业应用研究进展
科技导报
7+阅读 · 2018年7月24日
微表情检测和识别的研究进展与趋势
中国计算机学会
15+阅读 · 2018年3月23日
心理学与脑科学:进展、思考和展望
科技导报
9+阅读 · 2017年10月27日
基于深度学习的肿瘤图像分割研究取得进展
中科院之声
17+阅读 · 2017年9月17日
相关论文
A Survey of Deep Learning for Scientific Discovery
Arxiv
29+阅读 · 2020年3月26日
Self-Driving Cars: A Survey
Arxiv
41+阅读 · 2019年1月14日
Video-to-Video Synthesis
Arxiv
9+阅读 · 2018年8月20日
Arxiv
25+阅读 · 2018年1月24日
Arxiv
3+阅读 · 2017年10月1日
Top
微信扫码咨询专知VIP会员